基础算法(二)学习笔记

除法变成*10的减法

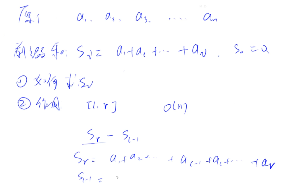
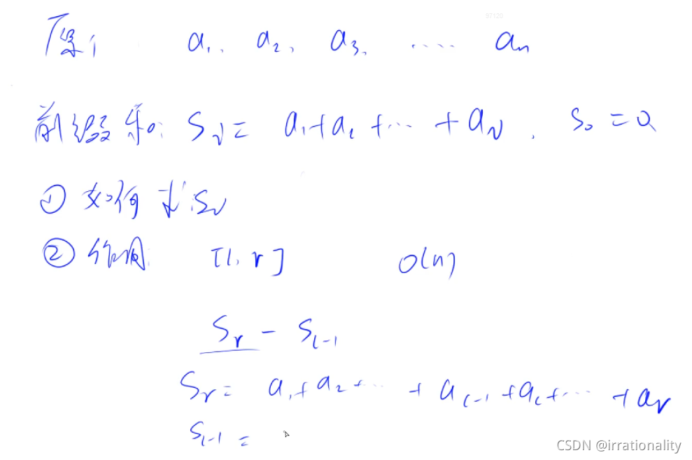
前缀和的小技巧
ios : : sync_with_stdio( false);l
消时

