每日算法&面试题,大厂特训二十八天——第二十二天(树)
导读

肥友们为了更好的去帮助新同学适应算法和面试题,最近我们开始进行专项突击一步一步来。上一期我们完成了动态规划二十一天现在我们进行下一项对各类算法进行二十八天的一个小总结。还在等什么快来一起肥学进行二十八天挑战吧!!
特别介绍
📣小白练手专栏,适合刚入手的新人欢迎订阅编程小白进阶
📣python有趣练手项目里面包括了像《机器人尬聊》《恶搞程序》这样的有趣文章,可以让你快乐学python练手项目专栏
📣另外想学JavaWeb进厂的同学可以看看这个专栏:传送们
📣这是个冲刺大厂面试专栏还有算法比赛练习我们一起加油 上岸之路
算法特训二十八天
给你一个二叉树的根节点 root ,判断其是否是一个有效的二叉搜索树。
有效 二叉搜索树定义如下:
节点的左子树只包含 小于 当前节点的数。 节点的右子树只包含 大于 当前节点的数。 所有左子树和右子树自身必须也是二叉搜索树。

输入:root = [2,1,3]
输出:true
- 1
- 2

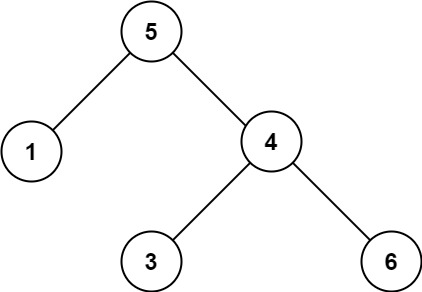
输入:root = [5,1,4,null,null,3,6]
输出:false
解释:根节点的值是 5 ,但是右子节点的值是 4 。
- 1
- 2
- 3
思路:我们可以进一步知道二叉搜索树「中序遍历」得到的值构成的序列一定是升序的,这启示我们在中序遍历的时候实时检查当前节点的值是否大于前一个中序遍历到的节点的值即可。如果均大于说明这个序列是升序的,整棵树是二叉搜索树,否则不是,下面的代码我们使用栈来模拟中序遍历的过程。
/**
* Definition for a binary tree node.
* public class TreeNode {
* int val;
* TreeNode left;
* TreeNode right;
* TreeNode() {}
* TreeNode(int val) { this.val = val; }
* TreeNode(int val, TreeNode left, TreeNode right) {
* this.val = val;
* this.left = left;
* this.right = right;
* }
* }
*/
class Solution {
public boolean isValidBST(TreeNode root) {
Deque<TreeNode> stack = new LinkedList<TreeNode>();
double inorder = -Double.MAX_VALUE;
while (!stack.isEmpty() || root != null) {
while (root != null) {
stack.push(root);
root = root.left;
}
root = stack.pop();
// 如果中序遍历得到的节点的值小于等于前一个 inorder,说明不是二叉搜索树
if (root.val <= inorder) {
return false;
}
inorder = root.val;
root = root.right;
}
return true;
}
}
- 1
- 2
- 3
- 4
- 5
- 6
- 7
- 8
- 9
- 10
- 11
- 12
- 13
- 14
- 15
- 16
- 17
- 18
- 19
- 20
- 21
- 22
- 23
- 24
- 25
- 26
- 27
- 28
- 29
- 30
- 31
- 32
- 33
- 34
- 35
- 36
- 37
- 38
- 39
- 40
给定一个二叉搜索树, 找到该树中两个指定节点的最近公共祖先。
百度百科中最近公共祖先的定义为:“对于有根树 T 的两个结点 p、q,最近公共祖先表示为一个结点 x,满足 x 是 p、q 的祖先且 x
的深度尽可能大(一个节点也可以是它自己的祖先)。”例如,给定如下二叉搜索树: root = [6,2,8,0,4,7,9,null,null,3,5]

示例 1:
输入: root = [6,2,8,0,4,7,9,null,null,3,5], p = 2, q = 8
输出: 6
解释: 节点 2 和节点 8 的最近公共祖先是 6。
- 1
- 2
- 3
- 4
- 5
示例 2:
输入: root = [6,2,8,0,4,7,9,null,null,3,5], p = 2, q = 4
输出: 2
解释: 节点 2 和节点 4 的最近公共祖先是 2, 因为根据定义最近公共祖先节点可以为节点本身。
- 1
- 2
- 3
- 4
- 5
思路:注意到题目中给出的是一棵「二叉搜索树」,因此我们可以快速地找出树中的某个节点以及从根节点到该节点的路径,例如我们需要找到节点 pp:
我们从根节点开始遍历;
如果当前节点就是 pp,那么成功地找到了节点;
如果当前节点的值大于 pp 的值,说明 pp 应该在当前节点的左子树,因此将当前节点移动到它的左子节点;
如果当前节点的值小于 pp 的值,说明 pp 应该在当前节点的右子树,因此将当前节点移动到它的右子节点。
对于节点 qq 同理。在寻找节点的过程中,我们可以顺便记录经过的节点,这样就得到了从根节点到被寻找节点的路径。
初始部分:
/**
* Definition for a binary tree node.
* public class TreeNode {
* int val;
* TreeNode left;
* TreeNode right;
* TreeNode(int x) { val = x; }
* }
*/
解题部分:
class Solution {
public TreeNode lowestCommonAncestor(TreeNode root, TreeNode p, TreeNode q) {
List<TreeNode> path_p = getPath(root, p);
List<TreeNode> path_q = getPath(root, q);
TreeNode ancestor = null;
for (int i = 0; i < path_p.size() && i < path_q.size(); ++i) {
if (path_p.get(i) == path_q.get(i)) {
ancestor = path_p.get(i);
} else {
break;
}
}
return ancestor;
}
public List<TreeNode> getPath(TreeNode root, TreeNode target) {
List<TreeNode> path = new ArrayList<TreeNode>();
TreeNode node = root;
while (node != target) {
path.add(node);
if (target.val < node.val) {
node = node.left;
} else {
node = node.right;
}
}
path.add(node);
return path;
}
}
- 1
- 2
- 3
- 4
- 5
- 6
- 7
- 8
- 9
- 10
- 11
- 12
- 13
- 14
- 15
- 16
- 17
- 18
- 19
- 20
- 21
- 22
- 23
- 24
- 25
- 26
- 27
- 28
- 29
- 30
- 31
- 32
- 33
- 34
- 35
- 36
- 37
- 38
- 39
- 40
- 41
- 42
- 43
- 44
- 45
面试题
9、创建线程的三个方法是什么?
通过继承 Thread 类创建线程类。
实现 Runnable 接口创建线程类。
通过 Callable 和 Future 接口创建线程。
10、Java 怎么获取多线程的返回值?
主线程等待。
使用 Thread 的 join 阻塞当前线程等待。
实现 Callable 接口(通过 FutureTask 或线程池的Future)
- 1
- 2
- 3
- 4
- 5
- 6
- 7
- 8
- 9
- 10
适合面试和比赛的算法目录:传送门
点击直接资料领取
这里有python,Java学习资料还有有有趣好玩的编程项目,更有难寻的各种资源。反正看看也不亏。
文章来源: blog.csdn.net,作者:肥学,版权归原作者所有,如需转载,请联系作者。
原文链接:blog.csdn.net/jiahuiandxuehui/article/details/122770255
- 点赞
- 收藏
- 关注作者
评论(0)