数字信号处理之期中斩神篇(四重 斩仙)
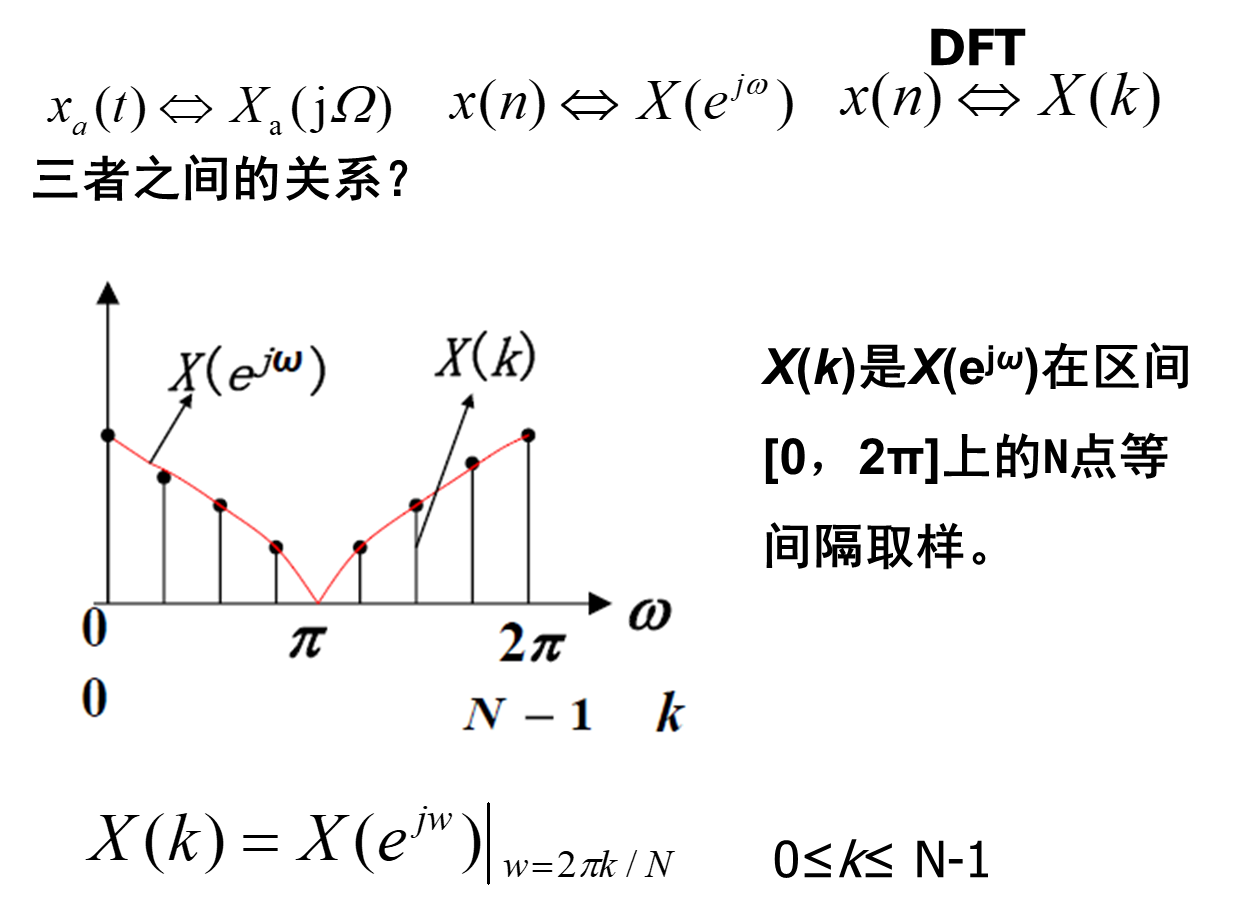
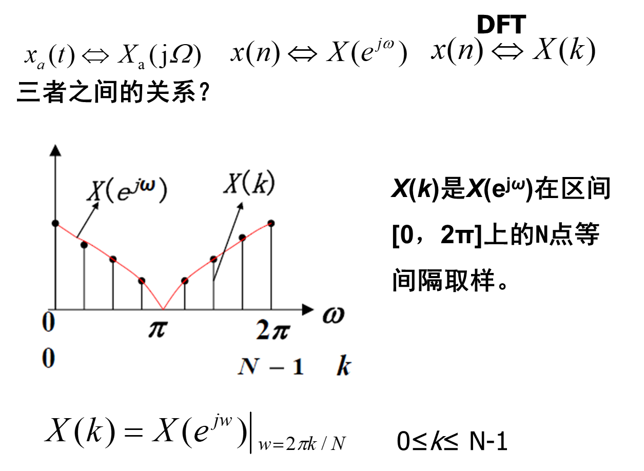
DFT对连续信号进行谱分析
信号的谱分析,就是计算信号的傅里叶变换,连续信号与系统的傅里叶分析不便于直接用计算机进行计算。 DFT是一种时域和频域均离散化的变换,DFT适合数值计算,得到广泛应用。对连续时间和系统,可通过时域采样,应用DFT进行近似谱分析。








