LeetCode-112. 路径总和(java)
👨🎓作者:bug菌
✏️博客:、、、等
🎉简介:CSDN/阿里云/华为云/51CTO 博客专家,博客之星Top30,掘金年度人气作者Top40,51CTO年度博主Top12,掘金/InfoQ/51CTO等社区优质创作者,全网粉丝合计10w+,硬核微信公众号「猿圈奇妙屋」,欢迎你的加入!免费领取简历模板/学习资料/大厂面试真题/职业规划等海量资料。
..
✍️温馨提醒:本文字数:1999字, 阅读完需:约 6 分钟
嗨,家人们,我是bug菌呀,我又来啦。今天我们来聊点什么咧,OK,接着为大家更系列文章吧。希望能帮助更多的初学者们快速入门!
如果小伙伴们在批阅文章的过程中觉得文章对自己有帮助,请别吝啬手中的赞呀,大胆的把文章点亮👍,相信你点赞了好的文章,平台也会经常给你推荐高质量好文,您的点赞三连(收藏+关注+留言)就是对bug菌写文道路上最好的鼓励与支持😘。时光不弃🏃🏻♀️,创作不停💕,加油☘️
一、前言🔥
哈喽,小伙伴们,我是bug菌呀👀。金三银四,又到了刷题月啦。所以不管你是准备跳槽还是在职,都一起行动起来,顺应这个时代月干点该干的事儿👣。所以,赶紧跟着bug菌的步伐卷起来吧⏰,变强从这一刻开始!➕🧈
小伙伴们在批阅文章的过程中如果觉得文章对您有一丝丝帮助,还请别吝啬您手里的赞呀,大胆的把文章点亮👍吧,您的点赞三连(收藏⭐️+关注👨🎓+留言📃)就是对bug菌我创作道路上最好的鼓励与支持😘。时光不弃🏃🏻♀️,创作不停💕,加油☘️
二、题目描述:
题目:
给你二叉树的根节点 root 和一个表示目标和的整数 targetSum 。
判断该树中是否存在 根节点到叶子节点 的路径,这条路径上所有节点值相加等于目标和 targetSum 。
- 如果存在,返回 true ;
- 否则,返回 false 。
叶子节点 是指没有子节点的节点。
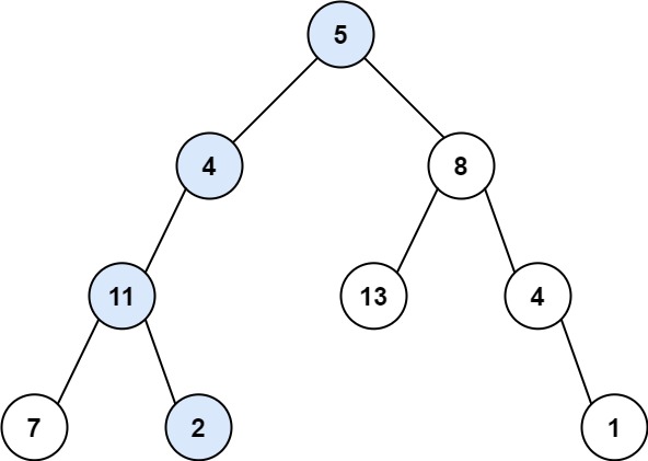
具体请看如下示例:
示例 1:
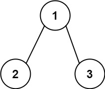
示例 2:
示例 3:
提示:
- 树中节点的数目在范围 [0, 5000] 内
- -1000 <= Node.val <= 1000
- -1000 <= targetSum <= 1000
题目来源:
题目难度:⭐⭐
三、思路分析:
这题我刚拿到,我也是楞了一下,询问是否有从「根节点」到某个「叶子节点」经过的路径上的节点之和等于目标值(targetSum)。其核心思想就是对树进行一次遍历,在遍历时记录从根节点到当前节点的路径和(防止重复计算)。
       假定从根节点到当前节点的值之和为 val,我们可以将这个大问题转化为一个小问题:是否存在从当前节点的子节点到叶子的路径,满足其路径和为 sum - val。
其实这就是满足递归思路了
- 若当前节点就是叶子节点,那么我们直接判断 sum 是否等于 val 即可。(因为目标值(targetSum)题目已给,就是当前节点的值,我们只需要判断该路径和是否满足条件)。
- 若当前节点不是叶子节点,接着递归地询问它的子节点是否能满足条件即可。
- 需要注意,root可能为空。
四、算法实现:
AC代码
具体算法代码实现如下:
五、总结:
leetcode提交运行结果截图如下:
复杂度分析:
- 时间复杂度:O(n),其中 n 是树的节点数。对每个节点访问一次。
- 空间复杂度:O(h),其中 h 是树的高度。空间复杂度主要取决于递归时栈空间的开销,最坏情况下,树呈现链状,空间复杂度为 O(n)。平均情况下树的高度与节点数的对数正相关,空间复杂度为 O(logn)。
这题我刚开始运行也是踏坑了,测试用例有个[] 0 ,我一开始考虑到了,直接返回0,但是还是过不了测试用例,这不是耍赖嘛,所以做算法题,最重要的不仅仅是解题思路,还有值域边界,这点我是屡试不爽。不知道小伙伴们拿到这道题,有没有挂在这里的,有的评论区举个手,让我也开心开心。
再者,解题道路千万条,欢迎小伙伴们脑洞大开,如果你们有啥更好的想法或者思路,欢迎评论区告诉我哦,大家一起互相借鉴互相学习,方能成长的更快。
好啦,以上就是本期的所有内容啦,咱们下期见咯。
... ...
好啦,以上就是这期的所有内容啦,你们学废了么?如果对你有所帮助,还请不要忘记给bug菌[三连支持]哟。如果想获得更多的学习资源或者想和更多的技术爱好者一起交流,可以关注我的公众号『』,后台回复关键词领取学习资料、大厂面经、面试模板等海量资源,就等你来拿。
六. 热文推荐🔥
滴~如下推荐【Spring Boot 进阶篇】的学习大纲,请小伙伴们注意查收。
...
七. 文末🔥
如果想系统性的学习Spring Boot,小伙伴们直接订阅bug菌专门为大家创建的Spring Boot专栏从入门到精通,从无到有,从零到一!以知识点+实例+项目的学习模式由浅入深对Spring Boot框架进行学习&使用。
如果你有一定的基础却又想精进Spring Boot,那么将会是你的最好的选择;此栏进行知识点+实例+项目的学习方式全面深入框架剖析及各种高阶玩法,励志打造全网最全最新springboot学习专栏,投资学习自己性价比最高。
我是bug菌,一名想走👣出大山改变命运的程序猿。接下来的路还很长,都等待着我们去突破、去挑战。来吧,小伙伴们,我们一起加油!未来皆可期,fighting!
- 点赞
- 收藏
- 关注作者
 
            





 
           
评论(0)