【 Notes 】ALGORITHMS FOR TDOA-based SOURCE LOCALIZATION
Measurement Model in my blog:Measurement Model and Principles for TDOA-based Location
Nonlinear Method:
NLS
Similarly, with the use of Equations 2.13 – 2.15 , the NLS cost function for TDOA - based positioning, denoted by
, is

and the NLS position estimate is

ML
Assuming that the error distribution is known, the ML approach maximizes the PDFs of TDOA measurements to obtain the source loca-tion. When the disturbances in the measurements are zero - mean Gaussian distributed, it is shown in the following that maximization of Equations 2.19 will correspond to a weighted version of the NLS scheme.
Similarly, incorporating Equation 2.19 , the ML cost function for TDOA - based positioning, denoted by
, is
![]()
and the ML position estimate is

Linear Method
LLS
In a similar manner, we first rewrite Equation 2.13 with the use of Equation 2.14 as

Let

be the modified noise component and introduce a dummy variable R 1 of the form

Squaring both sides of Equation 2.95 and employing Equations 2.96 and 2.97 , we get

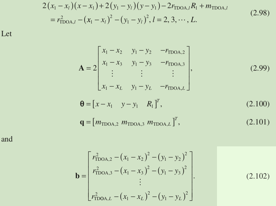
The matrix form for Equation 2.98 is then identical to Equation 2.82 and the LLS estimate of θ is also given as Equation 2.87 , provided that the noises in q are sufficiently small such that
can be ignored. Note that in order to solve Equation 2.98 in a unique manner, the minimum number of receivers is now L = 4 because of the introduction of the additional variable of R 1 . Finally, the LLS posi tion estimate is obtained from the first and second entries of
; that is,

It is noteworthy that if Equation 2.98 is divided by
, we yield

Based on Equation 2.104 , we can obtain a variant of LLS – TDOA positioning algorithm by straightforwardly following the development in Equations 2.89 – 2.94 . Nevertheless, the corresponding algorithm analysis will be extremely diffi cult, if not impossible, because most of the terms in Equation 2.104 are inversely proportional to the random variables of { r TDOA, l }.
WLLS
Similarly, the WLLS version for Equation 2.95 is also computed using Equation 2.122 , where the weighting matrix is now

while A , θ , and b are defined as in Equations 2.99 , 2.100 , and 2.102 , respectively. As the estimate of R 1 is not available at the beginning, we first use the LLS estimator to obtain
. The WLLS position estimate is given by Equation 2.103 . The two - step WLS estimator for TDOA - based positioning can be derived by following Equations 2.123 – 2.133 [20] .
文章来源: reborn.blog.csdn.net,作者:李锐博恩,版权归原作者所有,如需转载,请联系作者。
原文链接:reborn.blog.csdn.net/article/details/84262067
- 点赞
- 收藏
- 关注作者
评论(0)