常考集合面试题之Map(四)
Map文章目录
- 其他文章地址
 - 一、Map接口
 - 
   
- 1.1、说一下 HashMap 的实现原理?
 - 1.2、HashMap在JDK1.7和JDK1.8中有哪些不同?HashMap的底层实现
 - 1.3、HashMap的put方法的具体流程?
 - 1.4、HashMap的get方法的具体流程?
 - 1.5、HashMap的扩容操作是怎么实现的?
 - 1.6、HashMap是怎么解决哈希冲突的?
 - 1.7、能否使用任何类作为 Map 的 key?
 - 1.8、为什么HashMap中String、Integer这样的包装类适合作为K?
 - 1.9、如果使用Object作为HashMap的Key,应该怎么办呢?
 - 1.10、HashMap为什么不直接使用hashCode()处理后的哈希值直接作为table的下标?
 - 1.11、HashMap 的长度为什么是2的幂次方
 - 1.12、HashMap 与 HashTable 有什么区别?
 - 1.13、如何决定使用 HashMap 还是TreeMap?
 - 1.14、HashMap 和 ConcurrentHashMap 的区别
 - 1.15、ConcurrentHashMap 和 Hashtable 的区别?
 - 1.16、ConcurrentHashMap 底层具体实现知道吗?实现原理是什么?
 
 
其他文章地址
常考集合面试题(一)
 常考集合面试题-List接口(二)
 常考集合面试题之Set-Queue(三)
 常考集合面试题之Map(四)
 常考集合面试题-辅助工具(五)
一、Map接口
1.1、说一下 HashMap 的实现原理?
- HashMap概述: HashMap是基于哈希表的Map接口的非同步实现。此实现提供所有可选的映射操作,并允许使用null值和null键。此类不保证映射的顺序,特别是它不保证该顺序恒久不变。
 - HashMap的数据结构: 在Java编程语言中,最基本的结构就是两种,一个是数组,另外一个是模拟指针(引用),所有的数据结构都可以用这两个基本结构来构造的,HashMap也不例外。HashMap实际上是一个“链表散列”的数据结构,即数组和链表的结合体。
 - HashMap 基于 Hash 算法实现的
 
- 当我们往Hashmap中put元素时,利用key的hashCode重新hash计算
 
出当前对象的元素在数组中的下标- 存储时,如果出现hash值相同的key,此时有两种情况。(1)如果key相同,则覆盖原始值;(2)如果key不同(出现冲突),则将当前的key-value放入链表中
 - 获取时,直接找到hash值对应的下标,在进一步判断key是否相同,从而找到对应值。
 - 理解了以上过程就不难明白HashMap是如何解决hash冲突的问题,核心就是使用了数组的存储方式,然后将冲突的key的对象放入链表中,一旦发现冲突就在链表中做进一步的对比。
 
需要注意Jdk 1.8中对HashMap的实现做了优化,当链表中的节点数据超过八个
之后,该链表会转为红黑树来提高查询效率,从原来的O(n)到O(logn)
1.2、HashMap在JDK1.7和JDK1.8中有哪些不同?HashMap的底层实现
- 1.8用了红黑树
 - 1.7插入的时候用了头插法,1.8插入的时候用了尾插法
 - 1.7会rehash,1.8没有这份代码逻辑
 - 1.8的hash算法时高低16位做异或运算,1.7的时候会进行4次无符号右移,5个与运算(具体原因:JDK7的Hash算法⽐JDK8中的更复杂,Hash算法越复杂,⽣成的hashcode则更散列,那么hashmap中的元素则更散列,更散列则hashmap的查询性能更好,JDK7中没有红⿊树,所以只能优化Hash算法使得元素更散列,⽽JDK8中增加了红⿊树,查询性能得到了保障,所以可以简化⼀下Hash算法,毕竟Hash算法越复杂就越消耗CPU)
 - JDK8中扩容的条件和JDK7中不⼀样,除开判断size是否⼤于阈值之外,JDK7中还判断了tab[i]是否为空,不为空的时候才会进⾏扩容,⽽JDK8中则没有该条件了
 - JDK8中还多了⼀个API:putIfAbsent(key,value)
 - JDK7和JDK8扩容过程中转移元素的逻辑不⼀样,JDK7是每次转移⼀个元素,JDK8是先算出来当前位置上哪些元素在新数组的低位上,哪些在新数组的⾼位上,然后在⼀次性转移
 
1.3、HashMap的put方法的具体流程?

