[Python图像处理] 二十二.Python图像傅里叶变换原理及实现
前面一篇文章我讲解了Python图像量化、采样处理及图像金字塔。本文主要讲解图像傅里叶变换的相关内容,在数字图像处理中,有两个经典的变换被广泛应用——傅里叶变换和霍夫变换。其中,傅里叶变换主要是将时间域上的信号转变为频率域上的信号,用来进行图像除噪、图像增强等处理。基础性文章,希望对你有所帮助。同时,该部分知识均为作者查阅资料撰写,未经授权禁止转载,谢谢!!如果有问题随时私聊我,只望您能从这个系列中学到知识,一起加油喔~
- 一.图像傅里叶变换
- 二.Numpy实现傅里叶变换
- 三.Numpy实现傅里叶逆变换
- 四.OpenCV实现傅里叶变换
- 五.OpenCV实现傅里叶逆变换
该系列在github所有源代码:
PS:请求帮忙点个Star,哈哈,第一次使用Github,以后会分享更多代码,一起加油。
前文参考:
- [Python图像处理] 一.图像处理基础知识及OpenCV入门函数
- [Python图像处理] 二.OpenCV+Numpy库读取与修改像素
- [Python图像处理] 三.获取图像属性、兴趣ROI区域及通道处理
- [Python图像处理] 四.图像平滑之均值滤波、方框滤波、高斯滤波及中值滤波
- [Python图像处理] 五.图像融合、加法运算及图像类型转换
- [Python图像处理] 六.图像缩放、图像旋转、图像翻转与图像平移
- [Python图像处理] 七.图像阈值化处理及算法对比
- [Python图像处理] 八.图像腐蚀与图像膨胀
- [Python图像处理] 九.形态学之图像开运算、闭运算、梯度运算
- [Python图像处理] 十.形态学之图像顶帽运算和黑帽运算
- [Python图像处理] 十一.灰度直方图概念及OpenCV绘制直方图
- [Python图像处理] 十二.图像几何变换之图像仿射变换、图像透视变换和图像校正
- [Python图像处理] 十三.基于灰度三维图的图像顶帽运算和黑帽运算
- [Python图像处理] 十四.基于OpenCV和像素处理的图像灰度化处理
- [Python图像处理] 十五.图像的灰度线性变换
- [Python图像处理] 十六.图像的灰度非线性变换之对数变换、伽马变换
- [Python图像处理] 十七.图像锐化与边缘检测之Roberts算子、Prewitt算子、Sobel算子和Laplacian算
- [Python图像处理] 十八.图像锐化与边缘检测之Scharr算子、Canny算子和LOG算子
- [Python图像处理] 十九.图像分割之基于K-Means聚类的区域分割
- [Python图像处理] 二十.图像量化处理和采样处理及局部马赛克特效
- [Python图像处理] 二十一.图像金字塔之图像向下取样和向上取样
- [Python图像处理] 二十二.Python图像傅里叶变换原理及实现
一.图像傅里叶变换原理
傅里叶变换(Fourier Transform,简称FT)常用于数字信号处理,它的目的是将时间域上的信号转变为频率域上的信号。随着域的不同,对同一个事物的了解角度也随之改变,因此在时域中某些不好处理的地方,在频域就可以较为简单的处理。同时,可以从频域里发现一些原先不易察觉的特征。傅里叶定理指出“任何连续周期信号都可以表示成(或者无限逼近)一系列正弦信号的叠加。”

下面引用李老师“Python+OpenCV图像处理”中的一个案例,非常推荐同学们去学习。如下图所示,他将某饮料的制作过程的时域角度转换为频域角度。

绘制对应的时间图和频率图如下所示:

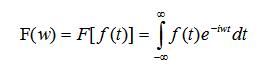
傅里叶公式如下,其中w表示频率,t表示时间,为复变函数。它将时间域的函数表示为频率域的函数f(t)的积分。

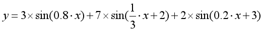
傅里叶变换认为一个周期函数(信号)包含多个频率分量,任意函数(信号)f(t)可通过多个周期函数(或基函数)相加合成。从物理角度理解,傅里叶变换是以一组特殊的函数(三角函数)为正交基,对原函数进行线性变换,物理意义便是原函数在各组基函数的投影。如下图所示,它是由三条正弦曲线组合成。


