低配版PP-YOLO实战
低配版PP-YOLO实战
PP-YOLO:一个更快更好的目标检测器
- PP-YOLO的目的是实现一种可以在实际应用场景中直接应用的具有相对平衡的有效性和效率的目标检测器,而不是提出一种新颖的检测模型。
- PP-YOLO:一种基于YOLOv3的新型目标检测器。
- PP-YOLO:尝试结合各种几乎不增加模型参数和FLOPs数量的技巧,以实现在确保速度几乎不变的情况下尽可能提高检测器精度的目标

PP-YOLO网络如下图,部分主要模块如下所述:
- Backbone:ResNet50-vd-dcn
- Detection Neck:FPN
- Detection Head:YOLOv3
重磅技巧(tricks):
- Larger Batch Size:196
- EMA
在深度学习中,经常会使用EMA(指数移动平均)这个方法对模型的参数做平均,以求提高测试指标并增加模型鲁棒。
指数移动平均(Exponential Moving Average)也叫权重移动平均(Weighted Moving Average),是一种给予近期数据更高权重的平均方法。

- DropBlock
- IoU Loss
- IoU Aware
在目标检测问题中,模型需要输出目标分类分数和与其对应的目标定位的包围框,在以往的模型中,经常使用分类分数作为目标定位准不准的置信度,并基于此对大量候选目标包围框NMS,现在越来越多的工作发现,分类分数高并不能保证定位精度高。而IoU是直接反应定位准不准的直接指标,可以在目标检测模型的分类和定位任务的基础上添加IoU预测的任务,可以在一定程度上反应定位置信度。
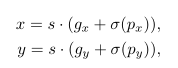
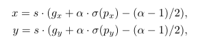
- Grid Sensitive


- Matrix NMS
在推理过程中,NMS还会删除与得分高的框的重合度大于一定阈值的其它预测框,这样对于存在两个同类别物体重叠的的图像检测任务来说,就会出现一个物体的预测框把另一个物体的预测框抑制掉的情况,导致漏检。
因此又引入了Soft NMS这个概念,其解决思路并不是粗暴的将与得分高的预测框重合度大于阈值的框直接滤除,而是降低这个预测框的评分,对预测框评分的惩罚系数与这两个框的重合度,也就是IoU正相关,采用这种软化的滤除方式就能有效的避免重叠的同类物体预测框互相冲突的情况,提高检测的精度。
但引入Soft NMS会使推理速度变慢。因此此轮模型优化采用了更优的Matrix NMS:一种并行化进行Soft NMS的实现思路。Matrix NMS通过一个矩阵并行运算的方式计算出任意两个框之间的IoU,例如对某一个预测框B计算抑制系数时,Matrix NMS通过矩阵并行方式计算出所有得分高于B的预测框与预测框B的IoU,然后根据这些IOU和得分高于B的预测框的被抑制概率做近似估算,估算出B的抑制系数,从而实现并行化的计算Soft NMS,在提高检测精度的同时,避免了推理速度的降低。
- CoordConv
即它无法将空间表示转换成笛卡尔空间中的坐标和one-hot像素空间中的坐标。
卷积是等变的,也就是说当每个过滤器应用到输入上时,它不知道每个过滤器在哪。我们可以帮助卷积,让它知道过滤器的位置。这一过程需要在输入上添加两个通道实现,一个在i坐标,另一个在j坐标。我们将这个图层成为CoordConv,如下图所示:

深度学习里的卷积运算是具有平移等变性的,这样可以在图像的不同位置共享统一的卷积核参数,但是这样卷积学习过程中是不能感知当前特征在图像中的坐标的。CoordConv就是通过在卷积的输入特征图中新增对应的通道来表征特征图像素点的坐标,让卷积学习过程中能够一定程度感知坐标来提升检测精度。
- SPP
空间金字塔池化是SPPNet提出的,如下图所示通过多个不同尺度的池化窗口提取不同尺度的池化特征,把特征组合在一起作为输出特征,在骨干网络提取特征后加入空间金字塔池化,能有效的增加特征的感受野,是一种广泛应用的特征提取优化方法。
- Better Pretrain Model

(PS:图中三角为DropBlock、star为SPP、diamonds为CoordConv)
对候选区域进行标注
每个区域可以产生3种不同形状的锚框,每个锚框都是一个可能的候选区域,对这些候选区域我们需要了解如下几件事情:
-
锚框是否包含物体,这可以看成是一个二分类问题,使用标签objectness来表示。当锚框包含了物体时,objectness=1,表示预测框属于正类;当锚框不包含物体时,设置objectness=0,表示锚框属于负类。
-
如果锚框包含了物体,那么它对应的预测框的中心位置和大小应该是多少,或者说上面计算式中的 应该是多少,使用location标签。
-
如果锚框包含了物体,那么具体类别是什么,这里使用变量label来表示其所属类别的标签。
标注锚框包含物体类别的标签
对于objectness=1的锚框,需要确定其具体类别。正如上面所说,objectness标注为1的锚框,会有一个真实框跟它对应,该锚框所属物体类别,即是其所对应的真实框包含的物体类别。这里使用one-hot向量来表示类别标签label。比如一共有10个分类,而真实框里面包含的物体类别是第2类,则label为
对上述步骤进行总结,标注的流程如 图15 所示。

图15:标注流程示意图
通过这种方式,我们在每个小方块区域都生成了一系列的锚框作为候选区域,并且根据图片上真实物体的位置,标注出了每个候选区域对应的objectness标签、位置需要调整的幅度以及包含的物体所属的类别。位置需要调整的幅度由4个变量描述 ,objectness标签需要用一个变量描述 ,描述所属类别的变量长度等于类别数C。
对于每个锚框,模型需要预测输出 ,其中 是锚框是否包含物体的概率, 则是锚框包含的物体属于每个类别的概率。接下来让我们一起学习如何通过卷积神经网络输出这样的预测值。
三、卷积神经网络提取特征
在上一节图像分类的课程中,我们已经学习过了通过卷积神经网络提取图像特征。通过连续使用多层卷积和池化等操作,能得到语义含义更加丰富的特征图。在检测问题中,也使用卷积神经网络逐层提取图像特征,通过最终的输出特征图来表征物体位置和类别等信息。
在提取特征的过程中通常会使用步幅大于1的卷积或者池化,导致后面的特征图尺寸越来越小,特征图的步幅等于输入图片尺寸除以特征图尺寸。例如:C0的尺寸是 ,原图尺寸是 ,则C0的步幅是 。同理,C1的步幅是16,C2的步幅是8。