- 根据key生成hashcode
 - 判断当前HashMap对象中的数组是否为空,如果为空则初始化该数组
 - 1.7的时候会进行4次无符号右移,5个与运算,1.8会进行高16位和低16位进行逻辑与运算,算出hashcode基于当前数组对应的数组下标i
 - 判断数组的第i个位置的元素(tab[i])是否为空
 
a. 如果为空,则将key,value封装为Node对象赋值给tab[i]
b. 如果不为空:
i. 如果put⽅法传⼊进来的key等于tab[i].key,那么证明存在相同的key
ii. 如果不等于tab[i].key,则:
1. 如果tab[i]的类型是TreeNode,则表示数组的第i位置上是⼀颗红⿊树,那么将key和value插⼊到红⿊树中,并且在插⼊之前会判断在红⿊树中是否存在相同的key
2. 如果tab[i]的类型不是TreeNode,则表示数组的第i位置上是⼀个链表,那么遍历链表寻找是否存在相同的key,并且在遍历的过程中会对链表中的结点数进⾏计数,当遍历到最后⼀个结点时,会将key,value封装为Node插⼊到链表的尾部,同时判断在插⼊新结点之前的链表结点个数是不是⼤于等于8,且数组的长度大于64,如果是,则将链表改为红⿊树。
iii. 如果上述步骤中发现存在相同的key,则根据onlyIfAbsent标记来判断是否需要更新value值,然后返回oldValue- modCount++
 - HashMap的元素个数size加1
 - 如果size⼤于扩容的阈值,则进⾏扩容
 
//node数组
static class Node<K,V> implements Map.Entry<K,V> {
    final int hash;
    final K key;
    V value;
    Node<K,V> next;
    Node(int hash, K key, V value, Node<K,V> next) {
        this.hash = hash;
        this.key = key;
        this.value = value;
        this.next = next;
    }
    public final K getKey()        { return key; }
    public final V getValue()      { return value; }
    public final String toString() { return key + "=" + value; }
    public final int hashCode() {
        return Objects.hashCode(key) ^ Objects.hashCode(value);
    }
    public final V setValue(V newValue) {
        V oldValue = value;
        value = newValue;
        return oldValue;
    }
    public final boolean equals(Object o) {
        if (o == this)
            return true;
        if (o instanceof Map.Entry) {
            Map.Entry<?,?> e = (Map.Entry<?,?>)o;
            if (Objects.equals(key, e.getKey()) &&
                Objects.equals(value, e.getValue()))
                return true;
        }
        return false;
    }
}
//put的过程
public V put(K key, V value) {
    return putVal(hash(key), key, value, false, true);
}
//1.7的hash
  final int hash(Object k) {
        int h = 0;
        if (useAltHashing) {
            if (k instanceof String) {
                return sun.misc.Hashing.stringHash32((String) k);
            }
            h = hashSeed;
        }
        h ^= k.hashCode();
        h ^= (h >>> 20) ^ (h >>> 12);
        return h ^ (h >>> 7) ^ (h >>> 4);
}
//1.8的hash
static final int hash(Object key) {
    int h;
    return (key == null) ? 0 : (h = key.hashCode()) ^ (h >>> 16);
}
final V putVal(int hash, K key, V value, boolean onlyIfAbsent,
               boolean evict) {
    Node<K,V>[] tab; Node<K,V> p; int n, i;
    if ((tab = table) == null || (n = tab.length) == 0)
        n = (tab = resize()).length;
    if ((p = tab[i = (n - 1) & hash]) == null)
        tab[i] = newNode(hash, key, value, null);
    else {
        Node<K,V> e; K k;
        if (p.hash == hash &&
            ((k = p.key) == key || (key != null && key.equals(k))))
            e = p;
        else if (p instanceof TreeNode)
            e = ((TreeNode<K,V>)p).putTreeVal(this, tab, hash, key, value);
        else {
            for (int binCount = 0; ; ++binCount) {
                if ((e = p.next) == null) {
                    p.next = newNode(hash, key, value, null);
                    if (binCount >= TREEIFY_THRESHOLD - 1) // -1 for 1st
                        treeifyBin(tab, hash);
                    break;
                }
                if (e.hash == hash &&
                    ((k = e.key) == key || (key != null && key.equals(k))))
                    break;
                p = e;
            }
        }
        if (e != null) { // existing mapping for key
            V oldValue = e.value;
            if (!onlyIfAbsent || oldValue == null)
                e.value = value;
            afterNodeAccess(e);
            return oldValue;
        }
    }
    ++modCount;
    if (++size > threshold)
        resize();
    afterNodeInsertion(evict);
    return null;
}
  
