数学知识(三)学习笔记
【摘要】
高斯消元
然后利用第二行首个变成一,把之后(注意不要消之前的)的所有消成0
然后又倒回来消元
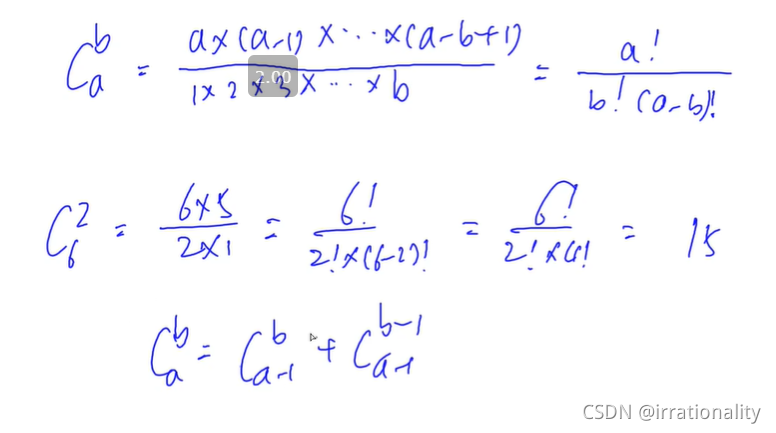
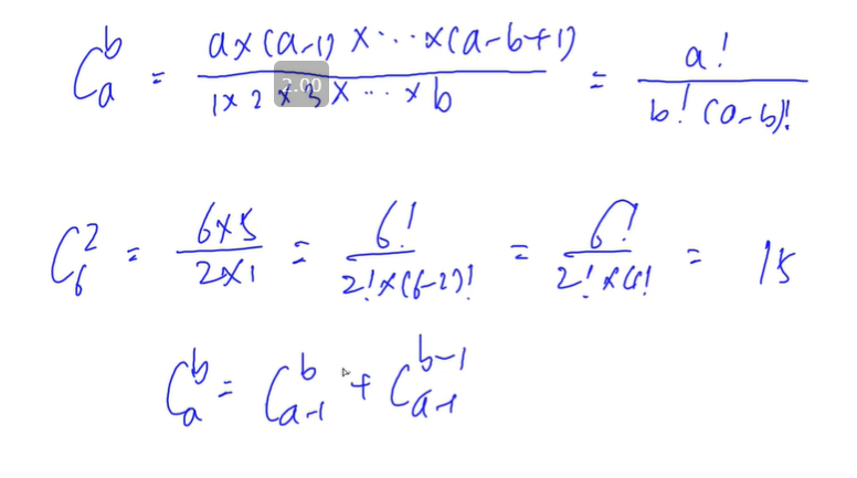
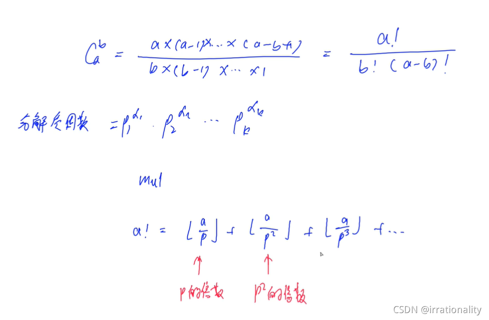
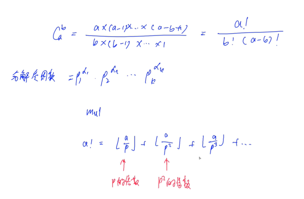
组合数
&nb...
高斯消元







然后利用第二行首个变成一,把之后(注意不要消之前的)的所有消成0
然后又倒回来消元
组合数
![]()
利用阶乘和快速幂求组合数
![]()
o(2)优化和o(3)优化,可以略微加速
阶乘素数筛法
文章来源: blog.csdn.net,作者:irrationality,版权归原作者所有,如需转载,请联系作者。
原文链接:blog.csdn.net/weixin_54227557/article/details/120802208
【版权声明】本文为华为云社区用户转载文章,如果您发现本社区中有涉嫌抄袭的内容,欢迎发送邮件进行举报,并提供相关证据,一经查实,本社区将立刻删除涉嫌侵权内容,举报邮箱:
cloudbbs@huaweicloud.com
- 点赞
- 收藏
- 关注作者









评论(0)