数学知识(二)学习笔记
【摘要】
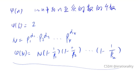
欧拉函数
1~n中与n互质的数的个数
如何在O(n)的时间内求出每个数的欧拉函数?
首先,注意欧拉函数
与质因子出现过的次数没有关系,只要出现过一次,就要*(1-1/t)
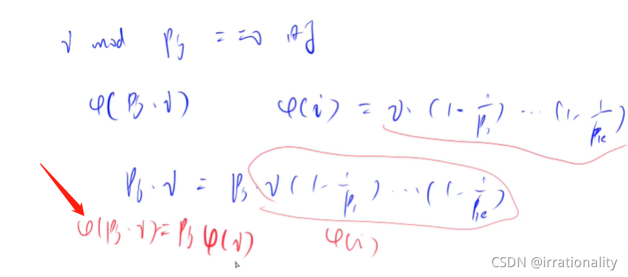
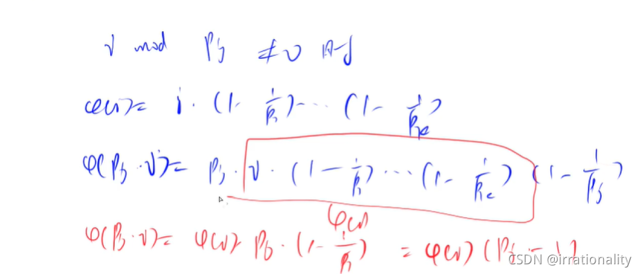
讨论如下的两种对立情况 ,那么我们可以得到两种递推关系式
另:...
欧拉函数
1~n中与n互质的数的个数
如何在O(n)的时间内求出每个数的欧拉函数?
首先,注意欧拉函数
与质因子出现过的次数没有关系,只要出现过一次,就要*(1-1/t)
讨论如下的两种对立情况 ,那么我们可以得到两种递推关系式
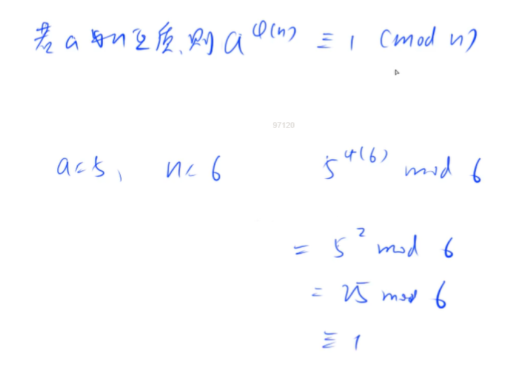
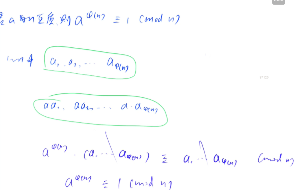
另:欧拉定理
因此得到简单证明 。
欧拉定理的简单推论:费马定理
详细介绍可看《离散数学》《算法导论》
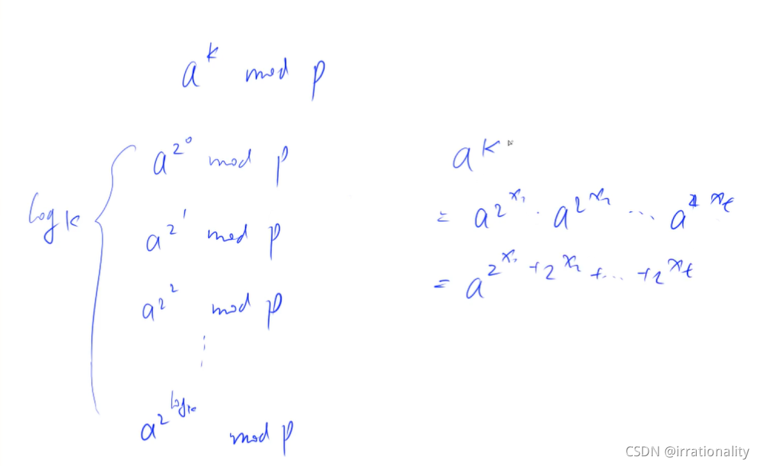
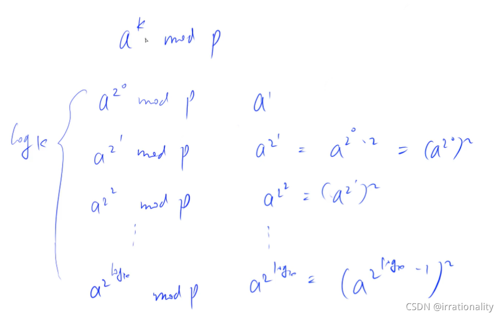
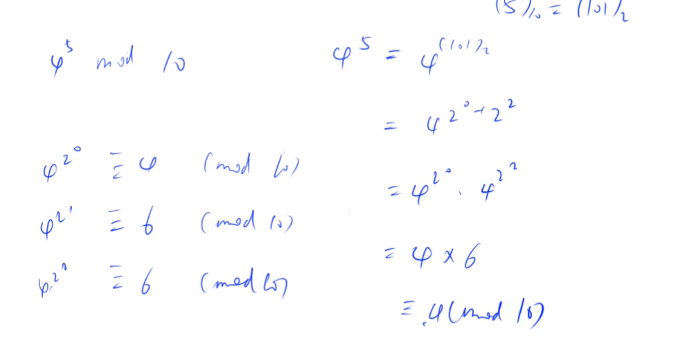
‘快速幂:这个又要看离散数学了,非常有意思,我利用暑假研究读了一下’
![]()
乘法逆元
本质上还是一个快速幂
![]()
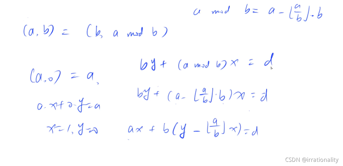
裴蜀定理,非常简单,a和b能够凑出来的数,一定是a,b的最大公约数的倍数!
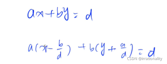
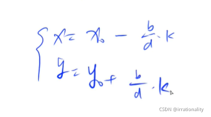
扩展欧几里得算法
上面方程有解的充分必要条件
中国剩余定理
文章来源: blog.csdn.net,作者:irrationality,版权归原作者所有,如需转载,请联系作者。
原文链接:blog.csdn.net/weixin_54227557/article/details/120772148
【版权声明】本文为华为云社区用户转载文章,如果您发现本社区中有涉嫌抄袭的内容,欢迎发送邮件进行举报,并提供相关证据,一经查实,本社区将立刻删除涉嫌侵权内容,举报邮箱:
cloudbbs@huaweicloud.com
- 点赞
- 收藏
- 关注作者





















评论(0)