手撸二叉树之二叉树的坡度

举报
HelloWorld杰少 发表于 2022/09/29 10:19:43 2022/09/29
【摘要】 题目给定一个二叉树,计算 整个树 的坡度 。一个树的 节点的坡度 定义即为,该节点左子树的节点之和和右子树节点之和的 差的绝对值 。如果没有左子树的话,左子树的节点之和为 0 ;没有右子树的话也是一样。空结点的坡度是 0 。整个树 的坡度就是其所有节点的坡度之和。示例1:输入:root = [1,2,3]输出:1解释:节点 2 的坡度:|0-0| = 0(没有子节点)节点 3 的坡度:|0...

题目

给定一个二叉树,计算 整个树 的坡度 。

一个树的 节点的坡度 定义即为,该节点左子树的节点之和和右子树节点之和的 差的绝对值 。如果没有左子树的话,左子树的节点之和为 0 ;没有右子树的话也是一样。空结点的坡度是 0 。

整个树 的坡度就是其所有节点的坡度之和。

示例1:

image

输入:root = [1,2,3]
输出:1
解释:
节点 2 的坡度:|0-0| = 0(没有子节点)
节点 3 的坡度:|0-0| = 0(没有子节点)
节点 1 的坡度:|2-3| = 1(左子树就是左子节点,所以和是 2 ;右子树就是右子节点,所以和是 3 )
坡度总和:0 + 0 + 1 = 1

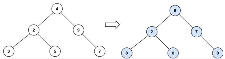
示例2

image

输入:root = [4,2,9,3,5,null,7]
输出:15
解释:
节点 3 的坡度:|0-0| = 0(没有子节点)
节点 5 的坡度:|0-0| = 0(没有子节点)
节点 7 的坡度:|0-0| = 0(没有子节点)
节点 2 的坡度:|3-5| = 2(左子树就是左子节点,所以和是 3 ;右子树就是右子节点,所以和是 5 )
节点 9 的坡度:|0-7| = 7(没有左子树,所以和是 0 ;右子树正好是右子节点,所以和是 7 )
节点 4 的坡度:|(3+5+2)-(9+7)| = |10-16| = 6(左子树值为 352 ,和是 10 ;右子树值为 97 ,和是 16 )
坡度总和:0 + 0 + 0 + 2 + 7 + 6 = 15

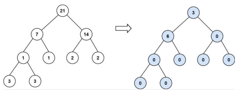
示例3:

image

输入:root = [21,7,14,1,1,2,2,3,3]
输出:9

解题思路

根据题意可知,树的坡度就是其所有节点的坡度之和,所以我们可以设计递归函数计算每个节点的坡度。

具体思路如下:

  1. 要计算每个节点的坡度,就要计算每个节点的 左子树的节点之和 与 右子树的节点之和;
  2. 左子树的节点之和 = 左子树根节点的值 + 左子树的左子树节点之和 + 左子树的右子树节点之和;
  3. 继续这样分解下去,直到分解到空树,空树的节点之和为0,作为递归出口;

代码实现

/**
 * Definition for a binary tree node.
 * public class TreeNode {
 *     int val;
 *     TreeNode left;
 *     TreeNode right;
 *     TreeNode() {}
 *     TreeNode(int val) { this.val = val; }
 *     TreeNode(int val, TreeNode left, TreeNode right) {
 *         this.val = val;
 *         this.left = left;
 *         this.right = right;
 *     }
 * }
 */
class Solution {
    // 坡度
    private int tilt = 0;
    public int findTilt(TreeNode root) {
        traverse(root);
        return tilt;
    }

    public int traverse(TreeNode root) {
        // 终止条件,空树的节点之和为0
        if (root == null) {
            return 0;
        } 
        // 计算当前节点的左子树节点之和
        int left = traverse(root.left);
        // 计算当前节点的右子树节点之和
        int right = traverse(root.right);
        // 计算当前节点的坡度并加入结果
        tilt += Math.abs(left - right);
        // 返回以当前节点为根的整棵树的节点之和
        return left + right + root.val;
    }
}

最后

复杂度分析:

  • 时间复杂度:O(n),其中 n 是结点的数目。每个结点访问一次。

  • 空间复杂度:递归使用栈辅助空间,空间复杂度为O(n)。

【声明】本内容来自华为云开发者社区博主,不代表华为云及华为云开发者社区的观点和立场。转载时必须标注文章的来源(华为云社区)、文章链接、文章作者等基本信息,否则作者和本社区有权追究责任。如果您发现本社区中有涉嫌抄袭的内容,欢迎发送邮件进行举报,并提供相关证据,一经查实,本社区将立刻删除涉嫌侵权内容,举报邮箱: cloudbbs@huaweicloud.com
  • 点赞
  • 收藏
  • 关注作者

评论(0

0/1000
抱歉,系统识别当前为高风险访问,暂不支持该操作

全部回复

上滑加载中

设置昵称

在此一键设置昵称,即可参与社区互动!

*长度不超过10个汉字或20个英文字符,设置后3个月内不可修改。

*长度不超过10个汉字或20个英文字符,设置后3个月内不可修改。