 
 - 1
 - 2
 - 3
 - 4
 - 5
 - 6
 - 7
 - 8
 - 9
 - 10
 - 11
 - 12
 - 13
 - 14
 - 15
 - 16
 - 17
 - 18
 - 19
 - 20
 - 21
 - 22
 - 23
 - 24
 - 25
 - 26
 - 27
 - 28
 - 29
 - 30
 - 31
 - 32
 - 33
 - 34
 - 35
 - 36
 - 37
 - 38
 - 39
 - 40
 - 41
 - 42
 - 43
 - 44
 - 45
 - 46
 - 47
 - 48
 - 49
 - 50
 - 51
 - 52
 - 53
 - 54
 - 55
 - 56
 - 57
 - 58
 - 59
 - 60
 - 61
 - 62
 - 63
 - 64
 - 65
 - 66
 - 67
 - 68
 - 69
 - 70
 - 71
 - 72
 - 73
 - 74
 - 75
 - 76
 - 77
 - 78
 - 79
 - 80
 - 81
 - 82
 - 83
 - 84
 - 85
 - 86
 - 87
 - 88
 - 89
 - 90
 - 91
 - 92
 - 93
 - 94
 - 95
 - 96
 - 97
 - 98
 - 99
 - 100
 - 101
 - 102
 - 103
 - 104
 - 105
 
1.4、HashMap的get方法的具体流程?
- 根据key⽣成hashcode
 - 如果数组为空,则直接返回空
 - 如果数组不为空,则利⽤hashcode和数组⻓度通过逻辑与操作算出key所对应的数组下标i
 - 如果数组的第i个位置上没有元素,则直接返回空
 - 如果数组的第1个位上的元素的key等于get⽅法所传进来的key,则返回该元素,并获取该元素的value
 - 如果不等于则判断该元素还有没有下⼀个元素,如果没有,返回空
 - 如果有则判断该元素的类型是链表结点还是红⿊树结点
 
a. 如果是链表则遍历链表
b. 如果是红⿊树则遍历红⿊树- 找到即返回元素,没找到的则返回空
 
//get方法
public V get(Object key) {
    Node<K,V> e;
    return (e = getNode(hash(key), key)) == null ? null : e.value;
}
//getNode方法
final Node<K,V> getNode(int hash, Object key) {
    Node<K,V>[] tab; Node<K,V> first, e; int n; K k;
    if ((tab = table) != null && (n = tab.length) > 0 &&
        (first = tab[(n - 1) & hash]) != null) {
        if (first.hash == hash && // always check first node
            ((k = first.key) == key || (key != null && key.equals(k))))
            return first;
        if ((e = first.next) != null) {
            if (first instanceof TreeNode)
                return ((TreeNode<K,V>)first).getTreeNode(hash, key);
            do {
                if (e.hash == hash &&
                    ((k = e.key) == key || (key != null && key.equals(k))))
                    return e;
            } while ((e = e.next) != null);
        }
    }
    return null;
}
  
 
 - 1
 - 2
 - 3
 - 4
 - 5
 - 6
 - 7
 - 8
 - 9
 - 10
 - 11
 - 12
 - 13
 - 14
 - 15
 - 16
 - 17
 - 18
 - 19
 - 20
 - 21
 - 22
 - 23
 - 24
 - 25
 
