HDLBits 系列(24)进入FSM(有限状态机)的世界入口
目录
Fsm1
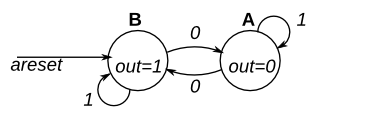
This exercise is the same as fsm1s, but using asynchronous reset.

Module Declaration
-
module top_module(
-
input clk,
-
input areset, // Asynchronous reset to state B
-
input in,
-
output out);
这个题目给出了一个最简单的摩尔型的有限状态机,仅仅有两个状态,让你描述这个有限状态机:
采用三段式,给出设计如下:
-
module top_module(
-
input clk,
-
input areset, // Asynchronous reset to state B
-
input in,
-
output out);//
-
-
parameter A=0, B=1;
-
reg state, next_state;
-
-
always @(posedge clk, posedge areset) begin // This is a sequential always block
-
// State flip-flops with asynchronous reset
-
if(areset) state <= B;
-
else state <= next_state;
-
end
-
-
always @(*) begin // This is a combinational always block
-
// State transition logic
-
case(state)
-
B: begin
-
if(in == 1) next_state = B;
-
else next_state = A;
-
end
-
A: begin
-
if(in == 1) next_state = A;
-
else next_state = B;
-
end
-
endcase
-
end
-
-
-
-
// Output logic
-
// assign out = (state == ...);
-
assign out = (state == A)?0:1;
-
-
endmodule

Fsm1s
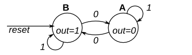
This exercise is the same as fsm1, but using synchronous reset.

Module Declaration
-
// Note the Verilog-1995 module declaration syntax here:
-
module top_module(clk, reset, in, out);
-
input clk;
-
input reset; // Synchronous reset to state B
-
input in;
-
output out;
这个题目和上一句几乎一模一样,就是复位方式变成了同步复位;
可恨的是,题目还给了模板提示,提示用的是一段式,并且是Verilog1995,天了噜,这种风格,告辞了,三段式继续走起:
-
module top_module(
-
input clk,
-
input reset, // Asynchronous reset to state B
-
input in,
-
output out);//
-
-
parameter A=0, B=1;
-
reg state, next_state;
-
-
always @(posedge clk) begin // This is a sequential always block
-
// State flip-flops with asynchronous reset
-
if(reset) state <= B;
-
else state <= next_state;
-
end
-
-
always @(*) begin // This is a combinational always block
-
// State transition logic
-
case(state)
-
B: begin
-
if(in == 1) next_state = B;
-
else next_state = A;
-
end
-
A: begin
-
if(in == 1) next_state = A;
-
else next_state = B;
-
end
-
endcase
-
end
-
-
-
-
// Output logic
-
// assign out = (state == ...);
-
assign out = (state == A)?0:1;
-
-
endmodule
Fsm2
This exercise is the same as fsm2s, but using asynchronous reset.

Module Declaration
-
module top_module(
-
input clk,
-
input areset, // Asynchronous reset to OFF
-
input j,
-
input k,
-
output out);
-
module top_module(
-
input clk,
-
input areset, // Asynchronous reset to OFF
-
input j,
-
input k,
-
output out); //
-
-
parameter OFF=0, ON=1;
-
reg state, next_state;
-
-
always @(*) begin
-
// State transition logic
-
case(state)
-
OFF: begin
-
if(j == 1) next_state = ON;
-
else next_state = OFF;
-
end
-
ON: begin
-
if(k == 1) next_state = OFF;
-
else next_state = ON;
-
end
-
-
endcase
-
end
-
-
always @(posedge clk, posedge areset) begin
-
// State flip-flops with asynchronous reset
-
if(areset) state <= OFF;
-
else state <= next_state;
-
end
-
-
// Output logic
-
// assign out = (state == ...);
-
assign out = (state == ON)? 1 : 0;
-
-
endmodule
Fsm3comb
Implement only the state transition logic and output logic (the combinational logic portion) for this state machine. Given the current state (state), compute the next_state and output (out) based on the state transition table.
| State | Next state | Output | |
|---|---|---|---|
| in=0 | in=1 | ||
| A | A | B | 0 |
| B | C | B | 0 |
| C | A | D | 0 |
| D | C | B | 1 |
Module Declaration
-
module top_module(
-
input in,
-
input [1:0] state,
-
output [1:0] next_state,
-
output out);
本题和写全状态机没什么区别,只不过少了一个always时序逻辑块,当前状态由顶层模块给出,作为输入,下一个状态作为输出。
-
module top_module(
-
input in,
-
input [1:0] state,
-
output [1:0] next_state,
-
output out); //
-
-
parameter A=0, B=1, C=2, D=3;
-
-
// State transition logic: next_state = f(state, in)
-
always@(*) begin
-
case(state)
-
A: begin
-
if(in == 0) next_state = A;
-
else next_state = B;
-
end
-
B: begin
-
if(in == 0) next_state = C;
-
else next_state = B;
-
end
-
C: begin
-
if(in == 0) next_state = A;
-
else next_state = D;
-
end
-
D: begin
-
if(in == 0) next_state = C;
-
else next_state = B;
-
end
-
endcase
-
end
-
-
// Output logic: out = f(state) for a Moore state machine
-
assign out = (state == D) ? 1:0;
-
-
endmodule
文章来源: reborn.blog.csdn.net,作者:李锐博恩,版权归原作者所有,如需转载,请联系作者。
原文链接:reborn.blog.csdn.net/article/details/103297473
- 点赞
- 收藏
- 关注作者
评论(0)