傅里叶变换可以应用于图像处理中,经过对图像进行变换得到其频谱图。从谱频图里频率高低来表征图像中灰度变化剧烈程度。图像中的边缘信号和噪声信号往往是高频信号,而图像变化频繁的图像轮廓及背景等信号往往是低频信号。这时可以有针对性的对图像进行相关操作,例如图像除噪、图像增强和锐化等。
二维图像的傅里叶变换可以用以下数学公式(15-3)表达,其中f是空间域(Spatial Domain))值,F是频域(Frequency Domain)值

对上面的傅里叶变换有了大致的了解之后,下面通过Numpy和OpenCV分别讲解图像傅里叶变换的算法及操作代码。
二.Numpy实现傅里叶变换
Numpy中的 FFT包提供了函数 np.fft.fft2()可以对信号进行快速傅里叶变换,其函数原型如下所示,该输出结果是一个复数数组(Complex Ndarry)。
fft2(a, s=None, axes=(-2, -1), norm=None)
- a表示输入图像,阵列状的复杂数组
- s表示整数序列,可以决定输出数组的大小。输出可选形状(每个转换轴的长度),其中s[0]表示轴0,s[1]表示轴1。对应fit(x,n)函数中的n,沿着每个轴,如果给定的形状小于输入形状,则将剪切输入。如果大于则输入将用零填充。如果未给定’s’,则使用沿’axles’指定的轴的输入形状
- axes表示整数序列,用于计算FFT的可选轴。如果未给出,则使用最后两个轴。“axes”中的重复索引表示对该轴执行多次转换,一个元素序列意味着执行一维FFT
- norm包括None和ortho两个选项,规范化模式(请参见numpy.fft)。默认值为无
Numpy中的fft模块有很多函数,相关函数如下:
#计算一维傅里叶变换
numpy.fft.fft(a, n=None, axis=-1, norm=None)
#计算二维的傅里叶变换
numpy.fft.fft2(a, n=None, axis=-1, norm=None)
#计算n维的傅里叶变换
numpy.fft.fftn()
#计算n维实数的傅里叶变换
numpy.fft.rfftn()
#返回傅里叶变换的采样频率
numpy.fft.fftfreq()
#将FFT输出中的直流分量移动到频谱中央
numpy.fft.shift()
下面的代码是通过Numpy库实现傅里叶变换,调用np.fft.fft2()快速傅里叶变换得到频率分布,接着调用np.fft.fftshift()函数将中心位置转移至中间,最终通过Matplotlib显示效果图。
# -*- coding: utf-8 -*-
import cv2 as cv
import numpy as np
from matplotlib import pyplot as plt
#读取图像
img = cv.imread('test.png', 0)
#快速傅里叶变换算法得到频率分布
f = np.fft.fft2(img)
#默认结果中心点位置是在左上角,
#调用fftshift()函数转移到中间位置
fshift = np.fft.fftshift(f)
#fft结果是复数, 其绝对值结果是振幅
fimg = np.log(np.abs(fshift))
#展示结果
plt.subplot(121), plt.imshow(img, 'gray'), plt.title('Original Fourier')
plt.axis('off')
plt.subplot(122), plt.imshow(fimg, 'gray'), plt.title('Fourier Fourier')
plt.axis('off')
plt.show()
输出结果如图15-2所示,左边为原始图像,右边为频率分布图谱,其中越靠近中心位置频率越低,越亮(灰度值越高)的位置代表该频率的信号振幅越大。

