基础算法(三)学习笔记
【摘要】
双指针算法 第一类 归并排序 快排也是双指针
第二类 维护区间
输出
abc
def
ghi
//双指针算法最简单的一个应用
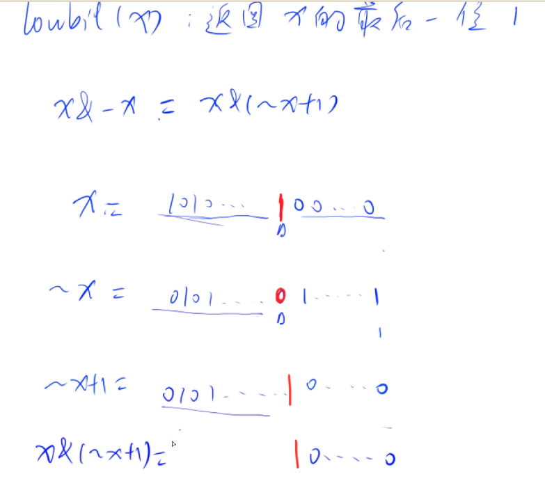
输出二进制表示
二进制中1的个数
&nbs...

双指针算法 第一类 归并排序 快排也是双指针

第二类 维护区间


输出
abc
def
ghi
//双指针算法最简单的一个应用


输出二进制表示



二进制中1的个数

离散化
就是一个映射,要用到pair<int ,int > PII unique sort
文章来源: blog.csdn.net,作者:irrationality,版权归原作者所有,如需转载,请联系作者。
原文链接:blog.csdn.net/weixin_54227557/article/details/120683256
【版权声明】本文为华为云社区用户转载文章,如果您发现本社区中有涉嫌抄袭的内容,欢迎发送邮件进行举报,并提供相关证据,一经查实,本社区将立刻删除涉嫌侵权内容,举报邮箱:
cloudbbs@huaweicloud.com
- 点赞
- 收藏
- 关注作者
评论(0)