概率论与数理统计
【摘要】
1,条件概率
2,全概率公式
若为样本空间的分划,则
3,贝叶斯公式
若,则
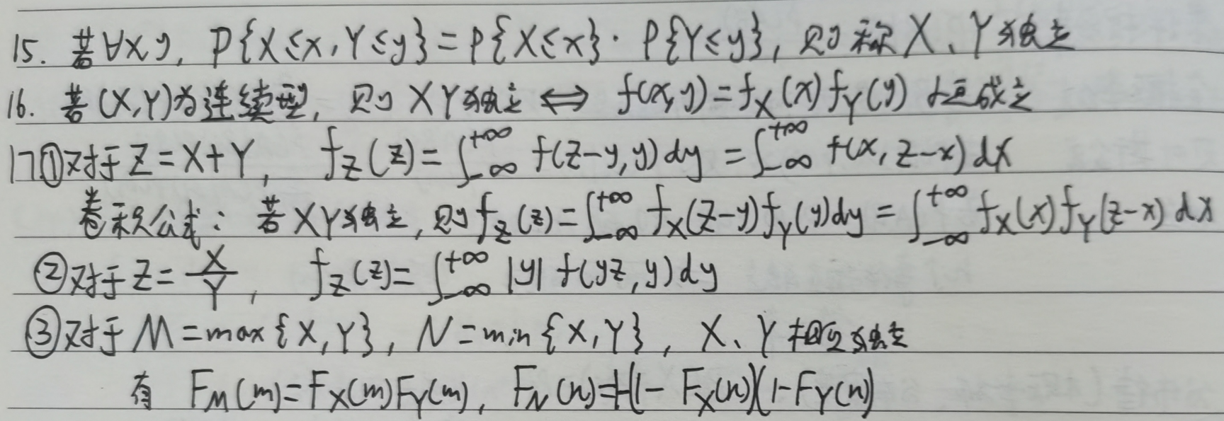
4,独立事件
若P(AB)=P(A)P(B),则称A、B独立。
若n个事件相互独立,则两两独立,反之,两两独立却不一定相互独立。
5,概率函数、概率分布函数
(1)离散型
概率函数(也叫分布律)
概率分布函数 ...
1,条件概率

2,全概率公式
若
为样本空间的分划,则
3,贝叶斯公式
若
,则
4,独立事件
若P(AB)=P(A)P(B),则称A、B独立。
若n个事件相互独立,则两两独立,反之,两两独立却不一定相互独立。
5,概率函数、概率分布函数
(1)离散型
概率函数(也叫分布律) 
概率分布函数 
(2)连续型
概率分布函数 
概率分布函数是单调不减的,而且是右连续的,但不一定左连续。
所以概率分布函数的右极限和左极限都存在,F(a+0)-F(a)等于0,F(a)-F(a-0)等于X=a的概率。
如果对于任意a,P(X=a)=0,那么存在函数f,
f 称为X的概率密度(即概率函数)
6,常见分布
(1)二项分布 B(n,p)

期望为np
(2)泊松分布 π(λ)

期望为λ
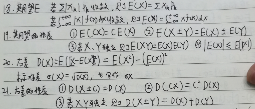
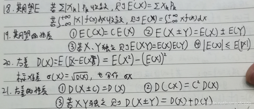
7,


期望和方差

协方差



文章来源: blog.csdn.net,作者:csuzhucong,版权归原作者所有,如需转载,请联系作者。
原文链接:blog.csdn.net/nameofcsdn/article/details/119361508
【版权声明】本文为华为云社区用户转载文章,如果您发现本社区中有涉嫌抄袭的内容,欢迎发送邮件进行举报,并提供相关证据,一经查实,本社区将立刻删除涉嫌侵权内容,举报邮箱:
cloudbbs@huaweicloud.com
- 点赞
- 收藏
- 关注作者
评论(0)