🍊作者简介:秃头小苏,致力于用最通俗的语言描述问题
🍊往期回顾:凸优化理论基础1–仿射集 凸优化理论基础2——凸集和锥
🍊近期目标:拥有5000粉丝
🍊支持小苏:点赞👍🏼、收藏⭐、留言📩
@[toc]
凸优化理论基础3——超平面和半空间
之前我们已经介绍了仿射集、凸集、凸锥等概念,这节将来介绍超平面和半空间。🌵🌵🌵
超平面
==定义 == 超平面是具有下面形式的集合
{x∣aTx=b} ,a∈Rn,a=0且b∈R
上述定义还可以表示成以下形式:
{x∣aT(x−x0)=0}
其中
x0是超平面上的任意一点。不清楚观此视频🍜🍜🍜这里来看看超平面的几何解释,如下:

半空间
==定义:== 半空间是具有下列形式的集合:
{x∣aTx≤b},a=0
一个超平面将
Rn 划分为两个半空间。对于
R2来说,由
aTx≥b决定的半空间(无阴影部分)是向
a扩展的半空间;由
aTx≤b决定的半空间(有阴影部分)是向
−a扩展的半空间。向量
a 是这个半空间向外的法向量。

超平面和半空间是凸集
首先直接给出以下结论:
- 超平面是仿射集
- 超平面是凸集
- 半空间不是仿射集
- 半空间是凸集
这里我想来证明证明==超平面是凸集==和==半空间是凸集==这两个结论【证明凸集及后面证明凸函数比较重要】
- ==证明超平面是凸集==

- ==证明半空间是凸集==

球和椭球
球的定义给出了三种方式,如下:
-
B(xc,r)={x∣ ∣∣x−xc∣∣2}≤r 。其中
r>0,∣∣⋅∣∣2 表示二范数,向量
xc是球心,标量
r为半径。==
B(xc,r) 由距离不超过
r 的所有点组成== 🍚🍚🍚
-
B(xc,r)={x∣ (x−xc)T(x−xc)}≤r2
-
B(xc,r)={xc+ru ∣ ∣∣u∣∣2≤1}
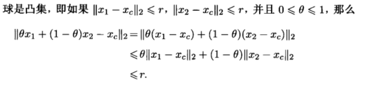
球也是凸集,证明如下:【证明用到了二范数的齐次性及三角不等式】

椭球也是凸集,其定义如下:
ε={x∣ (x−xc)TP−1(x−xc)≤1}
其中P是对称正定矩阵。
关于此部分视频链接:https://www.bilibili.com/video/BV1xp4y1C7z1/?spm_id_from=autoNext🍁🍁🍁
范数球和范数锥
上面的球是针对二范数而言的,这里的范数球和范数锥类似于球的定义,不过不再限定二范数。
范数球定义:
C={x∣ ∣∣x−xc∣∣≤r}
范数锥定义:
C={(x,t)∣ ∣∣x∣∣≤t}
关于此部分视频链接:https://www.bilibili.com/video/BV1oA411t7L4/?spm_id_from=autoNext🍁🍁🍁
多面体
多面体被定义为有限个线性等式和不等式的解集,如下:
P={x∣ ajTx≤bj ,j=1 ,⋯ ,m , cjT=dj , j=1 ,⋯, p}
由定义可以看出,多面体是有限个半空间和超平面的交集。仿射集(如子空间、超平面、直线)、射线、线段和半空间都是多面体,且多面体是凸集。下图中的多面体由五个半空间的交集构成:

单纯形
单纯形是一类重要的多面体。设
k+1个点
v0,⋯,vk∈Rn仿射独立,即
v1−v0,⋯,vk−v0线性独立,那么这些点决定了一个单纯形,如下:
C=conv{v0,⋯,vk}={θ0v0+⋯+θkvk ∣ θ⪰0, 1Tθ=1}
其中1表示所有分量均为一的向量。这个单纯形的仿射维数为k,因此也称为
Rn 空间的k维单纯形。
下面给出一些常见的单纯形:
- 一维单纯形是一条线段
- 二维单纯形是一个三角形
- 三维单纯形是一个四面体
半正定锥
| 数学符号 |
Sn |
S+n |
S++n |
| 中文名称 |
对称矩阵 |
对称半正定矩阵 |
对称正定矩阵 |
| 数学表达式 |
Sn={X∈Rn×n∥ X=XT} |
S+n={X∈Sn∥ X⪰0} |
S+n={X∈Sn∥ X≻0} |
| 是否为凸集 |
✅ |
✅ |
✅ |
| 是否为凸锥 |
✅ |
✅ |
❎ |
此部分参考视频:https://www.bilibili.com/video/BV1Gt4y127oW/?spm_id_from=autoNext🍁🍁🍁
如若文章对你有所帮助,那就🛴🛴🛴
咻咻咻咻~~duang~~点个赞呗
评论(0)