1.5、HashMap的扩容操作是怎么实现的?
①.在jdk1.8中,resize方法是在hashmap中的键值对大于阀值时或者初始化时,就调用resize方法进行扩容;
②.每次扩展的时候,都是扩展2倍;
③.扩展后Node对象的位置要么在原位置,要么移动到原偏移量两倍的位置。在putVal()中,我们看到在这个函数里面使用到了2次resize()方法,resize()方法表示的在进行第一次初始化时会对其进行扩容,或者当该数组的实际大小大于其临界值值(第一次为12),这个时候在扩容的同时也会伴随的桶上面的元素进行重新分发,这也是JDK1.8版本的一个优化的地方,在1.7中,扩容之后需要重新去计算其Hash值,根据Hash值对其进行分发,但在1.8版本中,则是根据在同一个桶的位置中进行判断(e.hash & oldCap)是否为0,重新进行hash分配后,该元素的位置要么停留在原始位置,要么移动到原始位置+增加的数组大小这个位置上
 final Node<K,V>[] resize() {
        Node<K,V>[] oldTab = table;
        int oldCap = (oldTab == null) ? 0 : oldTab.length;
        int oldThr = threshold;
        int newCap, newThr = 0;
        if (oldCap > 0) {
            if (oldCap >= MAXIMUM_CAPACITY) {
                threshold = Integer.MAX_VALUE;
                return oldTab;
            }
            else if ((newCap = oldCap << 1) < MAXIMUM_CAPACITY &&
                     oldCap >= DEFAULT_INITIAL_CAPACITY)
                newThr = oldThr << 1; // double threshold
        }
        else if (oldThr > 0) // initial capacity was placed in threshold
            newCap = oldThr;
        else {               // zero initial threshold signifies using defaults
            newCap = DEFAULT_INITIAL_CAPACITY;
            newThr = (int)(DEFAULT_LOAD_FACTOR * DEFAULT_INITIAL_CAPACITY);
        }
        if (newThr == 0) {
            float ft = (float)newCap * loadFactor;
            newThr = (newCap < MAXIMUM_CAPACITY && ft < (float)MAXIMUM_CAPACITY ?
                      (int)ft : Integer.MAX_VALUE);
        }
        threshold = newThr;
        @SuppressWarnings({"rawtypes","unchecked"})
            Node<K,V>[] newTab = (Node<K,V>[])new Node[newCap];
        table = newTab;
        if (oldTab != null) {
            for (int j = 0; j < oldCap; ++j) {
                Node<K,V> e;
                if ((e = oldTab[j]) != null) {
                    oldTab[j] = null;
                    if (e.next == null)
                        newTab[e.hash & (newCap - 1)] = e;
                    else if (e instanceof TreeNode)
                        ((TreeNode<K,V>)e).split(this, newTab, j, oldCap);
                    else { // preserve order
                        Node<K,V> loHead = null, loTail = null;
                        Node<K,V> hiHead = null, hiTail = null;
                        Node<K,V> next;
                        do {
                            next = e.next;
                            if ((e.hash & oldCap) == 0) {
                                if (loTail == null)
                                    loHead = e;
                                else
                                    loTail.next = e;
                                loTail = e;
                            }
                            else {
                                if (hiTail == null)
                                    hiHead = e;
                                else
                                    hiTail.next = e;
                                hiTail = e;
                            }
                        } while ((e = next) != null);
                        if (loTail != null) {
                            loTail.next = null;
                            newTab[j] = loHead;
                        }
                        if (hiTail != null) {
                            hiTail.next = null;
                            newTab[j + oldCap] = hiHead;
                        }
                    }
                }
            }
        }
        return newTab;
    }
  
 
 - 1
 - 2
 - 3
 - 4
 - 5
 - 6
 - 7
 - 8
 - 9
 - 10
 - 11
 - 12
 - 13
 - 14
 - 15
 - 16
 - 17
 - 18
 - 19
 - 20
 - 21
 - 22
 - 23
 - 24
 - 25
 - 26
 - 27
 - 28
 - 29
 - 30
 - 31
 - 32
 - 33
 - 34
 - 35
 - 36
 - 37
 - 38
 - 39
 - 40
 - 41
 - 42
 - 43
 - 44
 - 45
 - 46
 - 47
 - 48
 - 49
 - 50
 - 51
 - 52
 - 53
 - 54
 - 55
 - 56
 - 57
 - 58
 - 59
 - 60
 - 61
 - 62
 - 63
 - 64
 - 65
 - 66
 - 67
 - 68
 - 69
 - 70
 - 71
 - 72
 - 73
 
