搜索与图论(一)学习笔记


深度优先搜索DFS

深度优先搜索非常执着,就是要 找穿一条路,然后再走下一条,而不会退到远点,而是一有机会就走向下一条

相比之下,bfs就相对稳重,走完一层才走下一层,稳扎稳打。

对空间要求比较高,一般用深度优先搜索,而要计算距离,则用广度优先搜索。

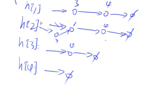
应用DFS进行全排列,可以得到上图的结果

注意:1、恢复现场,st[i]=false;
例题 n皇后问题
知识点:剪枝


正对角线与反对角线

之所以不考虑!row[i] 是因为我们是一行一行放的
u+i与n-u+i是怎么来的?
实际上作图由简单的一次函数关系可知。
遇到不符合情况的时候,提前停止,恢复现场,退到上一步
思路一:运用对角线 列 和 反对角线
思路二:运用二叉树

还是讨论一种原始的方法:每个格子只有放或者不放两种可能
时间复杂度:n*n!
例题:走迷宫
俗话说得好,兔子不吃窝边草,但是BFS就是从窝边草一直开始吃,吃吃吃。

dp问题和我们的最短路径问题是互通的

深度优先搜索可以保证搜到这个终点,但不能保证是最短的。


树属于无环连通图


邻接表表示可达点,具体顺序倒无关紧要了


多插入一点 的 头插法方法
图的遍历


宽度优先搜索
例子:树的重心

删掉1这个点,连通块最大点数为4


重边和自环


起点在终点之前,就属于是一个拓扑序列
成环的话,无论如何都成为不了拓扑序列
有向无环图一定存在拓扑序列,一定是拓扑图

度的概念 入度与出度

删边,不断搞到入度为0的点,不断进攻
可现在问题来了,如何检测是不是有环图?

反证法:如果不存在入度为0的点,那么可以反复往前找,那么找到n+1次(比边数多1,那么一定会产生重复,那么就一定成环)
例题:八数码
文章来源: blog.csdn.net,作者:irrationality,版权归原作者所有,如需转载,请联系作者。
原文链接:blog.csdn.net/weixin_54227557/article/details/120729054
- 点赞
- 收藏
- 关注作者
评论(0)