from __future__ import absolute_import
from __future__ import division
from __future__ import print_function
import numpy as np
import paddle
from paddle import ParamAttr
import paddle.nn as nn
import paddle.nn.functional as F
from paddle.nn import Conv2D, BatchNorm, Linear, Dropout
from paddle.nn import AdaptiveAvgPool2D, MaxPool2D, AvgPool2D
from paddle.nn.initializer import Uniform
import math
__all__ = [
"ResNet18_vd", "ResNet34_vd", "ResNet50_vd", "ResNet101_vd", "ResNet152_vd"
]
class ConvBNLayer(nn.Layer):
def __init__(self,
num_channels,
num_filters,
filter_size,
stride=1,
groups=1,
is_vd_mode=False,
act=None,
lr_mult=1.0,
name=None):
super(ConvBNLayer, self).__init__()
self.is_vd_mode = is_vd_mode
self._pool2d_avg = AvgPool2D(
kernel_size=2, stride=2, padding=0, ceil_mode=True)
self._conv = Conv2D(
in_channels=num_channels,
out_channels=num_filters,
kernel_size=filter_size,
stride=stride,
padding=(filter_size - 1) // 2,
groups=groups,
weight_attr=ParamAttr(
name=name + "_weights", learning_rate=lr_mult),
bias_attr=False)
if name == "conv1":
bn_name = "bn_" + name
else:
bn_name = "bn" + name[3:]
self._batch_norm = BatchNorm(
num_filters,
act=act,
param_attr=ParamAttr(
name=bn_name + '_scale', learning_rate=lr_mult),
bias_attr=ParamAttr(
bn_name + '_offset', learning_rate=lr_mult),
moving_mean_name=bn_name + '_mean',
moving_variance_name=bn_name + '_variance')
def forward(self, inputs):
if self.is_vd_mode:
inputs = self._pool2d_avg(inputs)
y = self._conv(inputs)
y = self._batch_norm(y)
return y
class ConvBNLayer_dcn(nn.Layer):
def __init__(self,
num_channels,
num_filters,
filter_size,
stride=1,
groups=1,
is_vd_mode=False,
act=None,
lr_mult=1.0,
name=None):
super(ConvBNLayer_dcn, self).__init__()
self.is_vd_mode = is_vd_mode
self._pool2d_avg = AvgPool2D(
kernel_size=2, stride=2, padding=0, ceil_mode=True)
self._offsets = Conv2D(
in_channels=num_channels,
out_channels=18,
kernel_size=filter_size,
stride=stride,
padding=(filter_size - 1) // 2,
groups=groups,
weight_attr=ParamAttr(
name=name + "_weights1", learning_rate=lr_mult),
bias_attr=False)
self._mask = Conv2D(
in_channels=num_channels,
out_channels=9,
kernel_size=filter_size,
stride=stride,
padding=(filter_size - 1) // 2,
groups=groups,
weight_attr=ParamAttr(
name=name + "_weights2", learning_rate=lr_mult),
bias_attr=False)
self._conv_dcn = paddle.vision.ops.DeformConv2D(
in_channels=num_channels,
out_channels=num_filters,
kernel_size=filter_size,
stride=stride,
padding=(filter_size - 1) // 2,
groups=groups,
weight_attr=ParamAttr(
name=name + "_weights3", learning_rate=lr_mult),
bias_attr=False)
if name == "conv1":
bn_name = "bn_" + name
else:
bn_name = "bn" + name[3:]
self._batch_norm = BatchNorm(
num_filters,