1.6、HashMap是怎么解决哈希冲突的?
- 使用链地址法(使用散列表)来链接拥有相同hash值的数据;
 - 使用2次扰动函数(hash函数)来降低哈希冲突的概率,使得数据分布更平
 
均;- 引入红黑树进一步降低遍历的时间复杂度,使得遍历更快;
 
1.7、能否使用任何类作为 Map 的 key?
可以使用任何类作为 Map 的 key,然而在使用之前,需要考虑以下几点:
- 如果类重写了 equals() 方法,也应该重写 hashCode() 方法。
 - 类的所有实例需要遵循与 equals() 和 hashCode() 相关的规则。
 - 如果一个类没有使用 equals(),不应该在 hashCode() 中使用它。
 - 用户自定义 Key 类最佳实践是使之为不可变的,这样 hashCode() 值可以被缓存起来,拥有更好的性能。不可变的类也可以确保 hashCode()和 equals() 在未来不会改变,这样就会解决与可变相关的问题了。
 
1.8、为什么HashMap中String、Integer这样的包装类适合作为K?
String、Integer等包装类的特性能够保证Hash值的不可更改性和计算准确性,能够有效的减少Hash碰撞的几率
- 都是final类型,即不可变性,保证key的不可更改性,不会存在获取hash值不同的情况
 - 内部已重写了 equals() 、 hashCode() 等方法,遵守了HashMap内部的规范(不清楚可以去上面看看putValue的过程),不容易出现Hash值计算错误的情况;
 
1.9、如果使用Object作为HashMap的Key,应该怎么办呢?
重写 hashCode() 和 equals() 方法
- 重写 hashCode() 是因为需要计算存储数据的存储位置,需要注意不要试图从散列码计算中排除掉一个对象的关键部分来提高性能,这样虽然能更快但可能会导致更多的Hash碰撞;
 - 重写 equals() 方法,需要遵守自反性、对称性、传递性、一致性以及对于任何非null的引用值x,x.equals(null)
 
1.10、HashMap为什么不直接使用hashCode()处理后的哈希值直接作为table的下标?
hashCode() 方法返回的是int整数类型,其范围为-(2 ^ 31)~(2 ^ 31 - 1),约有40亿个映射空间,而HashMap的容量范围是在16(初始化默认值)~2 ^30,HashMap通常情况下是取不到最大值的,并且设备上也难以提供这么多的存储空间,从而导致通过 hashCode() 计算出的哈希值可能不在数组大小范围内,进而无法匹配存储位置;
所以:
- HashMap自己实现了自己的 hash() 方法,通过两次扰动使得它自己的哈希值高低位自行进行异或运算,降低哈希碰撞概率也使得数据分布更平均;
 - 在保证数组长度为2的幂次方的时候,使用 hash() 运算之后的值与运算(&)(数组长度 - 1)来获取数组下标的方式进行存储,这样一来是比取余操作更加有效率,二来也是因为只有当数组长度为2的幂次方时,h&(length-1)才等价于h%length,三来解决了“哈希值与数组大小范围不匹配”的问题;
 
1.11、HashMap 的长度为什么是2的幂次方
为了能让 HashMap 存取高效,尽量较少碰撞,也就是要尽量把数据分配均匀,每个链表/红黑树长度大致相同。这个实现就是把数据存到哪个链表/红黑树中的算法。
这个算法应该如何设计呢?
我们首先可能会想到采用%取余的操作来实现。但是,重点来了:“取余(%)操作中如果除数是2的幂次则等价于与其除数减一的与(&)操作(也就是说hash%length==hash&(length-1)的前提是 length 是2的 n 次方;)。” 并且 采用二进制位操作 &,相对于%能够提高运算效率,这就解释了 HashMap的长度为什么是2的幂次方。
那为什么是两次扰动呢?
- 这样就是加大哈希值低位的随机性,使得分布更均匀,从而提高对应数组存储下标位置的随机性&均匀性,最终减少Hash冲突,两次就够了,已经达到了高位低位同时参与运算的目的;
 
