概率论知识整理
【摘要】
概率论知识点整理
1.概率基本公式
(1)逆事件的概率
(2)加法公式
(3)减法公式
(4)条件概率
(5)乘法公式
(6)全概率公式
(7)贝叶斯公式
2.独立与互斥、包含的关系
3.常见的分布
(1)0-1分布
(2)二项分布
(3)泊松分布
(4)几何分布
(5)均匀分布
(6)指数分布
(7)...
概率论知识点整理
1.概率基本公式
(1)逆事件的概率

(2)加法公式

(3)减法公式

(4)条件概率

(5)乘法公式
![]()
(6)全概率公式

(7)贝叶斯公式

2.独立与互斥、包含的关系
![]()
3.常见的分布
(1)0-1分布

(2)二项分布

(3)泊松分布

(4)几何分布

(5)均匀分布

(6)指数分布

(7)正态分布

4.两个常见的二维连续型随机变量
(1)二维均匀

(2)二维正态

5.期望
(1)一维离散型

(2)一维连续型

(3)二维离散型

(4)二维连续型

(5)性质

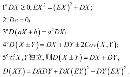
6.方差
(1)定义
![]()
(2)性质

7.常用分布的数学期望和方差

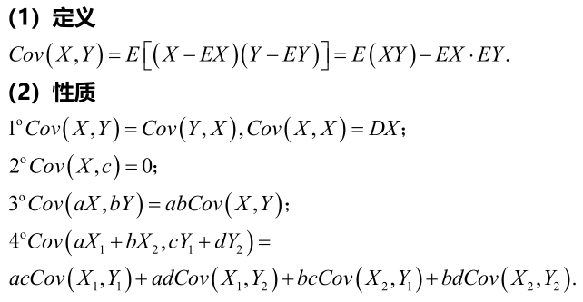
8.协方差
(1)定义

9.相关系数

10.大数定律
(1)依概率收敛

(2)切比雪夫大数定律

(3)伯努利大数定律

(4)辛钦大数定律(下面漏了=1)

11.中心极限定理
(1)列维-林德伯格中心极限定理

(2)拉普拉斯中心极限定理

12.三大抽样分布
i.卡方分布

ii.t分布

iii.F分布

13.矩估计的求法

14.最大似然估计的求法

15.估计量的评价标准
(1)无偏性
![]()
(2)有效性
(3)一致性

16.求置信区间的步骤

文章来源: andyguo.blog.csdn.net,作者:山顶夕景,版权归原作者所有,如需转载,请联系作者。
原文链接:andyguo.blog.csdn.net/article/details/104472344
【版权声明】本文为华为云社区用户转载文章,如果您发现本社区中有涉嫌抄袭的内容,欢迎发送邮件进行举报,并提供相关证据,一经查实,本社区将立刻删除涉嫌侵权内容,举报邮箱:
cloudbbs@huaweicloud.com
- 点赞
- 收藏
- 关注作者
评论(0)