act=act,
param_attr=ParamAttr(
name=bn_name + '_scale', learning_rate=lr_mult),
bias_attr=ParamAttr(
bn_name + '_offset', learning_rate=lr_mult),
moving_mean_name=bn_name + '_mean',
moving_variance_name=bn_name + '_variance')
def forward(self, inputs):
if self.is_vd_mode:
inputs = self._pool2d_avg(inputs)
offset = self._offsets(inputs)
mask = self._mask(inputs)
y = self._conv_dcn(inputs, offset, mask)
y = self._batch_norm(y)
return y
class BottleneckBlock_dcn(nn.Layer):
def __init__(self,
num_channels,
num_filters,
stride,
shortcut=True,
if_first=False,
lr_mult=1.0,
name=None):
super(BottleneckBlock_dcn, self).__init__()
self.conv0 = ConvBNLayer(
num_channels=num_channels,
num_filters=num_filters,
filter_size=1,
act='relu',
lr_mult=lr_mult,
name=name + "_branch2a_dcn")
self.conv1 = ConvBNLayer_dcn(
num_channels=num_filters,
num_filters=num_filters,
filter_size=3,
stride=stride,
act='relu',
lr_mult=lr_mult,
name=name + "_branch2b_dcn")
self.conv2 = ConvBNLayer(
num_channels=num_filters,
num_filters=num_filters * 4,
filter_size=1,
act=None,
lr_mult=lr_mult,
name=name + "_branch2c_dcn")
if not shortcut:
self.short = ConvBNLayer(
num_channels=num_channels,
num_filters=num_filters * 4,
filter_size=1,
stride=1,
is_vd_mode=False if if_first else True,
lr_mult=lr_mult,
name=name + "_branch1_dcn")
self.shortcut = shortcut
def forward(self, inputs):
y = self.conv0(inputs)
conv1 = self.conv1(y)
conv2 = self.conv2(conv1)
if self.shortcut:
short = inputs
else:
short = self.short(inputs)
y = paddle.add(x=short, y=conv2)
y = F.relu(y)
return y
class ResNet_vd(nn.Layer):
def __init__(self,
layers=50,
class_dim=1000,
lr_mult_list=[1.0, 1.0, 1.0, 1.0, 1.0]):
super(ResNet_vd, self).__init__()
self.layers = layers
supported_layers = [18, 34, 50, 101, 152, 200]
assert layers in supported_layers, \
"supported layers are {} but input layer is {}".format(
supported_layers, layers)
self.lr_mult_list = lr_mult_list
assert isinstance(self.lr_mult_list, (
list, tuple
)), "lr_mult_list should be in (list, tuple) but got {}".format(
type(self.lr_mult_list))
assert len(
self.lr_mult_list
) == 5, "lr_mult_list length should should be 5 but got {}".format(
len(self.lr_mult_list))
if layers == 18:
depth = [2, 2, 2, 2]
elif layers == 34 or layers == 50:
depth = [3, 4, 6, 3]
elif layers == 101:
depth = [3, 4, 23, 3]
elif layers == 152:
depth = [3, 8, 36, 3]
elif layers == 200:
depth = [3, 12, 48, 3]
num_channels = [64, 256, 512,
1024] if layers >= 50 else [64, 64, 128, 256]
num_filters = [64, 128, 256, 512]
self.conv1_1 = ConvBNLayer(
num_channels=3,
num_filters=32,
filter_size=3,
stride=2,
act='relu',
lr_mult=self.lr_mult_list[0],
name="conv1_1")
self.conv1_2 = ConvBNLayer(
num_channels=32,
num_filters=32,
filter_size=3,
stride=1,
act='relu',
