LeetCode-110. 平衡二叉树(java)
👨🎓作者:bug菌
✏️博客:、、、等
🎉简介:CSDN/阿里云/华为云/51CTO 博客专家,博客之星Top30,掘金年度人气作者Top40,51CTO年度博主Top12,掘金/InfoQ/51CTO等社区优质创作者,全网粉丝合计10w+,硬核微信公众号「猿圈奇妙屋」,欢迎你的加入!免费领取简历模板/学习资料/大厂面试真题/职业规划等海量资料。
..
✍️温馨提醒:本文字数:1999字, 阅读完需:约 6 分钟
嗨,家人们,我是bug菌呀,我又来啦。今天我们来聊点什么咧,OK,接着为大家更系列文章吧。希望能帮助更多的初学者们快速入门!
如果小伙伴们在批阅文章的过程中觉得文章对自己有帮助,请别吝啬手中的赞呀,大胆的把文章点亮👍,相信你点赞了好的文章,平台也会经常给你推荐高质量好文,您的点赞三连(收藏+关注+留言)就是对bug菌写文道路上最好的鼓励与支持😘。时光不弃🏃🏻♀️,创作不停💕,加油☘️
一、前言🔥
哈喽,小伙伴们,我是bug菌呀👀。金三银四,又到了刷题月啦。所以不管你是准备跳槽还是在职,都一起行动起来,顺应这个时代月干点该干的事儿👣。所以,赶紧跟着bug菌的步伐卷起来吧⏰,变强从这一刻开始!➕🧈
小伙伴们在批阅文章的过程中如果觉得文章对您有一丝丝帮助,还请别吝啬您手里的赞呀,大胆的把文章点亮👍吧,您的点赞三连(收藏⭐️+关注👨🎓+留言📃)就是对bug菌我创作道路上最好的鼓励与支持😘。时光不弃🏃🏻♀️,创作不停💕,加油☘️
二、题目描述:
题目:
给定一个二叉树,判断它是否是高度平衡的二叉树。
本题中,一棵高度平衡二叉树定义为:一个二叉树每个节点的左右两个子树的高度差的绝对值不超过 1 。
具体请看如下示例:
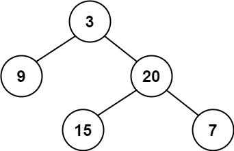
示例 1:
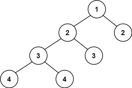
示例 2:
示例 3:
提示:
- 树中的节点数在范围
[0, 5000]内 -104 <= Node.val <= 104
题目来源:
题目难度:⭐⭐
三、思路分析:
根据本题对平衡二叉树的定义:如果二叉树的每个节点的左右子树的高度差的绝对值不超过 1,则是平衡二叉树。根据题目定义,解题思路如涌泉般喷发,老规矩,递归破题(若一棵二叉树是平衡二叉树,必须满足其所有子树也都是平衡二叉树才行),且递归的顺序可以是自顶向下或者自底向上,如上两种递归顺序我都给大家讲解一下。
方法一:自顶向下的递归
自顶向下顺序,这做法就类似于二叉树的前序遍历,即对于当前遍历到的节点:
- 首先计算左右子树的高度,如果左右子树的高度差是否不超过1,
- 再分别递归地遍历左右子节点,并判断左子树和右子树是否平衡。
方法二:自底向上的递归
方法一递归顺序是自顶向下,因此对于同一个节点,函数 height 会被重复调用,导致时间复杂度较高。如果使用自底向上的做法,则对于每个节点,函数height 就只会被调用一次。
而自底向上递归的做法就类似于后序遍历,即对于当前遍历到的节点:
- 先递归地判断其左右子树是否平衡。
- 再判断以当前节点为根的子树是否平衡。
- 如果一棵子树是平衡的,则返回其高度(高度一定是非负整数),否则返回 -1。
- 如果存在一棵子树不平衡,则整个二叉树一定不平衡。
四、算法实现:
1、自顶向下的递归法_AC代码
具体算法代码实现如下:
2、自底向上的递归法_AC代码
具体算法代码实现如下:
五、总结:
1、自顶向下的递归法之leetcode提交运行结果截图如下:
复杂度分析:
- 时间复杂度:O(n^2),其中n是二叉树中的节点个数。
- 空间复杂度:O(n),其中n是二叉树中的节点个数。空间复杂度主要取决于递归调用的层数,递归调用的层数不会超过n。
2、自底向上的递归法之leetcode提交运行结果截图如下:
复杂度分析:
- 时间复杂度:O(n),其中 n 是二叉树中的节点个数。使用自底向上的递归,每个节点的计算高度和判断是否平衡都只需要处理一次,最坏情况下需要遍历二叉树中的所有节点,因此时间复杂度是 O(n)。
- 空间复杂度:O(n),其中n是二叉树中的节点个数。空间复杂度主要取决于递归调用的层数,递归调用的层数不会超过n。
综上,可得递归顺序选取的方向决定你的复杂度,至底向上递归时间复杂度只需要O(n),就因为每个节点的计算高度和判断只需要处理一次,而至顶向下是每一次递归都对同一节点进行了一次判断处理。很显然嘛,思路可以学,不能局限。
再者,解题道路千万条,欢迎小伙伴们脑洞大开,如果你们有啥更好的想法或者思路,欢迎评论区告诉我哦,大家一起互相借鉴互相学习,方能成长的更快。
好啦,以上就是本期的所有内容啦,咱们下期见咯。
... ...
好啦,以上就是这期的所有内容啦,你们学废了么?如果对你有所帮助,还请不要忘记给bug菌[三连支持]哟。如果想获得更多的学习资源或者想和更多的技术爱好者一起交流,可以关注我的公众号『』,后台回复关键词领取学习资料、大厂面经、面试模板等海量资源,就等你来拿。
六. 热文推荐🔥
滴~如下推荐【Spring Boot 进阶篇】的学习大纲,请小伙伴们注意查收。
...
七. 文末🔥
如果想系统性的学习Spring Boot,小伙伴们直接订阅bug菌专门为大家创建的Spring Boot专栏从入门到精通,从无到有,从零到一!以知识点+实例+项目的学习模式由浅入深对Spring Boot框架进行学习&使用。
如果你有一定的基础却又想精进Spring Boot,那么将会是你的最好的选择;此栏进行知识点+实例+项目的学习方式全面深入框架剖析及各种高阶玩法,励志打造全网最全最新springboot学习专栏,投资学习自己性价比最高。
我是bug菌,一名想走👣出大山改变命运的程序猿。接下来的路还很长,都等待着我们去突破、去挑战。来吧,小伙伴们,我们一起加油!未来皆可期,fighting!
- 点赞
- 收藏
- 关注作者






评论(0)