1.12、HashMap 与 HashTable 有什么区别?
- 线程安全: HashMap 是非线程安全的,HashTable 是线程安全的;HashTable 内部的方法基本都经过 synchronized 修饰。(如果你要保证线程安全的话就使用 ConcurrentHashMap 吧!);
 - 效率: 因为线程安全的问题,HashMap 要比 HashTable 效率高一点。另外,HashTable 基本被淘汰,不要在代码中使用它;
 - 对Null key 和Null value的支持: HashMap 中,null 可以作为键,这样的键只有一个,可以有一个或多个键所对应的值为 null。但是在HashTable 中 put 进的键值只要有一个 null,直接抛NullPointerException。
 - 初始容量大小和每次扩充容量大小的不同 : ①创建时如果不指定容量初始值,Hashtable 默认的初始大小为11,之后每次扩充,容量变为原来的2n+1。HashMap 默认的初始化大小为16。之后每次扩充,容量变为原来的2倍。②创建时如果给定了容量初始值,那么 Hashtable 会直接使用你给定的大小,而 HashMap 会将其扩充为2的幂次方大小。也就是说 HashMap 总是使用2的幂作为哈希表的大小,后面会介绍到为什么是2的幂次方。
 - 底层数据结构: JDK1.8 以后的 HashMap 在解决哈希冲突时有了较大的变化,当链表长度大于阈值(默认为8)时,将链表转化为红黑树,以减少搜索时间。Hashtable 没有这样的机制。
 - 推荐使用:在 Hashtable 的类注释可以看到,Hashtable 是保留类不建议使用,推荐在单线程环境下使用 HashMap 替代,如果需要多线程使用则用 ConcurrentHashMap 替代。
 
1.13、如何决定使用 HashMap 还是TreeMap?
对于在Map中插入、删除和定位元素这类操作,HashMap是最好的选择。然而,假如你需要对一个有序的key集合进行遍历,TreeMap是更好的选择。基于你的collection的大小,也许向HashMap中添加元素会更快,将map换为TreeMap进行有序key的遍历。
1.14、HashMap 和 ConcurrentHashMap 的区别
- ConcurrentHashMap对整个桶数组进行了分割分段(Segment),然后在每一个分段上都用lock锁进行保护,相对于HashTable的synchronized锁的粒度更精细了一些,并发性能更好,而HashMap没有锁机制,不是线程安全的。(JDK1.8之后ConcurrentHashMap启用了一种全新的方式实现,利用CAS算法。)
 - HashMap的键值对允许有null,但是ConCurrentHashMap都不允许。
 
1.15、ConcurrentHashMap 和 Hashtable 的区别?
ConcurrentHashMap 和 Hashtable 的区别主要体现在实现线程安全的方式上不同。
- 底层数据结构 : JDK1.7的 ConcurrentHashMap 底层采用 分段的数组+链表 实现,JDK1.8 采用的数据结构跟HashMap1.8的结构一样,数组+链表/红黑二叉树。Hashtable 和 JDK1.8 之前的 HashMap 的底层数据结构类似都是采用 数组+链表 的形式,数组是 HashMap 的主体,链表则是主要为了解决哈希冲突而存在的;
 - 实现线程安全的方式(重要) :
 
① 在JDK1.7的时候,ConcurrentHashMap(分段锁) 对整个桶数组进行了分割分段(Segment),每一把锁只锁容器其中一部分数据,多线程访问容器里不同数据段的数据,就不会存在锁竞争,提高并发访问率。(默认分配16个Segment,比Hashtable效率提高16倍。) 到了 JDK1.8 的时候已经摒弃了Segment的概念,而是直接用Node 数组+链表+红黑树的数据结构来实现,并发控制使用synchronized 和 CAS 来操作。(JDK1.6以后 对 synchronized锁做了很多优化) 整个看起来就像是优化过且线程安全的 HashMap,虽然在JDK1.8中还能看到 Segment 的数据结构,但是已经简化了属性,只是为了兼容旧版本;
②Hashtable(同一把锁) :使用 synchronized 来保证线程安全,效率非常低下。当一个线程访问同步方法时,其他线程也访问同步方法,可能会进入阻塞或轮询状态,如使用 put 添加元素,另一个线程不能使用 put 添加元素,也不能使用 get,竞争会越来越激烈效率越低。
两者的对比图:
 HashTable:
 
 JDK1.7的ConcurrentHashMap:
 
 JDK1.8的ConcurrentHashMap(TreeBin: 红黑二叉树节点 Node: 链表节点):
 