lr_mult=self.lr_mult_list[0],
name="conv1_2")
self.conv1_3 = ConvBNLayer(
num_channels=32,
num_filters=64,
filter_size=3,
stride=1,
act='relu',
lr_mult=self.lr_mult_list[0],
name="conv1_3")
self.pool2d_max = MaxPool2D(kernel_size=3, stride=2, padding=1)
self.block_list = []
if layers >= 50:
for block in range(len(depth)):
shortcut = False
for i in range(depth[block]):
if layers in [101, 152, 200] and block == 2:
if i == 0:
conv_name = "res" + str(block + 2) + "a"
else:
conv_name = "res" + str(block + 2) + "b" + str(i)
else:
conv_name = "res" + str(block + 2) + chr(97 + i)
if layers in [34, 50] and block != 3:
bottleneck_block = self.add_sublayer(
'bb_%d_%d' % (block, i),
BottleneckBlock(
num_channels=num_channels[block]
if i == 0 else num_filters[block] * 4,
num_filters=num_filters[block],
stride=2 if i == 0 and block != 0 else 1,
shortcut=shortcut,
if_first=block == i == 0,
lr_mult=self.lr_mult_list[block + 1],
name=conv_name))
self.block_list.append(bottleneck_block)
shortcut = True
elif block == 3 :
bottleneck_block = self.add_sublayer(
'bb_%d_%d' % (block, i),
BottleneckBlock_dcn(
num_channels=num_channels[block]
if i == 0 else num_filters[block] * 4,
num_filters=num_filters[block],
stride=2 if i == 0 and block != 0 else 1,
shortcut=shortcut,
if_first=block == i == 0,
lr_mult=self.lr_mult_list[block + 1],
name=conv_name))
self.block_list.append(bottleneck_block)
shortcut = True
else:
for block in range(len(depth)):
shortcut = False
for i in range(depth[block]):
conv_name = "res" + str(block + 2) + chr(97 + i)
basic_block = self.add_sublayer(
'bb_%d_%d' % (block, i),
BasicBlock(
num_channels=num_channels[block]
if i == 0 else num_filters[block],
num_filters=num_filters[block],
stride=2 if i == 0 and block != 0 else 1,
shortcut=shortcut,
if_first=block == i == 0,
name=conv_name,
lr_mult=self.lr_mult_list[block + 1]))
self.block_list.append(basic_block)
shortcut = True
def forward(self, inputs):
y = self.conv1_1(inputs)
y = self.conv1_2(y)
y = self.conv1_3(y)
y = self.pool2d_max(y)
blocks = []
for block in self.block_list:
y = block(y)
blocks.append(y)
# y = blocks[-1]
return blocks[-1], blocks[-4], blocks[-10]
def ResNet34_vd(**args):
model = ResNet_vd(layers=34, **args)
return model
def ResNet50_vd(**args):
model = ResNet_vd(layers=50, **args)
return model
# # 查看Darknet53网络输出特征图
# import numpy as np
# backbone = ResNet50_vd()
# x = np.random.randn(1, 3, 640, 640).astype('float32')
# x = paddle.to_tensor(x)
# C0, C1, C2 = backbone(x)
# print(C0.shape, C1.shape, C2.shape)
上面这段示例代码,指定输入数据的形状是 ,则3个层级的输出特征图的形状分别是 , 和 。
四、根据输出特征图计算预测框位置和类别
PP-YOLO中对每个预测框计算逻辑如下:
-
预测框是否包含物体。也可理解为objectness=1的概率是多少,可以用网络输出一个实数 ,可以用 表示objectness为正的概率
-
预测物体位置和形状。物体位置和形状 可以用网络输出4个实数来表示
-
