淀粉与纤维素
什么是淀粉?

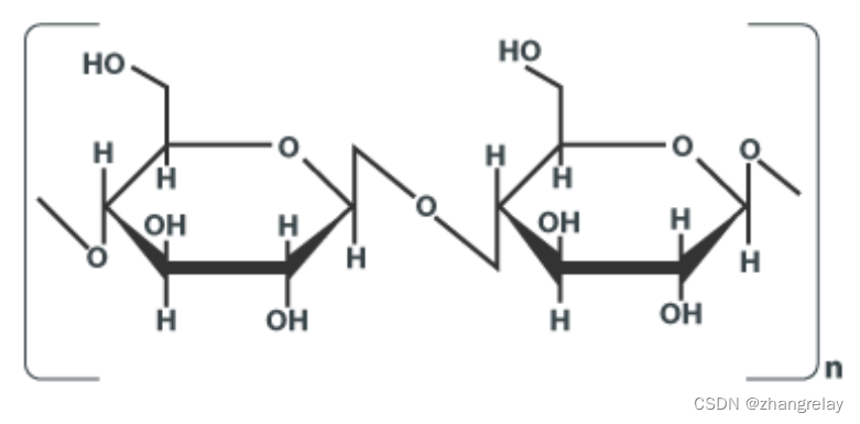
淀粉是一种无味、蓬松的白色粉末,不溶于冷水、酒精和其他溶剂。淀粉是一种多糖,由葡萄糖单体之间的 1,4 个键组成。淀粉分子的化学式为(C 6 H 10 O 5 ) n。
淀粉的一般性质
淀粉的特性是多方面的。淀粉的结构,特别是直链淀粉含量、颗粒尺寸分布、颗粒形态、颗粒-颗粒相互作用、颗粒体积分数和连续相粘度,都会影响其流变性能。
淀粉有许多特性。
- 淀粉作为碳水化合物——我们碳水化合物的主要来源是淀粉类食物,它们在健康饮食中起着重要作用。土豆、面包、米饭、意大利面和谷类食品是淀粉类食物的例子。
- 淀粉作为多糖——多糖是一种广泛使用的生物聚合物。在活的有机体中,它们的作用通常与结构或储存有关。在植物中,淀粉(葡萄糖的聚合物)以直链淀粉和支链支链淀粉的形式存在,并用作储存多糖。
- 淀粉作为一种非还原糖——在“缩醛”的大海捞针中需要不止一根半缩醛“针”才能得出阳性的减糖测试。因此,多糖不属于还原糖。例如,淀粉会导致阴性测试。淀粉和蔗糖都是蓝色的,表明它们是非还原糖。
淀粉的用途
- 淀粉含量高的食物是很好的营养来源。它们被分解成葡萄糖,这是人体的主要燃料,特别是在摄入后对我们的大脑和肌肉而言。B族维生素、铁、钙和叶酸都是淀粉类食物中的必需营养素。
- 淀粉被广泛用作湿法制粒过程中的粘合剂,团块和筛分是片剂、胶囊和其他固体剂型生产的重要步骤。
- 就膳食功能而言,淀粉的唯一目的是将葡萄糖转化为我们身体的能量。葡萄糖是我们身体唯一可以利用的碳水化合物。葡萄糖在我们的血液中循环,在那里它被细胞吸收并用作能量来源。
- 食品淀粉通常用作布丁、奶油冻、汤、酱汁、肉汁、馅饼馅和沙拉酱等食品的增稠剂和稳定剂,以及面条和意大利面的生产。淀粉由连接在一起的长链糖分子组成。淀粉的主要作用是帮助植物储存能量。在动物的饮食中,淀粉是糖的来源。淀粉酶是唾液和胰腺中含有的一种酶,可以分解淀粉以获得能量,动物使用它来分解淀粉。
淀粉在化学中的用途是什么?
