【数字图像】数字图像直方图规定化处理的奇妙之旅

举报
SarPro 发表于 2024/02/06 12:34:23 2024/02/06
【摘要】 引领读者进入数字世界的奇妙之旅,深度探讨了数字图像直方图规定化处理的视觉魔法。通过解析直方图规定化算法的原理和应用,揭示了在数字图像处理领域中的潜在奇迹。文章首先阐释了数字图像直方图的基本概念,为读者建立了一个清晰的理解基础。接着,详细剖析了直方图规定化处理的算法,突显了其在调整图像对比度和亮度方面的非凡效果。通过实例展示,读者将深入了解直方图规定化是如何通过调整图像的亮度分布,以及如何在不损失图

1.gif

7dd2b7f171704327b7d8987c49da4628.gif

🌈个人主页:SarPro
🔥 系列专栏:《数字图像处理 | 奇遇记》
⏰诗赋清音:星河耀眼情何限,壮志豁达励人魂。 临风高歌激长夜,心向征程任风留。

⛳️1. 初识数字图像处理

数字图像处理是一门涉及获取、处理、分析和解释数字图像的科学与工程领域。这一领域的发展源于数字计算机技术的进步,使得对图像进行复杂的数学和计算处理变得可能。以下是数字图像处理技术的主要特征和关键概念:

  1. 图像获取:

    • 数字图像处理的起点是通过传感器或其他设备获取的图像。这些图像可以来自各种源,包括摄像头、卫星、医学仪器等。
    • 数字图像通常由像素组成,每个像素代表图像中的一个小区域,具有特定的亮度值或颜色值。
  2. 数字图像的表示:

    • 图像在计算机中以数字形式表示,其中每个像素的亮度值或颜色值通过数字进行编码。灰度图像使用单一通道表示,而彩色图像则包含多个通道,如红、绿、蓝(RGB)。
    • 图像表示的质量和分辨率对后续处理步骤至关重要。
  3. 基本图像处理操作:

    • 滤波与增强: 应用各种滤波器来平滑图像、去除噪声或突出图像中的特定特征。
    • 直方图均衡化: 调整图像的对比度,以使图像中的不同亮度级别更均匀分布。
    • 缩放与旋转: 调整图像的大小和方向,以适应特定的需求或算法。
  4. 图像分析与特征提取:

    • 边缘检测: 识别图像中物体之间的边界。
    • 目标识别: 识别并定位图像中的特定对象。
    • 特征提取: 提取图像中的关键特征,如纹理、形状和颜色信息。
  5. 图像处理应用领域:

    • 医学影像处理: 用于诊断、治疗规划和手术导航。
    • 计算机视觉: 用于实现机器视觉系统,如人脸识别、目标跟踪等。
    • 遥感图像处理: 用于分析地球观测卫星传感器获取的图像。
  6. 数字图像处理的挑战与发展趋势:

    • 实时处理: 处理大规模高分辨率图像的实时需求。
    • 深度学习: 使用深度学习方法进行更复杂的图像分析任务。
    • 图像安全性: 开发用于图像水印、加密和隐私保护的技术。

数字图像处理是图像的魔法,将普通像素变成可视艺术品。数字图像处理就像是一个让我们在像素的海洋中畅游的冒险旅程,让我们从图像中发现不可思议的宝藏,同时也让我们变身为图像的掌控者,用数学的魔法为图像创造新的奇迹。所以,让我们一起跟随这位数字图像处理的魔法师,用笑容和好奇心,开启一场图像之旅吧!


⛳️2. 数字图像直方图规定化处理

🌍一、 研究目的

  1. 算法与方法掌握: 确保研究者充分掌握数字图像直方图规定化处理的关键算法和方法。通过系统学习和实践,研究者将能够理解直方图规定化处理的核心原理,并掌握其在数字图像处理中的基本操作流程。

  2. 原理理解: 使研究者深入理解数字图像直方图规定化处理的算法原理。通过详细解析相关理论,研究者将能够建立对直方图规定化处理在数字图像处理中的理论基础的全面认识,为进一步的实践和分析奠定基础。

  3. 技术熟练运用:培养研究者对数字图像直方图规定化处理技术的熟练应用能力。通过反复实践和实际场景的应用,研究者将掌握并灵活运用直方图规定化处理技术,使其具备在多种场景下解决实际问题的操作技能。

  4. 影响分析: 通过深入分析,揭示直方图规定化处理对数字图像的影响。研究者将探讨处理后图像的特征变化,并评估质量的提升程度,以全面了解直方图规定化处理在图像处理中的实际效果,为进一步优化和改进提供有力的理论支持