预测物体类别。预测图像中物体的具体类别是什么,或者说其属于每个类别的概率分别是多少。总的类别数为C,需要预测物体属于每个类别的概率 ,可以用网络输出C个实数 ,对每个实数分别求Sigmoid函数,让 ,则可以表示出物体属于每个类别的概率。
对于一个预测框,网络需要输出 个实数来表征它是否包含物体、位置和形状尺寸以及属于每个类别的概率。
由于我们在每个小方块区域都生成了K个预测框,则所有预测框一共需要网络输出的预测值数目是:
还有更重要的一点是网络输出必须要能区分出小方块区域的位置来,不能直接将特征图连接一个输出大小为 的全连接层。
建立输出特征图与预测框之间的关联
现在观察特征图,经过多次卷积核池化之后,其步幅stride=32, 大小的输入图片变成了 的特征图;而小方块区域的数目正好是 ,也就是说可以让特征图上每个像素点分别跟原图上一个小方块区域对应。这也是为什么我们最开始将小方块区域的尺寸设置为32的原因,这样可以巧妙的将小方块区域跟特征图上的像素点对应起来,解决了空间位置的对应关系。

图17:特征图C0与小方块区域形状对比
下面需要将像素点 与第i行第j列的小方块区域所需要的预测值关联起来,每个小方块区域产生K个预测框,每个预测框需要 个实数预测值,则每个像素点相对应的要有 个实数。为了解决这一问题,对特征图进行多次卷积,并将最终的输出通道数设置为 ,即可将生成的特征图与每个预测框所需要的预测值巧妙的对应起来。当然,这种对应是为了将骨干网络提取的特征对接输出层来形成Loss。实际中,这几个尺寸可以随着任务数据分布的不同而调整,只要保证特征图输出尺寸(控制卷积核和下采样)和输出层尺寸(控制小方块区域的大小)相同即可。
骨干网络的输出特征图是C0,下面的程序是对C0进行多次卷积以得到跟预测框相关的特征图P0。
import paddle.fluid.layers as L
import paddle
class SPP(paddle.nn.Layer):
def __init__(self, seq='asc'):
super(SPP, self).__init__()
assert seq in ['desc', 'asc']
self.seq = seq
self.max_pool1 = paddle.nn.MaxPool2D(kernel_size=5, stride=1, padding=2)
self.max_pool2 = paddle.nn.MaxPool2D(kernel_size=9, stride=1, padding=4)
self.max_pool3 = paddle.nn.MaxPool2D(kernel_size=13, stride=1, padding=6)
def __call__(self, x):
x_1 = x
x_2 = self.max_pool1(x)
x_3 = self.max_pool2(x)
x_4 = self.max_pool3(x)
if self.seq == 'desc':
out = L.concat([x_4, x_3, x_2, x_1], axis=1)
else:
out = L.concat([x_1, x_2, x_3, x_4], axis=1)
return out
class DropBlock(nn.Layer):
def __init__(self, block_size, keep_prob, name):
super(DropBlock, self).__init__()
self.block_size = block_size
self.keep_prob = keep_prob
self.name = name
def forward(self, x):
if not self.training or self.keep_prob == 1:
return x
else:
gamma = (1. - self.keep_prob) / (self.block_size**2)
for s in x.shape[2:]:
gamma *= s / (s - self.block_size + 1)
matrix = paddle.cast(paddle.rand(x.shape, x.dtype) < gamma, x.dtype)
mask_inv = F.max_pool2d(
matrix, self.block_size, stride=1, padding=self.block_size // 2)
mask = 1. - mask_inv
y = x * mask * (mask.numel() / mask.sum())
return y
import paddle
import paddle.nn.functional as F
import numpy as np
class ConvBNLayer_d(paddle.nn.Layer):
def __init__(self, ch_in, ch_out,
kernel_size=3, stride=1, groups=1,
padding=0, act="leaky"
):
super(ConvBNLayer_d, self).__init__()
self.conv = paddle.nn.Conv2D(
in_channels=ch_in,
out_channels=ch_out,
kernel_size=kernel_size,
stride=stride,
padding=padding,
groups=groups,
weight_attr=paddle.ParamAttr(
initializer=paddle.nn.initializer.Normal(0., 0.02)),
bias_attr=False)
self.batch_norm = paddle.nn.BatchNorm2D(
num_features=ch_out,
weight_attr=paddle.ParamAttr(
initializer=paddle.nn.initializer.Normal(0., 0.02),
regularizer=paddle.regularizer.L2Decay(0.)),
bias_attr=paddle.ParamAttr(
initializer=paddle.nn.initializer.Constant(0.0),
regularizer=paddle.regularizer.L2Decay(0.)))
