电路(七)一阶电路和二阶电路的时域分析

说白了,这个动态电路有过渡过程,电阻电路没有过渡过程,可以跳变。当然动态电路也可以有跳变现象。


主要是du/dt 太大了,所以会产生过电流现象

动态电路方程也是电路中的一个关键点!


这个时候,直接用电压源替代电容,不得不说,要是不学,自己是很难想到这样的方法的。
注意非突变量
突变量 

三节法求电流,非常给力。

零输入响应的定义

数学不好的话就不行奥



时间常数τ也是次切距

上面这个题,是个板子题,值得一记

R是换路后除了C以外的Req

就是KVL然后把I换掉而已。



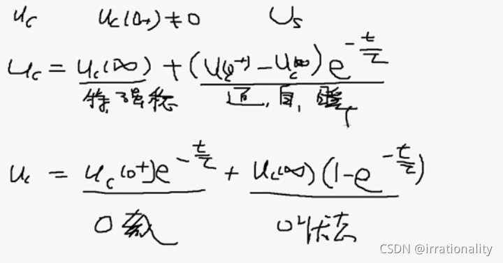
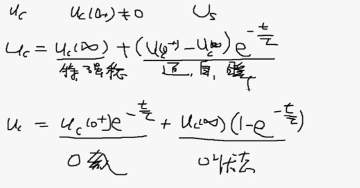
零状态响应,自由分量,强制分量。


实际上就是一个拆分,零状态响应和零输入响应。

美丽的叠加原理,是不是像波的叠加呢?
零输入响应:没有外接电源,一定是非零状态;
零状态响应:最开始是0,然后有外界激励

注意看上面这个,零输入,最开始就是6A的0-时刻电流,
零状态就是无穷处的。
零输入,零状态,实际:考虑两个合成(强迫、稳定 暂态、自由)




还是那句老话,在考虑Req的时候,电压源短路,电流源开路。






相当于以0.2为新的计时起点



这个公式是怎么推到出来的呢?



单位冲激电流加到电容,单位冲击电压加到电感。
常数值的跳变又不属于冲激函数!




可以用同一种方法证明Uc不是冲击

这就相当于是利用单位冲激可以一瞬间把他冲上去。



倘若为阶跃函数,然后推翻了

冲激函数也用高阶无穷大推翻了 。
冲激函数积分是常数,冲激函数的导数积分是无穷




它将定积分理解为冲激函数的合成






文章来源: blog.csdn.net,作者:irrationality,版权归原作者所有,如需转载,请联系作者。
原文链接:blog.csdn.net/weixin_54227557/article/details/121167665
- 点赞
- 收藏
- 关注作者
评论(0)