李宏毅老师机器学习(一) 机器学习介绍与回归
前言
这段时间尝试着把李宏毅老师的机器学习过一遍顺便记点笔记。尽量能够让人看懂。
机器学习介绍
主要带来的是几个问题:
Question:人工智能,机器学习,深度学习,特征工程的关系?
Answer:人工智能包括机器学习,机器学习包括深度学习。特征工程从数据中提取特征供算法和模型使用。
Question:机器学习的类别?
Answer:

regression回归
linear model 线性模型
deep learning 深度学习
SVM 支持向量机
decision tree 决策树
k-nn k临近算法
semi-supervised learning半监督学习 有标签和无标签混合
transfer learning 迁移学习
unsupervised learning 无监督学习 无标签数据
reinforcement learning 强化学习
structured learning 结构化学习
Question:回归的主要应用?
Answer:
股票预测
自动驾驶
推荐系统
Question:什么是损失函数?
Answer:
输入为函数,输出为对该函数好坏的评价的函数
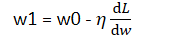
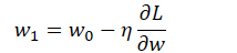
为找到较好的损失函数,在线性回归的情况下,可以使用梯度下降法。梯度下降的幅度取决于该损失函数的微分以及预设的参数:学习率η。
对于损失函数L(w)有,w的更新公式为:

在线性回归上没有极小值只有最小值,所以不用担心所取得的极小值不是最小值
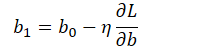
当参数为两个w,b时:


Question:为什么需要平滑的曲线?
Answer:平滑的曲线不易受到噪声影响,但是太过平滑,线就变成了直线
做回归的时候是不需要误差的
Question:误差的来源?
Answer:来源于偏差或者方差。偏差取决于样本的多少,代表瞄准位置在哪里。方差表示点的聚集度
简单的模型不易受数据的影响,方差较小,但是偏差大。模型越复杂方差越大,偏差越小。当你的方差大的时候就是过拟合,当你的偏差很大时候就是欠拟合。
Question:怎么知道偏差大还是方差大?
如果你的模型没有办法拟合你的训练数据,那么你的偏差大,这时候是欠拟合。这时候重新设计你的模型。
你在训练数据上得到小的偏差,但是在测试数据上得到较大的偏差,那么可能是方差较大,这时候是过拟合。办法是增加你的数据,不会伤害你的偏差。实在没办法可以自己设计数据,图片左右颠倒,裁剪等扩大训练集之类方式。另一种方法是正则化,可能伤害偏差,这时候就要在方差和偏差间取得平衡
文章来源: blog.csdn.net,作者:沧夜2021,版权归原作者所有,如需转载,请联系作者。
原文链接:blog.csdn.net/CANGYE0504/article/details/115398006
- 点赞
- 收藏
- 关注作者
评论(0)