self.act = act
def forward(self, inputs):
out = self.conv(inputs)
out = self.batch_norm(out)
if self.act == 'leaky':
out = F.leaky_relu(x=out, negative_slope=0.1)
return out
class YoloDetectionBlock(paddle.nn.Layer):
# define YOLOv3 detection head
# 使用多层卷积和BN提取特征
def __init__(self,ch_in,ch_out,is_test=True):
super(YoloDetectionBlock, self).__init__()
assert ch_out % 2 == 0, \
"channel {} cannot be divided by 2".format(ch_out)
self.conv0 = ConvBNLayer_d(
ch_in=ch_in,
ch_out=ch_out,
kernel_size=1,
stride=1,
padding=0)
# self.CoordConv = CoordConv()
self.conv1 = ConvBNLayer_d(
ch_in=ch_out,
ch_out=ch_out*2,
kernel_size=3,
stride=1,
padding=1)
self.spp = SPP()
self.conv2 = ConvBNLayer_d(
ch_in=ch_out*8,
ch_out=ch_out,
kernel_size=1,
stride=1,
padding=0)
self.DropBlock = DropBlock(block_size=5, keep_prob=0.9, name='le')
self.conv3 = ConvBNLayer_d(
ch_in=ch_out,
ch_out=ch_out*2,
kernel_size=3,
stride=1,
padding=1)
self.route = ConvBNLayer_d(
ch_in=ch_out*2,
ch_out=ch_out,
kernel_size=1,
stride=1,
padding=0)
self.tip = ConvBNLayer_d(
ch_in=ch_out,
ch_out=ch_out*2,
kernel_size=3,
stride=1,
padding=1)
def forward(self, inputs):
out = self.conv0(inputs)
out = self.conv1(out)
out = self.spp(out)
# print('******************', out.shape)
out = self.conv2(out)
out = self.DropBlock(out)
out = self.conv3(out)
# print('&&&&&&&&&&&&&&&&&&', out.shape)
route = self.route(out)
tip = self.tip(route)
return route, tip
# 定义上采样模块
class Upsample(paddle.nn.Layer):
def __init__(self, scale=2):
super(Upsample,self).__init__()
self.scale = scale
def forward(self, inputs):
# get dynamic upsample output shape
shape_nchw = paddle.shape(inputs)
shape_hw = paddle.slice(shape_nchw, axes=[0], starts=[2], ends=[4])
shape_hw.stop_gradient = True
in_shape = paddle.cast(shape_hw, dtype='int32')
out_shape = in_shape * self.scale
out_shape.stop_gradient = True
# reisze by actual_shape
out = paddle.nn.functional.interpolate(
x=inputs, scale_factor=self.scale, mode="NEAREST")
return out
class YOLOv3(paddle.nn.Layer):
def __init__(self, num_classes=7):
super(YOLOv3,self).__init__()
self.num_classes = num_classes
# 提取图像特征的骨干代码
self.block = ResNet50_vd()
self.block_outputs = []
self.yolo_blocks = []
self.route_blocks_2 = []
# 生成3个层级的特征图P0, P1, P2
for i in range(3):
# 添加从ci生成ri和ti的模块
yolo_block = self.add_sublayer(
"yolo_detecton_block_%d" % (i),
YoloDetectionBlock(
ch_in=1024//(2**i)*2 if i==0 else 1024//(2**i)*2 + 512//(2**i),
ch_out = 512//(2**i)))
self.yolo_blocks.append(yolo_block)
num_filters = 3 * (self.num_classes + 5)
# 添加从ti生成pi的模块,这是一个Conv2D操作,输出通道数为3 * (num_classes + 5)
block_out = self.add_sublayer(
"block_out_%d" % (i),
paddle.nn.Conv2D(in_channels=512//(2**i)*2,
out_channels=num_filters,
kernel_size=1,
stride=1,
padding=0,
weight_attr=paddle.ParamAttr(
initializer=paddle.nn.initializer.Normal(0., 0.02)),
bias_attr=paddle.ParamAttr(
initializer=paddle.nn.initializer.Constant(0.0),
regularizer=paddle.regularizer.L2Decay(0.))))
