数学知识(习题课)
【摘要】
综合题,串联了各种知识
注意c++里面求正余数的办法,要加上一个a1
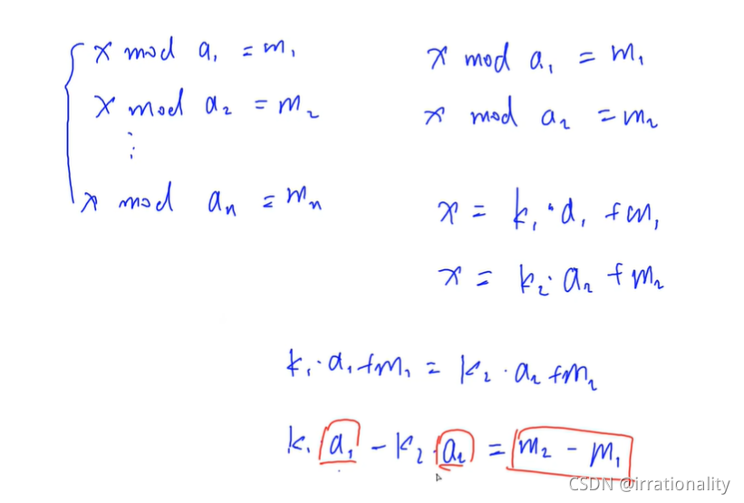
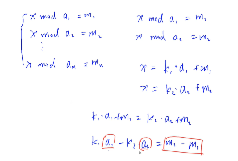
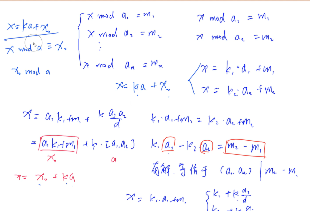
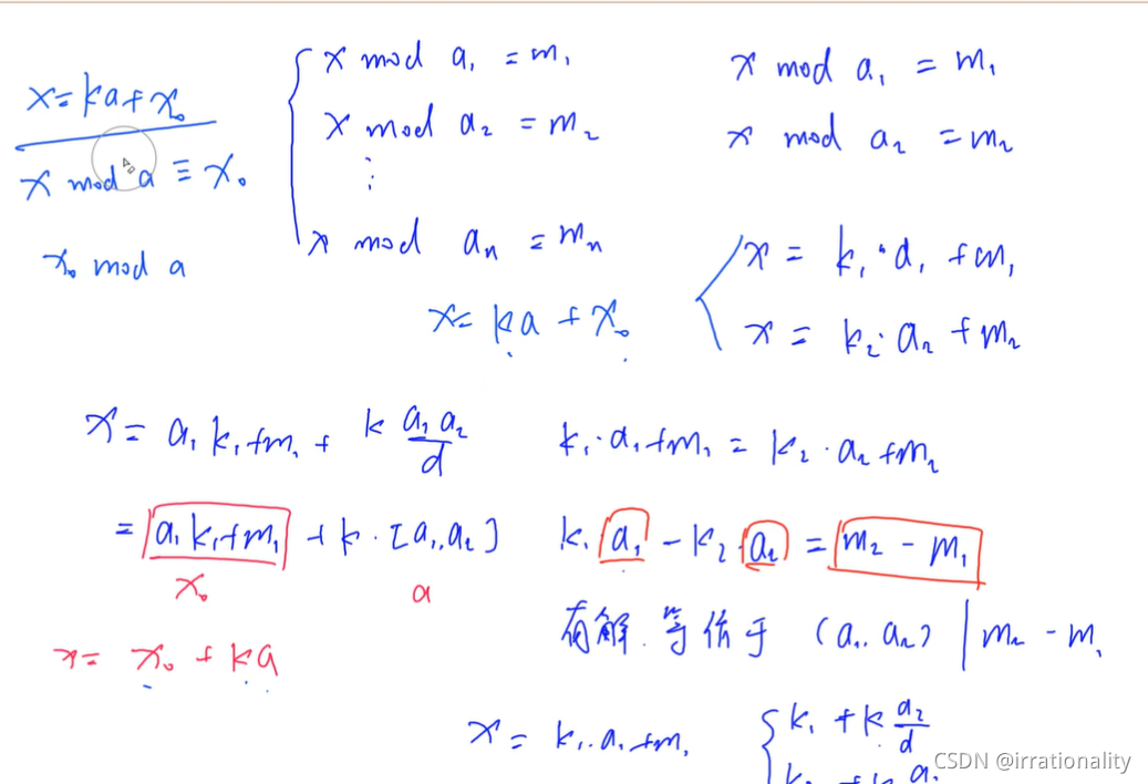
扩展exgcd的算法,求解同余方程组


综合题,串联了各种知识
![]()
注意c++里面求正余数的办法,要加上一个a1


扩展exgcd的算法,求解同余方程组
文章来源: blog.csdn.net,作者:irrationality,版权归原作者所有,如需转载,请联系作者。
原文链接:blog.csdn.net/weixin_54227557/article/details/120801527
【版权声明】本文为华为云社区用户转载文章,如果您发现本社区中有涉嫌抄袭的内容,欢迎发送邮件进行举报,并提供相关证据,一经查实,本社区将立刻删除涉嫌侵权内容,举报邮箱:
cloudbbs@huaweicloud.com
- 点赞
- 收藏
- 关注作者
评论(0)