🌍二、研究环境

  1. MATLAB R2022a的安装:

    • 背景: MATLAB是一种高级的数值计算软件,广泛应用于工程、科学和其他领域。
    • 目的: 在研究中使用MATLAB进行数值计算、图像处理等操作,以支持实验和数据分析。
    • 操作: 详细描述安装MATLAB R2022a的步骤,包括获取安装文件、系统要求和安装过程中可能的注意事项。
  2. 环境配置用于数字图像实验:

    • 背景: 数字图像处理是现代科学研究中的重要组成部分,需要特定的环境配置以确保实验的成功运行。
    • 目的: 为了支持数字图像实验,需要配置MATLAB环境,包括添加必要的工具箱、设置路径等。
    • 操作: 详细描述配置环境的步骤,包括添加图像处理工具箱、检查依赖项,并确保MATLAB环境能够正确识别和处理数字图像文件。

🌍三、实验原理与方法

直方图规定化是用于产生处理后有特殊直方图的图像方法。

令 Pr(r) 和 Pz(z) 分别为原始图像和期望图像的灰度概率密度函数。对原始图像和期望图像均作直方图均衡化处理,应有:

由于都是作直方图均衡化处理,所以处理后的原图像的灰度概率密度函数 Ps(S) 及理想图像的灰度概率密度函数 Pv(V) 是相等的。因此,可以用变换后的原始图像灰度级S代替上式中的V,即

利用此式可以从原始图像得到希望的图像灰度级。对离散图像,有

综上所述,数字图像的直方图规定化就是将直方图均衡化后的结果映射到期望的理想直方图上,使图像按人的意愿去变换。数字图像的直方图规定的算法如下:

    (一)将原始图像作直方图均衡化处理,求出原图像中每一个灰度级ri所对应的变换函数Si

    (二)对给定直方图作类似计算,得到理想图像中每一个灰度级 Zi 所对应的变换函数 Vi

    (三)找出 Vi ≈ Si 的点对,并映射到 Zi 。

    (四)求出 Pi(Zi)


🌍四、实验结果与分析

🌕4.1 直方图均衡化处理

对图像pout.tif进行直方图均衡化处理,实验结果如图1:

图1

分析:

图像显示了pout.tif的原始图像、均衡化后的图像和它们各自的直方图。由均衡化前后的图像看,处理后的图像更想清晰,视觉效果更好,直方图由处理前的集中区域拉伸到全部灰度级范围。


🌕4.2 直方图规定化处理

再进行直方图规定化处理,实验结果如图2:

图2

分析:

图中显示的是图像pout.tif原图像和经过直方图规定化处理的图像及其直方图。规定化后的图像比原图像更清晰,视觉效果更好。


🌍五、实验代码与思考

🌕5.1 实验代码

利用Matlab语言编写的数字图像处理的例程如下:

clc; % 清除命令行窗口的内容

% 直方图均衡化
I = imread('pout.tif'); % 读取图像文件,pout.tif为待处理的图像
J = histeq(I); % 对图像进行直方图均衡化

% 显示原图像
figure,imshow(I);
title('原图像');

% 显示原图像的灰度直方图
figure,imhist(I);
title('原图像的灰度直方图');

% 显示均衡化后的图像
figure,imhist(J);
title('均衡化图像的直方图');
figure,imshow(J);
title('均衡化图像');


% 直方图规定化
clc;

I = imread('tire.tif'); % 读取待处理的图像,tire.tif为待处理的图像
J = histeq(I,32); % 对图像进行直方图均衡化,设定输出直方图的灰度级数为32

[counts,x] = imhist(J); % 计算均衡化图像的直方图

Q = imread('pout.tif'); % 读取参考图像,pout.tif为参考图像

% 显示原图像
figure;
imshow(Q);
title('原图像');

% 显示原图像的直方图
figure;
imhist(Q);
title('原图像直方图');

M = histeq(Q,counts); % 对参考图像进行直方图规定化

% 显示规定化后的图像
figure;
imshow(M);
title('直方图规定化后的图像');

% 显示规定直方图
figure;
imhist(M);
title('规定直方图');

源码分析:

对于直方图均衡化部分的代码:

  • clc;:清除命令窗口中的内容,以确保输出结果的清晰度。
  • I=imread('pout.tif');:使用imread函数读取名为'pout.tif'的图像文件,并将其存储在变量I中。
  • J=histeq(I);:使用histeq函数对图像I进行直方图均衡化操作,并将结果存储在变量J中。
  • figure,imshow(I);:创建一个新的图形窗口,并在该窗口中显示原始图像I。
  • title('原图像');:为图像窗口添加标题,标题为"原图像"。
  • figure,imhist(I);:创建一个新的图形窗口,并在该窗口中显示原始图像I的灰度直方图。
  • title('原图像的灰度直方图');:为直方图窗口添加标题,标题为"原图像的灰度直方图"。
  • figure,imhist(J);:创建一个新的图形窗口,并在该窗口中显示经过直方图均衡化处理后的图像J的直方图。
  • title('均衡化图像的直方图');:为直方图窗口添加标题,标题为"均衡化图像的直方图"。
  • figure,imshow(J);:创建一个新的图形窗口,并在该窗口中显示经过直方图均衡化处理后的图像J。
  • title('均衡化图像');:为图像窗口添加标题,标题为"均衡化图像"。

对于直方图规定化部分的代码:

  • clc;:同样是清除命令窗口中的内容。
  • I=imread('tire.tif');:使用`imread函数读取名为'tire.tif'的图像文件,并将其存储在变量I`中。
  • J=histeq(I,32);:使用histeq函数对图像I进行直方图均衡化操作,并指定输出的灰度级数为32。将处理后的图像存储在变量J中。
  • [counts,x]=imhist(J);:使用imhist函数计算直方图J的灰度级计数和对应的灰度级值,并将计数存储在变量counts中,灰度级值存储在变量x中。
  • Q=imread('pout.tif');:使用imread函数读取名为'pout.tif'的图像文件,并将其存储在变量Q中。
  • figure; imshow(Q);:创建一个新的图形窗口,并在该窗口中显示原始图像Q。
  • title('原图像');:为图像窗口添加标题,标题为"原图像"。
  • figure; imhist(Q);:创建一个新的图形窗口,并在该窗口中显示原始图像Q的灰度直方图。
  • title('原图像直方图');:为直方图窗口添加标题,标题为"原图像直方图"。
  • M=histeq(Q,counts);:使用histeq函数将原始图像Q的直方图规定化为变量counts中定义的直方图,并将结果存储在变量M中。
  • figure; imshow(M);:创建一个新的图形窗口,并在该窗口中显示经过直方图规定化处理后的图像M。
  • title('直方图规定化后的图像');:为图像窗口添加标题,标题为"直方图规定化后的图像"。
  • figure; imhist(M);:创建一个新的图形窗口,并在该窗口中显示经过直方图规定化处理后的图像M的直方图。
  • title('规定直方图');:为直方图窗口添加标题,标题为"规定直方图"。

🌕5.2 实验思考

5.2.1 数字图像的灰度变换的目的是什么?有哪些实现方法?

1.数字图像的灰度变换的目的是什么

数字图像的灰度变换是指通过对图像的像素灰度值进行调整,改变图像的亮度、对比度或色调等特性的操作。灰度变换的目的是通过调整图像的灰度级分布,以达到一定的图像增强、显示或分析的目标。以下是数字图像灰度变换的主要具体目的:

  • 亮度调整:通过灰度变换可以调整图像的亮度级别,使图像变得更明亮或更暗。这对于图像显示和观感的优化非常重要,使图像更符合人眼的视觉感知。
  • 对比度增强:通过灰度变换可以调整图像的灰度级分布,增强图像的对比度。对比度是指图像中不同灰度级之间的差异程度,增强对比度可以使图像中的细节更加清晰可见。
  • 直方图均衡化:直方图均衡化是一种常用的灰度变换方法,通过重新分配图像的灰度级,使得图像的直方图在整个灰度范围内更加均匀分布。直方图均衡化可以扩展图像的灰度动态范围,增强图像的细节并改善图像的对比度。
  • 图像增强:灰度变换可以用于图像增强,提升图像质量、清晰度和细节。通过调整图像的灰度级,可以凸显感兴趣的图像特征,抑制噪声或背景信息。
  • 图像分割:在图像分割任务中,灰度变换可以用于确定阈值或分割标准,将图像分为不同的区域或对象。通过调整灰度级,可以将不同的像素分配到不同的分割类别中,从而实现目标检测、图像分析和计算机视觉任务。

2. 数字图像的灰度变换有哪些实现方法?