三.Numpy实现傅里叶逆变换
下面介绍Numpy实现傅里叶逆变换,它是傅里叶变换的逆操作,将频谱图像转换为原始图像的过程。通过傅里叶变换将转换为频谱图,并对高频(边界)和低频(细节)部分进行处理,接着需要通过傅里叶逆变换恢复为原始效果图。频域上对图像的处理会反映在逆变换图像上,从而更好地进行图像处理。
图像傅里叶变化主要使用的函数如下所示:
#实现图像逆傅里叶变换,返回一个复数数组
numpy.fft.ifft2(a, n=None, axis=-1, norm=None)
#fftshit()函数的逆函数,它将频谱图像的中心低频部分移动至左上角
numpy.fft.fftshift()
#将复数转换为0至255范围
iimg = numpy.abs(逆傅里叶变换结果)
下面的代码分别实现了傅里叶变换和傅里叶逆变换。
# -*- coding: utf-8 -*-
import cv2 as cv
import numpy as np
from matplotlib import pyplot as plt
#读取图像
img = cv.imread('Lena.png', 0)
#傅里叶变换
f = np.fft.fft2(img)
fshift = np.fft.fftshift(f)
res = np.log(np.abs(fshift))
#傅里叶逆变换
ishift = np.fft.ifftshift(fshift)
iimg = np.fft.ifft2(ishift)
iimg = np.abs(iimg)
#展示结果
plt.subplot(131), plt.imshow(img, 'gray'), plt.title('Original Image')
plt.axis('off')
plt.subplot(132), plt.imshow(res, 'gray'), plt.title('Fourier Image')
plt.axis('off')
plt.subplot(133), plt.imshow(iimg, 'gray'), plt.title('Inverse Fourier Image')
plt.axis('off')
plt.show()
输出结果如图15-4所示,从左至右分别为原始图像、频谱图像、逆傅里叶变换转换图像。

四.OpenCV实现傅里叶变换
OpenCV 中相应的函数是cv2.dft()和用Numpy输出的结果一样,但是是双通道的。第一个通道是结果的实数部分,第二个通道是结果的虚数部分,并且输入图像要首先转换成 np.float32 格式。其函数原型如下所示:
dst = cv2.dft(src, dst=None, flags=None, nonzeroRows=None)
- src表示输入图像,需要通过np.float32转换格式
- dst表示输出图像,包括输出大小和尺寸
- flags表示转换标记,其中DFT _INVERSE执行反向一维或二维转换,而不是默认的正向转换;DFT _SCALE表示缩放结果,由阵列元素的数量除以它;DFT _ROWS执行正向或反向变换输入矩阵的每个单独的行,该标志可以同时转换多个矢量,并可用于减少开销以执行3D和更高维度的转换等;DFT _COMPLEX_OUTPUT执行1D或2D实数组的正向转换,这是最快的选择,默认功能;DFT _REAL_OUTPUT执行一维或二维复数阵列的逆变换,结果通常是相同大小的复数数组,但如果输入数组具有共轭复数对称性,则输出为真实数组
- nonzeroRows表示当参数不为零时,函数假定只有nonzeroRows输入数组的第一行(未设置)或者只有输出数组的第一个(设置)包含非零,因此函数可以处理其余的行更有效率,并节省一些时间;这种技术对计算阵列互相关或使用DFT卷积非常有用
注意,由于输出的频谱结果是一个复数,需要调用cv2.magnitude()函数将傅里叶变换的双通道结果转换为0到255的范围。其函数原型如下:
cv2.magnitude(x, y)
- x表示浮点型X坐标值,即实部
- y表示浮点型Y坐标值,即虚部
最终输出结果为幅值,即:

完整代码如下所示:
# -*- coding: utf-8 -*-
import numpy as np
import cv2
from matplotlib import pyplot as plt
#读取图像
img = cv2.imread('Lena.png', 0)
#傅里叶变换
dft = cv2.dft(np.float32(img), flags = cv2.DFT_COMPLEX_OUTPUT)
#将频谱低频从左上角移动至中心位置
dft_shift = np.fft.fftshift(dft)
#频谱图像双通道复数转换为0-255区间
result = 20*np.log(cv2.magnitude(dft_shift[:,:,0], dft_shift[:,:,1]))
#显示图像
plt.subplot(121), plt.imshow(img, cmap = 'gray')
plt.title('Input Image'), plt.xticks([]), plt.yticks([])
plt.subplot(122), plt.imshow(result, cmap = 'gray')
plt.title('Magnitude Spectrum'), plt.xticks([]), plt.yticks([])
plt.show()
输出结果如图15-5所示,左边为原始“Lena”图,右边为转换后的频谱图像,并且保证低频位于中心位置。

