相似度计算方法:余弦相似度
【摘要】 相似度计算方法:余弦相似度
相似度计算方法:余弦相似度

基于用户的协同过滤算法主要包括两个步骤。
(1) 找到和目标用户兴趣相似的用户集合。
(2) 找到这个集合中的用户喜欢的,且目标用户没有听说过的物品推荐给目标用户。
例如现在有A、B、C、D四个用户,分别对a、b、c、d、e五个物品表达了自己喜好程度(通过评分高低来表现自己的偏好程度高低),现在要为C用户推荐物品:
构建用户物品评分表
相似度计算
计算用户相似度的方法很多,这里选用余弦相似度
余弦相似度原理
用向量空间中的两个向量夹角的余弦值作为衡量两个个体间差异大小的度量,值越接近1,就说明夹角角度越接近0°,也就是两个向量越相似,就叫做余弦相似
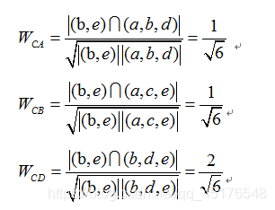
给定用户u和用户v,令N(u)表示用户u曾经有过正反馈的物品集合,令N(v)为用户v曾经有过正反馈的物品集合。
可以看出D用户与C用户相似度最大。
3、计算推荐结果
用户C评分的物品是b和e,下面计算用户C对物品a,c,d的偏好程度:
参考代码:
spyder实验结果:
【声明】本内容来自华为云开发者社区博主,不代表华为云及华为云开发者社区的观点和立场。转载时必须标注文章的来源(华为云社区)、文章链接、文章作者等基本信息,否则作者和本社区有权追究责任。如果您发现本社区中有涉嫌抄袭的内容,欢迎发送邮件进行举报,并提供相关证据,一经查实,本社区将立刻删除涉嫌侵权内容,举报邮箱:
cloudbbs@huaweicloud.com
- 点赞
- 收藏
- 关注作者




评论(0)