二维前缀和


二维差分

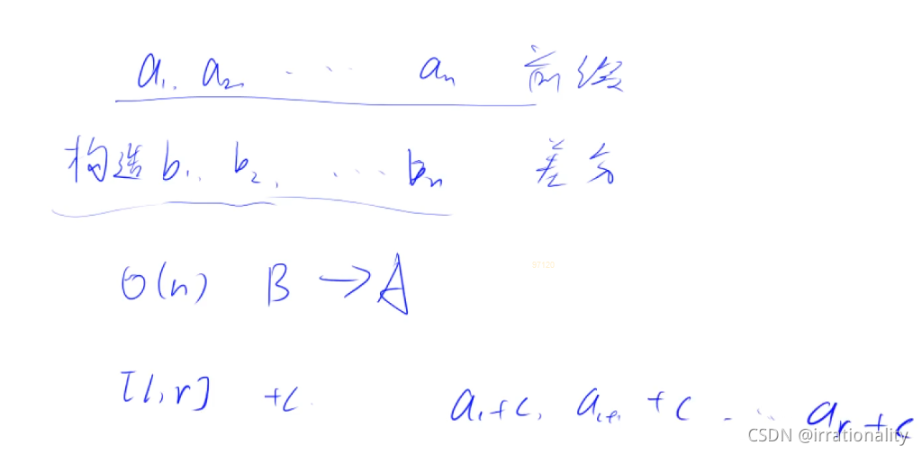
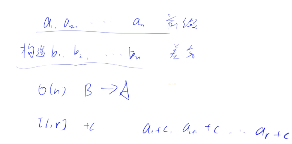
差分,O(·1·)
高精度乘法
-
#include <iostream>
-
#include <vector>
-
-
using namespace std;
-
-
-
vector<int> mul(vector<int> &A, int b)
-
{
-
vector<int> C;
-
-
int t = 0;
-
for (int i = 0; i < A.size() || t; i ++ )
-
{
-
if (i < A.size()) t += A[i] * b;
-
C.push_back(t % 10);
-
t /= 10;
-
}
-
-
while (C.size() > 1 && C.back() == 0) C.pop_back();
-
-
return C;
-
}
-
-
-
int main()
-
{
-
string a;
-
int b;
-
-
cin >> a >> b;
-
-
vector<int> A;
-
for (int i = a.size() - 1; i >= 0; i -- ) A.push_back(a[i] - '0');
-
-
auto C = mul(A, b);
-
-
for (int i = C.size() - 1; i >= 0; i -- ) printf("%d", C[i]);
-
-
return 0;
-
}
-
-
//前缀和
-
#include <iostream>
-
-
using namespace std;
-
-
const int N = 100010;
-
-
int n, m;
-
int a[N], s[N];
-
-
int main()
-
{
-
scanf("%d%d", &n, &m);
-
for (int i = 1; i <= n; i ++ ) scanf("%d", &a[i]);
-
-
for (int i = 1; i <= n; i ++ ) s[i] = s[i - 1] + a[i]; // 前缀和的初始化
-
-
while (m -- )
-
{
-
int l, r;
-
scanf("%d%d", &l, &r);
-
printf("%d\n", s[r] - s[l - 1]); // 区间和的计算
-
}
-
-
return 0;
-
}
-
//高精度除法
-
#include <iostream>
-
#include <vector>
-
#include <algorithm>
-
-
using namespace std;
-
-
vector<int> div(vector<int> &A, int b, int &r)
-
{
-
vector<int> C;
-
r = 0;
-
for (int i = A.size() - 1; i >= 0; i -- )
-
{
-
r = r * 10 + A[i];
-
C.push_back(r / b);
-
r %= b;
-
}
-
reverse(C.begin(), C.end());
-
while (C.size() > 1 && C.back() == 0) C.pop_back();
-
return C;
-
}
-
-
int main()
-
{
-
string a;
-
vector<int> A;
-
-
int B;
-
cin >> a >> B;
-
for (int i = a.size() - 1; i >= 0; i -- ) A.push_back(a[i] - '0');
-
-
int r;
-
auto C = div(A, B, r);
-
-
for (int i = C.size() - 1; i >= 0; i -- ) cout << C[i];
-
-
cout << endl << r << endl;
-
-
return 0;
-
}
-
-
-
-
//子矩阵的和
-
#include <iostream>
-
-
using namespace std;
-
-
const int N = 1010;
-
-
int n, m, q;
-
int s[N][N];
-
-
int main()
-
{
-
scanf("%d%d%d", &n, &m, &q);
-
-
for (int i = 1; i <= n; i ++ )
-
for (int j = 1; j <= m; j ++ )
-
scanf("%d", &s[i][j]);
-
-
for (int i = 1; i <= n; i ++ )
-
for (int j = 1; j <= m; j ++ )
-
s[i][j] += s[i - 1][j] + s[i][j - 1] - s[i - 1][j - 1];
-
-
while (q -- )
-
{
-
int x1, y1, x2, y2;
-
scanf("%d%d%d%d", &x1, &y1, &x2, &y2);
-
printf("%d\n", s[x2][y2] - s[x1 - 1][y2] - s[x2][y1 - 1] + s[x1 - 1][y1 - 1]);
-
}
-
-
return 0;
-
}
-
//差分
-
#include <iostream>
-
-
using namespace std;
-
-
const int N = 100010;
-
-
int n, m;
-
int a[N], b[N];
-
-
void insert(int l, int r, int c)
-
{
-
b[l] += c;
-
b[r + 1] -= c;
-
}
-
-
int main()
-
{
-
scanf("%d%d", &n, &m);
-
for (int i = 1; i <= n; i ++ ) scanf("%d", &a[i]);
-
-
for (int i = 1; i <= n; i ++ ) insert(i, i, a[i]);
-
-
while (m -- )
-
{
-
int l, r, c;
-
scanf("%d%d%d", &l, &r, &c);
-
insert(l, r, c);
-
}
-
-
for (int i = 1; i <= n; i ++ ) b[i] += b[i - 1];
-
-
for (int i = 1; i <= n; i ++ ) printf("%d ", b[i]);
-
-
return 0;
-
}
-
//差分矩阵
-
#include <iostream>
-
-
using namespace std;
-
-
const int N = 1010;
-
-
int n, m, q;
-
int a[N][N], b[N][N];
-
-
void insert(int x1, int y1, int x2, int y2, int c)
-
{
-
b[x1][y1] += c;
-
b[x2 + 1][y1] -= c;
-
b[x1][y2 + 1] -= c;
-
b[x2 + 1][y2 + 1] += c;
-
}
-
-
int main()
-
{
-
scanf("%d%d%d", &n, &m, &q);
-
-
for (int i = 1; i <= n; i ++ )
-
for (int j = 1; j <= m; j ++ )
-
scanf("%d", &a[i][j]);
-
-
for (int i = 1; i <= n; i ++ )
-
for (int j = 1; j <= m; j ++ )
-
insert(i, j, i, j, a[i][j]);
-
-
while (q -- )
-
{
-
int x1, y1, x2, y2, c;
-
cin >> x1 >> y1 >> x2 >> y2 >> c;
-
insert(x1, y1, x2, y2, c);
-
}
-
-
for (int i = 1; i <= n; i ++ )
-
for (int j = 1; j <= m; j ++ )
-
b[i][j] += b[i - 1][j] + b[i][j - 1] - b[i - 1][j - 1];
-
-
for (int i = 1; i <= n; i ++ )
-
{
-
for (int j = 1; j <= m; j ++ ) printf("%d ", b[i][j]);
-
puts("");
-
}
-
-
return 0;
-
}
-
//最长连续不重复子序列
-
#include <iostream>
-
-
using namespace std;
-
-
const int N = 100010;
-
-
int n;
-
int q[N], s[N];
-
-
int main()
-
{
-
scanf("%d", &n);
-
for (int i = 0; i < n; i ++ ) scanf("%d", &q[i]);
-
-
int res = 0;
-
for (int i = 0, j = 0; i < n; i ++ )
-
{
-
s[q[i]] ++ ;
-
while (j < i && s[q[i]] > 1) s[q[j ++ ]] -- ;
-
res = max(res, i - j + 1);
-
}
-
-
cout << res << endl;
-
-
return 0;
-
}
-
//数组元素的目标和
-
#include <iostream>
-
-
using namespace std;
-
-
const int N = 1e5 + 10;
-
-
int n, m, x;
-
int a[N], b[N];
-
-
int main()
-
{
-
scanf("%d%d%d", &n, &m, &x);
-
for (int i = 0; i < n; i ++ ) scanf("%d", &a[i]);
-
for (int i = 0; i < m; i ++ ) scanf("%d", &b[i]);
-
-
for (int i = 0, j = m - 1; i < n; i ++ )
-
{
-
while (j >= 0 && a[i] + b[j] > x) j -- ;
-
if (j >= 0 && a[i] + b[j] == x) cout << i << ' ' << j << endl;
-
}
-
-
return 0;
-
}
-
//二进制中1的个数
-
#include <iostream>
-
-
using namespace std;
-
-
int main()
-
{
-
int n;
-
scanf("%d", &n);
-
while (n -- )
-
{
-
int x, s = 0;
-
scanf("%d", &x);
-
-
for (int i = x; i; i -= i & -i) s ++ ;
-
-
printf("%d ", s);
-
}
-
-
return 0;
-
}
-
//区间和
-
#include <iostream>
-
#include <vector>
-
#include <algorithm>
-
-
using namespace std;
-
-
typedef pair<int, int> PII;
-
-
const int N = 300010;
-
-
int n, m;
-
int a[N], s[N];
-
-
vector<int> alls;
-
vector<PII> add, query;
-
-
int find(int x)
-
{
-
int l = 0, r = alls.size() - 1;
-
while (l < r)
-
{
-
int mid = l + r >> 1;
-
if (alls[mid] >= x) r = mid;
-
else l = mid + 1;
-
}
-
return r + 1;
-
}
-
-
vector<int>::iterator unique(vector<int> &a)
-
{
-
int j = 0;
-
for (int i = 0; i < a.size(); i ++ )
-
if (!i || a[i] != a[i - 1])
-
a[j ++ ] = a[i];
-
// a[0] ~ a[j - 1] 所有a中不重复的数
-
-
return a.begin() + j;
-
}
-
-
int main()
-
{
-
cin >> n >> m;
-
for (int i = 0; i < n; i ++ )
-
{
-
int x, c;
-
cin >> x >> c;
-
add.push_back({x, c});
-
-
alls.push_back(x);
-
}
-
-
for (int i = 0; i < m; i ++ )
-
{
-
int l, r;
-
cin >> l >> r;
-
query.push_back({l, r});
-
-
alls.push_back(l);
-
alls.push_back(r);
-
}
-
-
// 去重
-
sort(alls.begin(), alls.end());
-
alls.erase(unique(alls), alls.end());
-
-
// 处理插入
-
for (auto item : add)
-
{
-
int x = find(item.first);
-
a[x] += item.second;
-
}
-
-
// 预处理前缀和
-
for (int i = 1; i <= alls.size(); i ++ ) s[i] = s[i - 1] + a[i];
-
-
// 处理询问
-
for (auto item : query)
-
{
-
int l = find(item.first), r = find(item.second);
-
cout << s[r] - s[l - 1] << endl;
-
}
-
-
return 0;
-
}
-
#include <iostream>
-
#include <vector>
-
#include <algorithm>
-
-
using namespace std;
-
-
typedef pair<int, int> PII;
-
-
void merge(vector<PII> &segs)
-
{
-
vector<PII> res;
-
-
sort(segs.begin(), segs.end());
-
-
int st = -2e9, ed = -2e9;
-
for (auto seg : segs)
-
if (ed < seg.first)
-
{
-
if (st != -2e9) res.push_back({st, ed});
-
st = seg.first, ed = seg.second;
-
}
-
else ed = max(ed, seg.second);
-
-
if (st != -2e9) res.push_back({st, ed});
-
-
segs = res;
-
}
-
-
int main()
-
{
-
int n;
-
scanf("%d", &n);
-
-
vector<PII> segs;
-
for (int i = 0; i < n; i ++ )
-
{
-
int l, r;
-
scanf("%d%d", &l, &r);
-
segs.push_back({l, r});
-
}
-
-
merge(segs);
-
-
cout << segs.size() << endl;
-
-
return 0;
-
}