self.block_outputs.append(block_out)
if i < 2:
# 对ri进行卷积
route = self.add_sublayer("route2_%d"%i,
ConvBNLayer_d(ch_in=512//(2**i),
ch_out=256//(2**i),
kernel_size=1,
stride=1,
padding=0))
self.route_blocks_2.append(route)
# 将ri放大以便跟c_{i+1}保持同样的尺寸
self.upsample = Upsample()
def forward(self, inputs):
outputs = []
blocks = self.block(inputs)
for i, block in enumerate(blocks):
if i > 0:
# 将r_{i-1}经过卷积和上采样之后得到特征图,与这一级的ci进行拼接
block = paddle.concat([route, block], axis=1)
# 从ci生成ti和ri
route, tip = self.yolo_blocks[i](block)
# 从ti生成pi
block_out = self.block_outputs[i](tip)
# 将pi放入列表
outputs.append(block_out)
if i < 2:
# 对ri进行卷积调整通道数
route = self.route_blocks_2[i](route)
# 对ri进行放大,使其尺寸和c_{i+1}保持一致
route = self.upsample(route)
return outputs
def get_loss(self, outputs, gtbox, gtlabel, gtscore=None,
anchors = [10, 13, 16, 30, 33, 23, 30, 61, 62, 45, 59, 119, 116, 90, 156, 198, 373, 326],
anchor_masks = [[6, 7, 8], [3, 4, 5], [0, 1, 2]],
ignore_thresh=0.7,
use_label_smooth=False):
"""
使用paddle.vision.ops.yolo_loss,直接计算损失函数,过程更简洁,速度也更快
"""
self.losses = []
downsample = 32
for i, out in enumerate(outputs): # 对三个层级分别求损失函数
anchor_mask_i = anchor_masks[i]
loss = paddle.vision.ops.yolo_loss(
x=out, # out是P0, P1, P2中的一个
gt_box=gtbox, # 真实框坐标
gt_label=gtlabel, # 真实框类别
gt_score=gtscore, # 真实框得分,使用mixup训练技巧时需要,不使用该技巧时直接设置为1,形状与gtlabel相同
anchors=anchors, # 锚框尺寸,包含[w0, h0, w1, h1, ..., w8, h8]共9个锚框的尺寸
anchor_mask=anchor_mask_i, # 筛选锚框的mask,例如anchor_mask_i=[3, 4, 5],将anchors中第3、4、5个锚框挑选出来给该层级使用
class_num=self.num_classes, # 分类类别数
ignore_thresh=ignore_thresh, # 当预测框与真实框IoU > ignore_thresh,标注objectness = -1
downsample_ratio=downsample, # 特征图相对于原图缩小的倍数,例如P0是32, P1是16,P2是8
use_label_smooth=False) # 使用label_smooth训练技巧时会用到,这里没用此技巧,直接设置为False
self.losses.append(paddle.mean(loss)) #mean对每张图片求和
downsample = downsample // 2 # 下一级特征图的缩放倍数会减半
return sum(self.losses) # 对每个层级求和
- 点赞
- 收藏
- 关注作者
评论(0)