ConcurrentHashMap 结合了 HashMap 和 HashTable 二者的优势。HashMap 没有考虑同步,HashTable 考虑了同步的问题。但是 HashTable 在每次同步执行时都要锁住整个结构。 ConcurrentHashMap 锁的方式是稍微细粒度的。
1.16、ConcurrentHashMap 底层具体实现知道吗?实现原理是什么?
JDK1.7
首先将数据分为一段一段的存储,然后给每一段数据配一把锁,当一个线程占用锁访问其中一个段数据时,其他段的数据也能被其他线程访问。
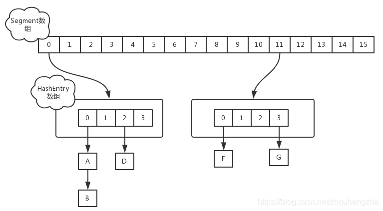
在JDK1.7中,ConcurrentHashMap采用Segment + HashEntry的方式进行实现,结构如下:
一个 ConcurrentHashMap 里包含一个 Segment 数组。Segment 的结构和HashMap类似,是一种数组和链表结构,一个 Segment 包含一个 HashEntry数组,每个 HashEntry 是一个链表结构的元素,每个 Segment 守护着一个HashEntry数组里的元素,当对 HashEntry 数组的数据进行修改时,必须首先获得对应的 Segment的锁。
- 该类包含两个静态内部类 HashEntry 和 Segment ;前者用来封装映射表的键值对,后者用来充当锁的角色;
 - Segment 是一种可重入的锁 ReentrantLock,每个 Segment 守护一个HashEntry 数组里得元素,当对 HashEntry 数组的数据进行修改时,必须首先获得对应的 Segment 锁。
 
JDK1.8
在JDK1.8中,放弃了Segment臃肿的设计,取而代之的是采用Node + CAS+ Synchronized来保证并发安全进行实现,synchronized只锁定当前链表或红黑二叉树的首节点,这样只要hash不冲突,就不会产生并发,效率又提升N倍。
结构如下:
附加源码,有需要的可以看看
插入元素过程(建议去看看源码):
如果相应位置的Node还没有初始化,则调用CAS插入相应的数据;
1 else if ((f = tabAt(tab, i = (n ‐ 1) & hash)) == null) {
2  if (casTabAt(tab, i, null, new Node<K,V>(hash, key, value, null)))
3  break; // no lock when adding to empty bin
4 }
如果相应位置的Node不为空,且当前该节点不处于移动状态,则对该节点加
synchronized锁,如果该节点的hash不小于0,则遍历链表更新节点或插入新
节点;
 if (fh >= 0) {
  binCount = 1;
  for (Node<K,V> e = f;; ++binCount) {
  K ek;
  if (e.hash == hash &&
  ((ek = e.key) == key ||
  (ek != null && key.equals(ek)))) {
  oldVal = e.val;
  if (!onlyIfAbsent)
  e.val = value;
  break;
  }
  Node<K,V> pred = e;
  if ((e = e.next) == null) {
  pred.next = new Node<K,V>(hash, key, value, null);
  break;
  }
  }
 }
  
 
 - 1
 - 2
 - 3
 - 4
 - 5
 - 6
 - 7
 - 8
 - 9
 - 10
 - 11
 - 12
 - 13
 - 14
 - 15
 - 16
 - 17
 - 18
 - 19
 - 20
 - 21
 - 22
 - 23
 - 24
 - 25
 - 26
 
- 如果该节点是TreeBin类型的节点,说明是红黑树结构,则通过putTreeVal方法往红黑树中插入节点;如果binCount不为0,说明put操作对数据产生了影响,如果当前链表的个数达到8个,则通过treeifyBin方法转化为红黑树,如果oldVal不为空,说明是一次更新操作,没有对元素个数产生影响,则直接返回旧值;
 - 如果插入的是一个新节点,则执行addCount()方法尝试更新元素个数baseCount;
 
我是小白弟弟,一个在互联网行业的小白,立志成为一名架构师
https://blog.csdn.net/zhouhengzhe?t=1
文章来源: blog.csdn.net,作者:zhz小白,版权归原作者所有,如需转载,请联系作者。
原文链接:blog.csdn.net/zhouhengzhe/article/details/112034524
- 点赞
 - 收藏
 - 关注作者
 
            


           
评论(0)