数字图像的灰度变换可以通过多种实现方法来实现,其中常见的灰度变换方法包括:

  • 线性变换:线性变换是最基本的灰度变换方法之一。它通过对每个像素的灰度值进行线性缩放和偏移,以改变图像的亮度和对比度。常见的线性变换包括亮度调整、对比度增强和反转等。
  • 伽马校正:伽马校正是一种非线性的灰度变换方法,通过改变图像的灰度级分布来调整图像的对比度和亮度。伽马校正主要通过对图像的灰度值进行幂次变换来实现,可以用于纠正图像的非线性响应和调整亮度范围。
  • 直方图均衡化:直方图均衡化是一种常用的灰度变换方法,通过重新分配图像的灰度级,使得图像的直方图在整个灰度范围内更加均匀分布。直方图均衡化可以增强图像的对比度和细节,并改善图像的视觉效果。
  • 直方图规定化:直方图规定化是一种灰度变换方法,通过将一个图像的灰度级分布映射到另一个图像的灰度级分布,使得两个图像具有相似的灰度特性。这个方法常用于图像匹配、图像风格转换和颜色迁移等应用。
  • 灰度拉伸:灰度拉伸是一种通过线性或非线性变换来调整图像的灰度范围的方法。它可以用于扩展图像的灰度动态范围,增强图像的对比度和细节,以便更好地显示图像中的细微变化。
  • 局部对比度增强:局部对比度增强方法将图像分割成不同的区域,并对每个区域内的灰度进行独立的对比度增强操作。这种方法可以根据不同区域的特点来调整图像的对比度,以突出细节和纹理。
  • 直方图匹配:直方图匹配是一种通过将一个图像的直方图映射到另一个图像的直方图来调整图像的灰度级分布的方法。它可以用于实现图像转换、图像风格迁移和颜色校正等应用。

5.2.2 什么是数字图像的灰度分布直方图?如何进行数字图像的直方图均衡化和规定化处理?试写出相应的程序设计步骤。

1.什么是数字图像的灰度分布直方图

数字图像的灰度分布直方图是一种统计工具,用于描述图像中各个灰度级别的像素数量。它展示了图像中每个灰度级别的像素在整个图像中的分布情况,提供了对图像的灰度分布和对比度的深入理解。具体而言,灰度分布直方图是一个柱状图,横坐标表示图像的灰度级别,纵坐标表示对应灰度级别的像素数量或像素的频数。每个柱子的高度代表了该灰度级别在图像中出现的频率或数量。通过分析灰度分布直方图,可以获得以下信息:

  • 灰度级分布:直方图展示了图像中每个灰度级别的像素数量。从直方图可以看出图像的灰度级范围以及每个灰度级别在整个图像中的分布情况。例如,直方图中的高峰表示图像中具有明显的灰度级别。
  • 对比度信息:直方图提供了图像的对比度信息。对比度是指图像中不同灰度级别之间的差异程度。直方图中的峰值和谷值之间的差异反映了图像的对比度水平。对比度高的图像具有明显的峰值和谷值,而对比度低的图像则呈现较为平坦的直方图。
  • 亮度分布:直方图可以显示图像中各个灰度级别的亮度分布情况。亮度是图像中像素的明暗程度,通过直方图可以观察到亮度水平在整个图像中的分布情况。例如,直方图的偏斜程度可以指示图像的亮度倾向,偏斜向高灰度级表示图像偏亮,偏斜向低灰度级表示图像偏暗。
  • 动态范围:直方图可以反映图像的动态范围,即图像中灰度级别的宽度。动态范围越宽,图像中灰度级别的变化范围就越大,表示图像具有更丰富的细节和对比度。
  • 图像分割:灰度分布直方图在图像分割任务中具有重要作用。通过分析直方图的峰值和谷值,可以选择合适的阈值来进行图像分割。例如,通过寻找直方图中的波谷和波峰,可以将图像分为不同的区域或对象,从而实现目标检测、图像分析和计算机视觉任务。
  • 异常检测:直方图可以用于异常检测和图像质量评估。通过比较不同图像的直方图特征,可以检测出图像中的异常区域或图像质量的问题。例如,直方图的形状、峰值和谷值的位置等可以用于检测图像中的噪声、伪影或曝光问题。
  • 调整图像参数:通过观察和分析直方图,可以帮助确定合适的图像处理参数。例如,在图像增强任务中,可以根据直方图的分布情况选择合适的增强算法和参数,以获得更好的图像质量和视觉效果。

2.如何进行数字图像的直方图均衡化和规定化处理?试写出相应的程序设计步骤。

进行直方图均衡化步骤:设离散图像第 i 个灰度级 ri 出现的概率为 Pr(ri) ,则 Pr(ri) = ni/n ,0 ≤ ri≤ 0,i=0,1,2L  L-1, L 为灰度级数级,ni 为 ri 出现的频率;构造变换函数:

反变换函数:

所得即为直方图均衡化后的图像。直方图均衡化:

  1. 读取图像:从图像文件中读取原始图像数据。
  2. 计算直方图:对原始图像进行灰度级统计,计算每个灰度级的像素数量。
  3. 计算累积分布函数(CDF):根据直方图数据,计算每个灰度级的累积像素数量。
  4. 归一化CDF:对CDF进行归一化,将像素数量映射到0到1的范围。
  5. 映射新的灰度级:根据归一化的CDF,将原始图像中的每个像素值映射到新的灰度级。
  6. 生成均衡化后的图像:根据映射后的灰度级,生成均衡化后的图像数据。

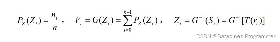
进行直方图规定化是预先规定的直方图去匹配原图像的直方图,可在直方图均衡化的基础上计算匹配的直方图。步骤:设规定的灰度级为 Zi,其出现的次数为 ni,全部象元数为 n,则

计算变换函数:

计算反变换函数,

直方图规定化:

  1. 读取原始图像和参考图像:从图像文件中分别读取原始图像和参考图像的数据。
  2. 计算原始图像和参考图像的直方图:对原始图像和参考图像分别进行灰度级统计,计算每个灰度级的像素数量。
  3. 计算原始图像和参考图像的累积分布函数(CDF):根据直方图数据,计算每个灰度级的累积像素数量。
  4. 归一化CDF:对原始图像和参考图像的CDF进行归一化,将像素数量映射到0到1的范围。
  5. 计算原始图像和参考图像的CDF差异:计算原始图像和参考图像归一化CDF的差异,以确定映射关系。
  6. 映射新的灰度级:根据CDF差异,将原始图像中的每个像素值映射到参考图像的灰度级。
  7. 生成规定化后的图像:根据映射后的灰度级,生成规定化后的图像数据。

🌍六、研究感悟

  1. 数字图像的直方图规定化算法原理:

    • 通过实验,深入了解直方图规定化的原理和实现步骤。
    • 着重理解直方图规定化在数字图像处理中的重要作用,即通过灰度级映射使待处理图像与参考图像的灰度级对比一致。
  2. 直方图均衡化实验:

    • 通过对原始图像进行直方图均衡化,观察到对比度和明暗分布的改善。
    • 解释直方图均衡化如何通过重新分配像素灰度级,使得图像的灰度级更均匀分布,进而提高视觉效果,通过对比直方图验证其效果。
  3. 直方图规定化实验:

    • 使用待处理图像和参考图像进行直方图规定化,实现灰度级分布更接近的效果。
    • 详细说明直方图规定化的步骤,包括计算直方图、映射灰度级,以及观察规定化后图像对比参考图像的一致性。
  4. MATLAB图像处理工具的应用:

    • 使用MATLAB的图像处理函数实现实验,了解相关函数的接口和功能。
    • 着眼于MATLAB中的histeq、imhist、imshow等函数的应用,以及对MATLAB图像处理工具箱的初步认识。强调这些函数的简洁直观接口和对图像处理的高效支持。

 📝总结

数字图像处理领域如同一片未被探索的数码大陆,引领你勇敢涉足视觉科技的神秘领域。学习之旅同样是一场不同寻常的冒险,从基础概念到环境配置,逐步揭示更深层次的图像分析、算法实现和视觉智能的奥秘。

渴望挑战数字图像处理的学习路径和征服图像领域的技术?不妨点击下方链接,加入我们的社群,一同探讨更多视觉奇迹吧。我们推出了引领趋势的📸 系列专栏:《图像魔法 | 数字奇迹编织》,旨在深度探索数字图像处理技术的实际应用和创新。🌟🖼️

7dd2b7f171704327b7d8987c49da4628.gif

end.gif

【版权声明】本文为华为云社区用户原创内容,未经允许不得转载,如需转载请自行联系原作者进行授权。如果您发现本社区中有涉嫌抄袭的内容,欢迎发送邮件进行举报,并提供相关证据,一经查实,本社区将立刻删除涉嫌侵权内容,举报邮箱: cloudbbs@huaweicloud.com
  • 点赞
  • 收藏
  • 关注作者

评论(0

0/1000
抱歉,系统识别当前为高风险访问,暂不支持该操作

全部回复

上滑加载中

设置昵称

在此一键设置昵称,即可参与社区互动!

*长度不超过10个汉字或20个英文字符,设置后3个月内不可修改。

*长度不超过10个汉字或20个英文字符,设置后3个月内不可修改。