数据结构(一)学习笔记
【摘要】
下一个为空:ne[x]=-1
栈
单调栈与单调队列
单调队列经典题 滑动窗口,单独列
KMP算法,就是拟合一个next数组,减少回退
next数组:next[5]=3
双指针就是利用单调性
...



下一个为空:ne[x]=-1

栈


单调栈与单调队列
单调队列经典题 滑动窗口,单独列

KMP算法,就是拟合一个next数组,减少回退

next数组:next[5]=3


双指针就是利用单调性

利用idx来索引第k个插入的数字
scanf会把空格回车都读进去,但是cin会自动过滤掉



单调栈:不匹配,就删除
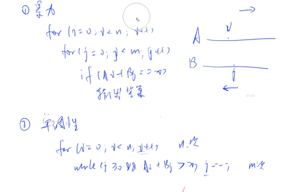
数组元素目标和
学习卡片:
学习前人的东西,一定要学会了,我们再去创造,这样或许会更好,而不是坐井观天,胡思乱想;稳扎稳打也不一定说就是要很慢很慢,这个是一个辩证的过程。
文章来源: blog.csdn.net,作者:irrationality,版权归原作者所有,如需转载,请联系作者。
原文链接:blog.csdn.net/weixin_54227557/article/details/120683966
【版权声明】本文为华为云社区用户转载文章,如果您发现本社区中有涉嫌抄袭的内容,欢迎发送邮件进行举报,并提供相关证据,一经查实,本社区将立刻删除涉嫌侵权内容,举报邮箱:
cloudbbs@huaweicloud.com
- 点赞
- 收藏
- 关注作者
评论(0)