【医学图像分割】 基于matlab GVF算法医学图像分割【含Matlab源码 1213期】
【摘要】
一、GVF Snake算法简介
分割的过程中, 图像的轮廓曲线要尽可能变得光滑。然而, Snake模型使轮廓线更加平滑的同时不能凹陷, 对初始位置的选取较为敏感, 极大的增加了模型的不确定性 。GVF ...
一、GVF Snake算法简介
分割的过程中, 图像的轮廓曲线要尽可能变得光滑。然而, Snake模型使轮廓线更加平滑的同时不能凹陷, 对初始位置的选取较为敏感, 极大的增加了模型的不确定性 。GVF Snake模型, 将梯度力扩展至整个图像中, 一方面加大了轮廓曲线的动态捕捉能力, 另一方面克服了Snake模型中轮廓线不能凹陷的缺陷 。GVF Snake模型其外力作用范围较大,具有双向驱动轮廓运动的特点。对于一幅图像,首先使用边界检测算子获取该幅图像I(x,y)的边界f(x,y),w(x,y) =[u(x, y) , v(x, y) ] 为该模型的外力, 则GVF Snake模型的能量泛函可表示为

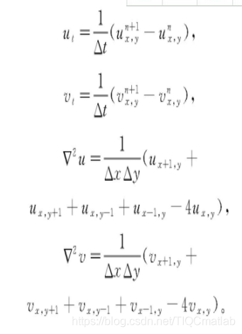
梯度矢量流中梯度力场u、v函数关于时间t的偏微分方程可表示为



二、部分源代码
clc; clear all; close all;
rand('state', 0);
warning off all;
path([pwd '\\toolbox'], path);
filename = 'chest'; % 待处理图像名称
% 载入图像
[I, map] = rawread(sprintf('images\\%s.pgm', filename));
% 计算边缘图像
f = 1 - I/255;
% GVF处理
[u,v] = GVF(f, 0.1, 80);
% 正规化处理
mag = sqrt(u.*u+v.*v);
px = u./(mag+1e-10); py = v./(mag+1e-10);
% 显示结果
figure(1);
subplot(1, 2, 1); imdisp(I); title('原图像', 'FontWeight', 'Bold');
subplot(1, 2, 2); imdisp(f); title('边缘图像', 'FontWeight', 'Bold');
% 初始边缘曲线
load(sprintf('.\\images\\%s.mat', filename));
[x,y] = snakeinterp(XSnake,YSnake,2,0.5);
subplot(1, 2, 1); hold on;
h = plot(x, y, 'r-');
% GVF迭代
load(sprintf('.\\images\\test_%s.mat', filename));
for i=1:25,
[x,y] = snakedeform(x,y,alpha,beta,gamma,kappa,fx,fy,5);
[x,y] = snakeinterp(x,y,dmax,dmin);
set(h, 'XData', x, 'YData', y);
title(['迭代过程,迭代次数为 = ' num2str(i*5)], 'FontWeight', 'Bold')
pause(0.2);
end
title('GVF Snake边缘提取标记', 'FontWeight', 'Bold')
mag = sqrt(u.*u+v.*v);
px = u./(mag+1e-10); py = v./(mag+1e-10);
% 显示结果
figure(1);
subplot(1, 2, 1); imdisp(I); title('原图像', 'FontWeight', 'Bold');
subplot(1, 2, 2); imdisp(f); title('边缘图像', 'FontWeight', 'Bold');
% 初始边缘曲线
load(sprintf('.\\images\\%s.mat', filename));
[x,y] = snakeinterp(XSnake,YSnake,2,0.5);
% XSnake
% YSnake
% GVF snake (active contour) toolbox
% Version 1.0 17-June-1997
% Copyright (c) 1996-1997 by Chenyang Xu and Jerry L. Prince
%
% Image input/output
% rawread - Read a Portable Bitmap file, or a raw file
% rawwrite - Write a Portable Bitmap file, or a raw file
%
% Image Display
% imdisp - Display an image
%
% Active Contour
% snakeinit - Initialize the snake manually
% snakedeform - Deform snake in the given external force field
% snakedeform2 - Deform snake in the given external force field with
% pressure force
% snakedisp - Display a snake
% snakeinterp - Interpolate the snake adaptively
% snakeinterp1 - Interpolate the snake at a fixed resolution
% (better implemented than snakeinterp)
%
% Gradient Vector Flow
% GVF - Compute the gradient vector flow field
%
% Other
% dt - Simple distance transform
% gaussianBlur - Blurring an image using gaussian kernel
% gaussianMask - Generate a discrete gaussian mask
- 1
- 2
- 3
- 4
- 5
- 6
- 7
- 8
- 9
- 10
- 11
- 12
- 13
- 14
- 15
- 16
- 17
- 18
- 19
- 20
- 21
- 22
- 23
- 24
- 25
- 26
- 27
- 28
- 29
- 30
- 31
- 32
- 33
- 34
- 35
- 36
- 37
- 38
- 39
- 40
- 41
- 42
- 43
- 44
- 45
- 46
- 47
- 48
- 49
- 50
- 51
- 52
- 53
- 54
- 55
- 56
- 57
- 58
- 59
- 60
- 61
- 62
- 63
- 64
- 65
- 66
- 67
- 68
- 69
- 70
- 71
- 72
- 73
- 74
三、运行结果

四、matlab版本及参考文献
1 matlab版本
2014a
2 参考文献
[1] 蔡利梅.MATLAB图像处理——理论、算法与实例分析[M].清华大学出版社,2020.
[2]杨丹,赵海滨,龙哲.MATLAB图像处理实例详解[M].清华大学出版社,2013.
[3]周品.MATLAB图像处理与图形用户界面设计[M].清华大学出版社,2013.
[4]刘成龙.精通MATLAB图像处理[M].清华大学出版社,2015.
文章来源: qq912100926.blog.csdn.net,作者:海神之光,版权归原作者所有,如需转载,请联系作者。
原文链接:qq912100926.blog.csdn.net/article/details/119683436
【版权声明】本文为华为云社区用户转载文章,如果您发现本社区中有涉嫌抄袭的内容,欢迎发送邮件进行举报,并提供相关证据,一经查实,本社区将立刻删除涉嫌侵权内容,举报邮箱:
cloudbbs@huaweicloud.com
- 点赞
- 收藏
- 关注作者
评论(0)