淀粉用于多种行业,包括造纸、纺织品、药品和可生物降解的聚合物以及食品添加剂的生产。
淀粉和纤维素是一样的吗?
淀粉和纤维素是两种非常相似的聚合物。它们都由相同的单体葡萄糖制成,并具有基于葡萄糖的重复单元。淀粉和纤维素之间只有一个区别。在淀粉中,所有的葡萄糖重复单元都朝向相同的方向。
碳水化合物和淀粉有什么区别?
碳水化合物和淀粉之间的主要区别在于,碳水化合物可以是聚合或非聚合化合物,而淀粉是聚合碳水化合物。
为什么用淀粉做指示剂?
由于溶液中存在碘时淀粉会转变为深蓝色,因此可用作滴定指示剂。当淀粉在水中加热时,它会分解并产生β-直链淀粉。当β-淀粉酶与碘反应时,它会变成深蓝色。
为什么在终点加淀粉指示剂?
淀粉-碘化物复合物不太溶于水,因此当碘浓度低时,淀粉是在碘滴定终点附近添加的。这消除了由于一些碘可能仍然吸附在复合物上而未被检测到的错误。
什么是纤维素?

纤维素是地球上最丰富的有机化合物,化学式为 (C 6 H 10 O 5 ) n。
纤维素是一种复合碳水化合物,由氧、碳和氢组成。它是手性的,无味且无气味。1838 年,一位名叫 Anselme Payen 的法国化学家第一个发现了纤维素。这种有机化合物是水溶性和可生物降解的。
1890 年,它被用于生产第一种热塑性塑料,称为赛璐珞。棉花中纤维素的含量为 90%。木材中纤维素的含量为 40-45%,干麻分别为 57%。
纤维素的性质 – (C 6 H 10 O 5 ) n
纤维素的许多特性取决于聚合度或链长以及构成聚合物分子的葡萄糖分子的数量。纤维素无味,不溶于水和大多数有机溶剂。它是可生物降解的和手性的。
纤维素的用途 (C 6 H 10 O 5 ) n
- 它在饮食中用作纤维补充剂
- 用于生产纸板和纸制品
- 它有助于作为各种食品的添加剂
- 用于生产人造丝
- 它在奶酪中用作防腐剂,因为它起到抗结块剂的作用
- 它用于制造炸药
- 用于制造硝化纤维素
经常问的问题
纤维素是做什么用的?
纤维素主要用于纸板和纸张生产。少量被转化为多种衍生物,例如玻璃纸和人造丝。将能源作物中的纤维素转化为生物燃料(例如作为可再生燃料来源的纤维素乙醇)正在进行中。
纤维素是蛋白质吗?
蛋白质是多肽。示例-多糖:任何一类碳水化合物,其分子中具有单糖分子链。例子包括纤维素、糖原、淀粉等。
纤维素是糖吗?
纤维素是连接在一起的长链糖分子,赋予木材非凡的强度。它是植物细胞壁的关键成分,也是许多纺织品和纸张的重要组成部分。纤维素链节是一种糖类:ß-D-葡萄糖。
哪些食物含有纤维素?
纤维素是一种不溶性膳食纤维,由存在于植物所有细胞壁中的葡萄糖聚合物组成。含纤维素的食物类型包括绿叶蔬菜,如羽衣甘蓝、布鲁塞尔豆芽和绿豌豆。
纤维素是支链的还是无支链的?
纤维素是植物中用于结构功能的主要多糖。显然,这是地球上最常见的有机化合物之一。纤维素是一种通过 β-1,4 连接组合在一起的无支链葡萄糖残基聚合物,使分子能够形成长而直的链。
文章来源: zhangrelay.blog.csdn.net,作者:zhangrelay,版权归原作者所有,如需转载,请联系作者。
原文链接:zhangrelay.blog.csdn.net/article/details/126079446
- 点赞
- 收藏
- 关注作者
评论(0)