解题卡片:
1、二分法关键在于不陷入死循环,找到一个最适合点,对左右径行递归,同时避免死循环
2、快速排序关键与双指针有关,不断地减少逆序
3、归并排序除了快、稳定,而且还可以求逆序对:
归并排序:
1.[L,R]=> [L, mid], [mid + 1,R]2.递归排序[L, mid]和[mid + 1,R]
3.归并,将左右两个有序序列合并成一个有序序列
具体而言,归并如何求出逆序对?
首先,归并是将数据不断的划分,直到最小,然后将最小的那部分不断地合并,而左边的没有用,先用的右边的那一块进行归并,那么就会产生逆序对!
总而言之,思考要往人类能够理解的方向上靠,否则还是会对身心造成伤害、、、
4、对于浮点数的二分法,也就是用牛顿法,二分法去做就好了
5、qi大于qj,那么qi后的数都与qj逆序(逆序对)
6、运行小程序,python和js都很快,因为不需要编译;而C++和java是需要编译的。
7、一维差分需要二重,二维差分需要四重,三维差分需要八重。
有问题可以留言探讨~~
文章来源: blog.csdn.net,作者:irrationality,版权归原作者所有,如需转载,请联系作者。
原文链接:blog.csdn.net/weixin_54227557/article/details/120673238
- 点赞
- 收藏
- 关注作者
评论(0)