频率分辨率


可通过对连续信号采样并进行DFT再乘以Ts,近似得到模拟信号频谱的周期延拓函数在第一个周期[0,Fs]上的N点等间隔采样
对满足假设的持续时间有限的带限信号,在满足时域采样定理时,
包含了模拟信号频谱的全部信息(k=0, 1, 2, …, N/2, 表示正频率频谱采样;k=N/2+1,N/2+2,…,N-1, 表示负频率频谱采样。
对实信号,其频谱函数具有共轭对称性,分析正频率频谱即可。不存在频谱混叠失真时,正频率[0,Fs/2]频谱采样为
谱分析范围、频率分辨率

例题

DFT对连续信号进行谱分析时参数选择原则

例题

说明: 为提高谱分辨率,又保持谱分析的范围不变( Fs 采样频率不变),只能增长纪录时间Tp(截取长度),增加采样点数N。
误差问题:
(1)混叠现象
(2)栅栏效应
(3)截断效应--泄漏


如何使原来漏掉的某些频谱分量被检测出来:
1.减小栅栏效应的一个方法是在所取数据的末端加一些零值点(时域),使一个周期内点数增加,但是不改变原有的记录数据。
2.N变大,频域抽样间隔变小,从而能保持原来频谱形式不变的情 况下使谱线变密,也就使频谱抽样点数增加。
3.这样,就有可能看到原来看不到的频谱分量。
时域补加零值点后对频域的影响

例题

截取

小总结
有限长序列:尾部补零 补零加长DFT的长度N
无限长序列:增大x(n)的截取长度及DFT变换区间长度
截取加长DFT变换区间长度N
以此增加频域采样点数和采样点位置,使原来漏掉的某些频谱分量可能被检测出来。
截断效应
对无限长的信号进行截断而引起的误差现象称为截断效应
采样序列x(n),对它用长为N的窗函数进行截断




比较截断前、后的幅度谱的差别:——截断效应
(1)泄露:频谱成分从
处“泄露”到 其他频率处
定义:原来的离散谱线向附近展宽,这种将谱线展宽的现象称为频谱泄漏。
影响:泄漏会使频谱变模糊,谱的分辨率降低。
出现原因:与主瓣宽度直接相关
应对措施:适当加大窗口宽度,增加截短长度N。
(2)谱间干扰
影响:引起不同频率分量间的干扰,降低谱分辨率
出现原因:频谱卷积以后存在着的旁瓣
应对措施:选择其他形状的窗函数代替矩形窗

文章来源: blog.csdn.net,作者:渣渣ye,版权归原作者所有,如需转载,请联系作者。
原文链接:blog.csdn.net/yyfloveqcw/article/details/123965630
- 点赞
- 收藏
- 关注作者
评论(0)