五.OpenCV实现傅里叶逆变换
在OpenCV 中,通过函数cv2.idft()实现傅里叶逆变换,其返回结果取决于原始图像的类型和大小,原始图像可以为实数或复数。其函数原型如下所示:
dst = cv2.idft(src[, dst[, flags[, nonzeroRows]]])
- src表示输入图像,包括实数或复数
- dst表示输出图像
- flags表示转换标记
- nonzeroRows表示要处理的dst行数,其余行的内容未定义(请参阅dft描述中的卷积示例)
完整代码如下所示:
# -*- coding: utf-8 -*-
import numpy as np
import cv2
from matplotlib import pyplot as plt
#读取图像
img = cv2.imread('Lena.png', 0)
#傅里叶变换
dft = cv2.dft(np.float32(img), flags = cv2.DFT_COMPLEX_OUTPUT)
dftshift = np.fft.fftshift(dft)
res1= 20*np.log(cv2.magnitude(dftshift[:,:,0], dftshift[:,:,1]))
#傅里叶逆变换
ishift = np.fft.ifftshift(dftshift)
iimg = cv2.idft(ishift)
res2 = cv2.magnitude(iimg[:,:,0], iimg[:,:,1])
#显示图像
plt.subplot(131), plt.imshow(img, 'gray'), plt.title('Original Image')
plt.axis('off')
plt.subplot(132), plt.imshow(res1, 'gray'), plt.title('Fourier Image')
plt.axis('off')
plt.subplot(133), plt.imshow(res2, 'gray'), plt.title('Inverse Fourier Image')
plt.axis('off')
plt.show()
输出结果如图15-6所示,第一幅图为原始“Lena”图,第二幅图为傅里叶变换后的频谱图像,第三幅图为傅里叶逆变换,频谱图像转换为原始图像的过程。

六.总结
傅里叶变换的目的并不是为了观察图像的频率分布(至少不是最终目的),更多情况下是为了对频率进行过滤,通过修改频率以达到图像增强、图像去噪、边缘检测、特征提取、压缩加密等目的。下一篇文章,作者将结合傅里叶变换和傅里叶逆变换讲解它的应用。
时也,命也。英语低分数线一分,些许遗憾,但不气馁,更加努力。雄关漫道真如铁,而今迈过从头越,从头越。苍山如海,残阳如血。感谢一路陪伴的人和自己。无论成败,那段拼搏的日子都很美。结果只会让我更加努力,学好英语。下半年沉下心来好好做科研写文章,西藏之行,课程分享。同时,明天的博士考试加油,虽然裸泳,但也加油!还有春季招考开始准备。
最后补充马刺小石匠精神,当一切都看起来无济于事的时候,我去看一个石匠敲石头.他一连敲了100次,石头仍然纹丝不动。但他敲第101次的时候,石头裂为两半。可我知道,让石头裂开的不是那最后一击,而是前面的一百次敲击的结果。人生路漫漫,不可能一路一帆风顺,暂时的不顺只是磨练自己的必经之路,夜最深的时候也是距黎明最近的时刻,经历过漫漫长夜的打磨,你自身会更加强大。
最后希望这篇基础性文章对您有所帮助,如果有错误或不足之处,请海涵!

感恩能与大家在华为云遇见!
希望能与大家一起在华为云社区共同成长,原文地址:https://blog.csdn.net/Eastmount/article/details/89218513
(By:娜璋之家 Eastmount 2021-08-20 夜于贵阳)
参考文献:
- 《数字图像处理》(第3版),冈萨雷斯著,阮秋琦译,电子工业出版社,2013年.
- 《数字图像处理学》(第3版),阮秋琦,电子工业出版社,2008年,北京.
- 《OpenCV3编程入门》,毛星云,冷雪飞,电子工业出版社,2015,北京.
- 百度百科-傅里叶变换
- 网易云课堂-高登教育 Python+OpenCV图像处理
- 安安zoe-图像的傅里叶变换
- daduzimama-图像的傅里叶变换的迷思----频谱居中
- tenderwx-数字图像处理-傅里叶变换在图像处理中的应用
- 小小猫钓小小鱼-深入浅出的讲解傅里叶变换(真正的通俗易懂)
- 点赞
- 收藏
- 关注作者
评论(0)