行列式运算法则 矩阵的运算及其运算规则:
目录
行列式运算法则
1、三角形(上三角,下三角)行列式的值,等于对角线元素的乘积。计算时,一般需要多次运算来把行列式转换为上三角型或下三角型
2、交换行列式中的两行(列),行列式变号(交换)
3、行列式中某行(列)的公因子,可以提出放到行列式之外。(倍乘)(注:矩阵是全部元素都乘,都提取)
4、行列式的某行乘以a,加到另外一行,行列式不变,常用于消去某些元素。(倍加)
5、若行列式中,两行(列)完全一样,则行列式为0;可以推论,如果两行(列)成比例,行列式为0。
6、行列式展开:行列式的值,等于其中某一行(列)的每个元素与其代数余子式乘积的和;但若是另一行(列)的元素与本行(列)的代数余子式乘积求和,则其和为0
7、克拉默法则:利用线性方程组的系数行列式求解方程,令系数行列式为D,Di为将等式右侧的值替换到行列式的第i列,则行列式的i个解为:
8、齐次线性方程组:在线性方程组等式右侧的常数项全部为0时,该方程组称为齐次线性方程组,否则为非齐次线性方程组。齐次线性方程组一定有零解,但不一定有非零解。当D=0时,有非零解;当D!=0时,方程组无非零解。
矩阵的运算及其运算规则:
一、矩阵的加法与减法
1、运算规则 设矩阵
则
两个矩阵相加减,即它们相同位置的元素相加减!注意:只有对于两个行数、列数分别相等的矩阵(即同型矩阵),加减法运算才有意义,即加减运算是可行的.
2、运算性质(假设运算都是可行的) 满足交换律和结合律
交换律
结合律
二、矩阵与数的乘法
1、运算规则数乘矩阵A,就是将数乘矩阵A中的每一个元素,记为或特别地,称称为的负矩阵.
2、运算性质 满足结合律和分配律 结合律:(λμ)A=λ(μA);(λ+μ)A =λA+μA. 分配律:λ(A+B)=λA+λB.
已知两个矩阵
满足矩阵方程
,求未知矩阵
解 由已知条件知
三、矩阵与矩阵的乘法
1、运算规则 设,,则A与B的乘积是这样一个矩阵:
(1) 行数与(左矩阵)A相同,列数与(右矩阵)B相同,即
(2) C的第行第列的元素由A的第行元素与B的第列元素对应相乘,再取乘积之和.
设矩阵
计算
解
是的矩阵.设它为
想一想:设列矩阵
,行矩阵
,和的行数和列数分别是多少呢
是3×3的矩阵,是1×1的矩阵,即
只有一个元素.课堂练习 1、设
,
,求
.
2、在第1道练习题中,两个矩阵相乘的顺序是A在左边,B在右边,称为A左乘B或B右乘A.如果交换顺序,让B在左边,A在右边,即A右乘B,运算还能进行吗?请算算试试看.并由此思考:两个矩阵应当满足什么条件,才能够做乘法运算.
3、设列矩阵
,行矩阵
,求和
,比较两个计算结果,能得出什么结论吗?
4、设三阶方阵
,三阶单位阵为
,试求和,并将计算结果与A比较,看有什么样的结论.
解: 第1题
. 第2题 对于
,
. 求是有意义的,而是无意义的.
结论1 只有在下列情况下,两个矩阵的乘法才有意义,或说乘法运算是可行的:左矩阵的列数=右矩阵的行数.
第3题
是矩阵,是的矩阵.
.
结论2 在矩阵的乘法中,必须注意相乘的顺序.即使在与均有意义时,也未必有=成立.可见矩阵乘法不满足交换律.
第4题 计算得:
.
结论3 方阵A和它同阶的单位阵作乘积,结果仍为A,即
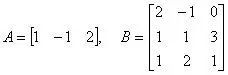
. 单位阵在矩阵乘法中的作用相当于数1在我们普通乘法中的作用.典型例题例6.5.3 设
,试计算和
.解
.
结论4 两个非零矩阵的乘积可以是零矩阵.由此若,不能得出或的结论.
例6.5.4 利用矩阵的乘法,三元线性方程组
可以写成矩阵的形式
=
若记系数、未知量和常数项构成的三个矩阵分别为
,
,
, 则线性方程组又可以简写为矩阵方程的形式:
2、运算性质(假设运算都是可行的)
(1) 结合律
(2) 分配律
(左分配律);
(右分配律).
(3)
3、方阵的幂定义:设A是方阵,是一个正整数,规定,
显然,记号表示个A的连乘积.
四、矩阵的转置
1、定义
定义:将矩阵A的行换成同序号的列所得到的新矩阵称为矩阵A的转置矩阵,记作
或
例如,矩阵
的转置矩阵为
.
2、运算性质(假设运算都是可行的)
(1)
(2)
(3)
(4) 是常数.
2、运算性质(假设运算都是可行的)
(1)
(2)
(3)
(4) , 是常数.
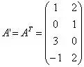
典型例题 例6.5.5 利用矩阵
验证运算性质:
解
而
所以
.
定义:如果方阵满足,即,则称A为对称矩阵.
对称矩阵的特点是:它的元素以主对角线为对称轴对应相等.
五、方阵的行列式
1、定义
定义:由方阵A的元素所构成的行列式(各元素的位置不变),称为方阵A的行列式,记作
或
2、运算性质
(1)
(行列式的性质)
(2)
,特别地:
(3)
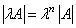
(
是常数,A的阶数为n)思考:设A为
阶方阵,那么
的行列式
与A的行列式
之间的关系为什么不是
,而是
? 不妨自行设计一个二阶方阵,计算一下
和
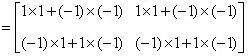
. 例如
,则
. 于是
,而
.思考:设
,有几种方法可以求
?解 方法一:先求矩阵乘法
,得到一个二阶方阵,再求其行列式. 方法二:先分别求行列式
,再取它们的乘积.
- 点赞
- 收藏
- 关注作者

评论(0)