数学知识(四)学习笔记
【摘要】
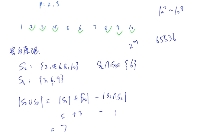
容斥原理
从实际意义出发,去理解容斥原理
容斥原理来算2,3的倍数一共多少个数,这就很轻松了。
先手可以拿成相同,那么就可以了
于是就有了Nim游戏
SG的简单求解&n...

容斥原理


从实际意义出发,去理解容斥原理


容斥原理来算2,3的倍数一共多少个数,这就很轻松了。

先手可以拿成相同,那么就可以了



于是就有了Nim游戏


SG的简单求解
文章来源: blog.csdn.net,作者:irrationality,版权归原作者所有,如需转载,请联系作者。
原文链接:blog.csdn.net/weixin_54227557/article/details/120808459
【版权声明】本文为华为云社区用户转载文章,如果您发现本社区中有涉嫌抄袭的内容,欢迎发送邮件进行举报,并提供相关证据,一经查实,本社区将立刻删除涉嫌侵权内容,举报邮箱:
cloudbbs@huaweicloud.com
- 点赞
- 收藏
- 关注作者
评论(0)