大幅涨点!孙剑团队提出新激活层ACON和轻量级网络TFNet
知乎原文:
https://zhuanlan.zhihu.com/p/363274457
论文链接:
https://arxiv.org/pdf/2009.04759.pdf
代码:
https://github.com/nmaac/acon
一、ReLU和Swish的关系
前面提到,NAS在现代激活函数方面取得了成功,NAS搜索到的Swish已经在EfficientNet等许多SOTA模型中已经成为默认配置,但如何解释Swish背后的原理呢?本文的一个目标是提出一个新的视角,去解释这个搜索结果背后的机制,并研究更有效的激活功能。下面会详细讲解如何把Swish理解为ReLU的一种平滑近似:
对于一个最大函数 , 我们可以通过一个简单而通用的近似公式来获取他的平滑近似:
这里引入了一个 ,它控制着 的平滑程度:
当 时, (非线性)
当 时, 算术平均 (线性)
从下面的示例图可以更形象的看出 的作用:
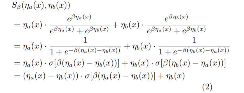
对于公式(1),我们仅考虑n=2的情况,可以推导成下面用sigmoid来表示的形式,其中用 分别代表这两项:
我们发现上面的形式看起来仍然很复杂,但当我们把 代入合适的值,有意思的事情就发生了:
我们发现,当 时, 恰好是 ReLU 的表达式,而 又恰好是 Swish 的表达式。于是,我们可以把 Swish 解释为 ReLU 的这样一种平滑近似。
二、ReLU的一般式和Swish的一般式的关系
前面给出了一种新的视角解释了 ReLU 和 Swish 的关系,下面本文对 ReLU 的一般式 Maxout 做出同样的平滑近似,便得到了一簇新的激活函数,即 ACON 系列激活函数。其中 ReLU 是 Maxout 的一种特殊形式,Swish 是 ACON 的一种特殊形式。
我们把 代入不同的值,得到上表中的不同形式,我们着重分析ACON-C,计算它的导数:
看起来会新增加额外的参数
, 我们画出下图来更直观的理解它。可以发现在一阶导中,
控制着其渐进上下界的速度,而
则控制着上下界的值,这一点是Swish所欠缺的,后面的实验也会证明
的重要性。
验证ACON-C中p1,p2的涨点性能,即使在大模型Res152上也有1.1的涨点
三、ACON 的更多特例 ACON-FReLU
前面对Maxout中
的不同取值做了分析。最近专门针对视觉任务的新激活函数 FReLU (Funnel Activation for Visual Recognition) 也是Maxout的一种特例,本文设
后,得到了 ACON-FReLU,并且基于此模块,设计了一个仅由 Conv1x1 和 ACON-FReLU 组成的轻量级block:
以此 block 为基础搭建了 Toy Funnel Network (TFNet),来验证 ACON-FReLU 的有效性:
和同样不含SE模块的轻量级网络相比可以看到明显优势
四、Meta-ACON
前面对 的不同变体着重做了分析,但前面提到 也同样重要因为其控制了激活程度。然而,从实验结果来看,在 Swish 的原始文章中也提到, 作用不大,即使 固定为1(Swish-1),也能取得差别不大的性能。
这与我们前面对 的分析相违背,于是,本文对 用非常简单直接的小网络结构去生成,即显式地学习激活程度而不仅仅是把 作为一个参数,这样就解决了 效果不大的问题:
下面在不同任务上展示此方法的有效性,可以看到,Meta-ACON 取得了相比于 SENet 几乎两倍的涨点:
在大模型和小模型都能有非常显著的涨点,且随着模型变大,涨点效果没有明显减弱
从学习曲线可以看到ACON-C相比于Swish的优势在于后期仍能有提升,Meta-ACON则效果跟为显著
在其他任务上的泛化性能
更多细节请参考原文和代码。
Illustrastion by Oleg Shcherba from Icons8
文章来源: blog.csdn.net,作者:网奇,版权归原作者所有,如需转载,请联系作者。
原文链接:blog.csdn.net/jacke121/article/details/116173387
- 点赞
- 收藏
- 关注作者













评论(0)