无监督训练用堆叠自编码器是否落伍?ML博士对比了8个自编码器
【摘要】 柏林工业大学深度学习方向博士生 Tilman Krokotsch 在多项任务中对比了 8 种自编码器的性能。深度学习中的自编码器。图源:https://debuggercafe.com/autoencoders-in-deep-learning/目前,很多研究者仍在使用堆叠自编码器进行无监督预训练。柏林工业大学深度学习方向博士生 Tilman Krokotsch 对此感到疑惑:堆叠自编码器难...
柏林工业大学深度学习方向博士生 Tilman Krokotsch 在多项任务中对比了 8 种自编码器的性能。

-
浅层自编码器
-
深度自编码器(原版 AE)
-
堆叠自编码器
-
稀疏自编码器
-
去噪自编码器
-
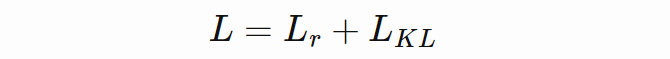
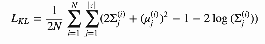
变分自编码器(VAE)
-
Beta 变分自编码器(beta-VAE)
-
向量量化变分自编码器(vq-VAE)
-
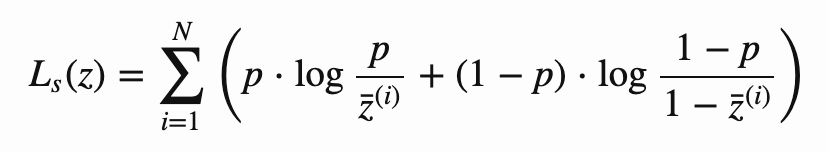
重建质量
-
对来自潜在空间的样本的解码质量
-
潜在空间插值质量
-
利用 UMAP 可视化得到的潜在空间结构
-
利用重建误差的异常检测 ROC 曲线
-
拟合自编码器特征的线性层的分类准确率















【声明】本内容来自华为云开发者社区博主,不代表华为云及华为云开发者社区的观点和立场。转载时必须标注文章的来源(华为云社区)、文章链接、文章作者等基本信息,否则作者和本社区有权追究责任。如果您发现本社区中有涉嫌抄袭的内容,欢迎发送邮件进行举报,并提供相关证据,一经查实,本社区将立刻删除涉嫌侵权内容,举报邮箱:
cloudbbs@huaweicloud.com
- 点赞
- 收藏
- 关注作者
评论(0)