【配电网重构】基于matlab粒子群算法33节点配电网重构【含Matlab源码 1829期】
一、配电网重构简介
1 配电网重构的数学模型
1.1 配电网重构的目标函数
配电网重构的数学模型实质就是多目标多约束的最优解问题, 配网重构的目标一般由以下几类:
(1) 配电网最小网损为目标;
(2) 停电事故时使范围最小为目标;
(3) 短路电流最小为目标;
(4) 负荷均衡化, 提高供电质量为目标;
(5) 提高供电可靠性为目标。
其中, 以最小网损作为目标进行配网重构一直是配网问题研究的热点, 由于本文没有考虑分布式电源的影响, 因此所有选择以降低网损为目标的模型进行配网重构。
一般配网系统网损表示为

其中, n为配网网络的支路总数;ki为开关闭合状态;Pi、Qi为支路的有功功率、无功功率;ri为支路i的电阻;Vi为支路i的节点电压。
1.2 配电网重构的约束条件
电力系统运行对电压质量有一定的要求, 一般对于10 k V的配网系统电压要求最多在7%左右的偏差, 对节点电压的约束只能在一定范围内才能满足条件, 若超过最高电压则采取最高电压进行运算。还有配网的运行特点, 配电网一般具有辐射性特点, 无孤岛和环路。
2 量子粒子群算法及其优化
2.1 量子粒子群算法
粒子群算法 (PSO—Particle Swarm Optimization) 属于群体智能算法, 而群体算法是描述具有社会行为的一种群体系统, 通过模拟简单个体在环境中相互影响的集体行为。该算法由J.Kennedy和R.Eberhart提出, 主要思想来源是对鸟类群体行为的研究, 其具有模仿智能动物的集体行为被成功应用在各种优化问题中。

其中:ω为惯性加权系数, 一般取0.1到0.9之间;1c和2c为加速系数;1r和2r为0到1的随机数。
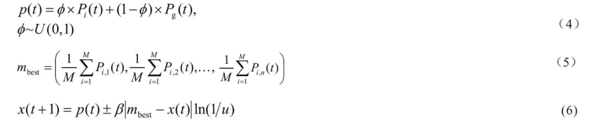
由于粒子群算法中可能出现非全域搜索的问题, Sun Jun等在分析粒子群算法优化的基础上提出了具有量子行为的粒子群算法Quan Rim-behaved Particle Swarm Optimization (QPSO)。对比一般的粒子群算法, 量子粒子群算法进化方式简单、参数少, 所以提高了收敛速度。量子粒子群算法只有粒子位置点和距离的概念没有速度和轨迹等概念。其进化方程式如式 (4) 、 (5) 、 (6) 所示:

其中M为群体所含粒子数;β为收缩扩张系数, U (0, 1) 为随机变量服从 (0, 1) 上均匀分布, u=rand (0, 1) 。一般该系数必须小于1.782;为所有个体最佳位置。
2.2 量子粒子群算法在配电网重构运用
根据配电网一般由辐射型结构组成, 线路主要由各个开关连接而成。对于这种由开关变化状态量组成的离散量, 可以使用二进制编码的量子粒子群算法Binary Quan Rim-behaved Particle Swarm Optimization (BQPSO) 进行。通过采用0和1表示开关状态, 进而进行配网重构。量子粒子群一般算法不适用于BQPSO算法, 在算法中需要表示离子之间的距离, 则两个粒子二进制串的海明距离由式 (7) 所示:

二、部分源代码
function main()
clear,clc
disp('请输入粒子数');
n = input('');
Y = CreatPSO(n);
for i = 1:n
disp(['第 ',num2str(i),' 个粒子']);
disp(Y(i,:));
[loss(i),minV(i)] = PLoss(Y(i,:));
end
least = min(loss);
leastIndex = find(loss == least);
disp(['网损最小的粒子为第( ',num2str(leastIndex),' )个粒子']);
disp('粒子为值为');
disp(Y(leastIndex,:));
disp(['网损有功功率P最小为( ',num2str(least),' )kW']);
disp(['节点电压p.u最小为 ',num2str(minV(leastIndex))]);
disp('网络拓扑见图');
Read(Y(leastIndex,:));
end
- 1
- 2
- 3
- 4
- 5
- 6
- 7
- 8
- 9
- 10
- 11
- 12
- 13
- 14
- 15
- 16
- 17
- 18
- 19
- 20
- 21
三、运行结果


四、matlab版本及参考文献
1 matlab版本
2014a
2 参考文献
[1] 包子阳,余继周,杨杉.智能优化算法及其MATLAB实例(第2版)[M].电子工业出版社,2016.
[2]张岩,吴水根.MATLAB优化算法源代码[M].清华大学出版社,2017.
[3]周品.MATLAB 神经网络设计与应用[M].清华大学出版社,2013.
[4]陈明.MATLAB神经网络原理与实例精解[M].清华大学出版社,2013.
[5]谢梦琼,张学毅,杨洋.基于一种改进量子粒子群算法的配电网重构[J].新型工业化. 2017,7(08)
文章来源: qq912100926.blog.csdn.net,作者:海神之光,版权归原作者所有,如需转载,请联系作者。
原文链接:qq912100926.blog.csdn.net/article/details/123853272
- 点赞
- 收藏
- 关注作者
评论(0)