复变函数与积分变换(三)学习笔记[复积分,柯西积分公式与高阶导公式]
【摘要】
1)复变量函数z关于两定点之间的曲线积分.这一个函数对于连接两定点之间的曲线积分与选取的曲线形状是没有关系的. 2)函数关于两定点之间的曲线积分与所选取的曲线有关系.
...










1)复变量函数z关于两定点之间的曲线积分.这一个函数对于连接两定点之间的曲线积分与选取的曲线形状是没有关系的.
2)函数关于两定点之间的曲线积分与所选取的曲线有关系.




反过来应用,往往也是非常有效的。


在圆心处的函数值,等于在圆周上积分的算术平均值。


最大模原理有两个推论,推论一可以直接由最大模原理得到,推论二要利用在闭包上必然可以达到最大值,同时在D内又达不到,只能在边界上达到了。


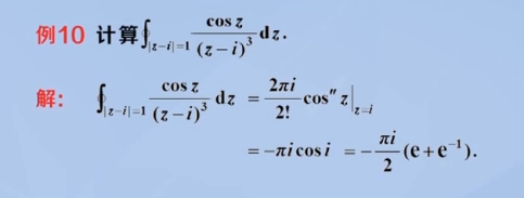
注意此处是对z求导,和kesai没有关系。



这个柯西不等式的放缩就很有意思。
|z-z0|放缩成R1,同时f(z)的模放缩成M,曲线积分的数值上限可以定位成被积函数上限乘以弧长。
(柯西不等式套用n=1)
文章来源: blog.csdn.net,作者:irrationality,版权归原作者所有,如需转载,请联系作者。
原文链接:blog.csdn.net/weixin_54227557/article/details/121147625
【版权声明】本文为华为云社区用户转载文章,如果您发现本社区中有涉嫌抄袭的内容,欢迎发送邮件进行举报,并提供相关证据,一经查实,本社区将立刻删除涉嫌侵权内容,举报邮箱:
cloudbbs@huaweicloud.com
- 点赞
- 收藏
- 关注作者
评论(0)