2025-11-09:给边赋权值的方案数Ⅰ。用go语言,给定一棵以节点 1 为根的无向树,共 n 个节点,边由长度为 n−1 的
2025-11-09:给边赋权值的方案数Ⅰ。用go语言,给定一棵以节点 1 为根的无向树,共 n 个节点,边由长度为 n−1 的数组 edges 给出(每个元素 [u,v] 表示 u 与 v 之间有一条边)。起初所有边的权重为 0,但你可以把每条边设为权值 1 或 2。
任选一个与根节点 1 距离最大的节点 x(即最远的节点)。只看从节点 1 到该节点 x 的那条简单路径(路径之外的边不参与计数),统计有多少种将该路径上每条边的权值设为 1 或 2 的方法,使得从 1 到 x 的边权总和为奇数。
结果要求对 1000000007 取模后输出。
2 <= n <= 100000。
edges.length == n - 1。
edges[i] == [ui, vi]。
1 <= ui, vi <= n。
edges 表示一棵合法的树。

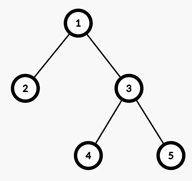
输入: edges = [[1,2],[1,3],[3,4],[3,5]]。
输出: 2。
解释:
最大深度为 2,节点 4 和节点 5 都在该深度,可以选择任意一个。
例如,从节点 1 到节点 4 的路径包括两条边(1 → 3 和 3 → 4)。
将两条边赋权为 (1,2) 或 (2,1) 会使代价为奇数,因此合法赋值方式有 2 种。
题目来自力扣3558。
问题分析过程
这个问题要求计算在树结构中,从根节点到最深叶子节点的路径上,通过给边赋权值1或2,使得路径总权值为奇数的方案数。以下是详细的分步分析:
1. 构建树结构
首先需要根据输入的边数组构建树的邻接表表示。由于树是无向的,每条边需要在两个节点的邻接表中都添加对方节点,从而形成完整的连通图结构。
2. 计算最大深度
通过深度优先搜索(DFS)从根节点(节点1)开始遍历整棵树,计算每个节点的深度(到根节点的距离)。在DFS过程中,维护当前深度信息,递归访问每个未访问过的子节点(避免回溯到父节点),最终得到整棵树的最大深度k。
3. 确定路径边数
从根节点到最深节点x的路径边数等于最大深度k(因为深度是从根节点开始计算的节点层数,边数比深度少1)。因此实际需要赋权的边数为n = k-1。
4. 分析权值赋值方案
路径总权值为奇数的条件等价于路径上权值为1的边必须有奇数条(因为每条边权值只能是1或2,而2不会改变总和的奇偶性)。问题转化为:在n条边中选择奇数条边赋权为1,其余赋权为2。
5. 计算方案数
组合数学结论:从n条边中选择奇数条边的方案总数为2^(n-1)。这可以通过二项式定理证明:选择奇数个元素的方案数等于2^(n-1)。
6. 快速幂取模
由于n可能很大(最大99999),直接计算2^(n-1)会溢出。使用快速幂算法,在O(log n)时间内完成模幂运算,结果对1,000,000,007取模。
复杂度分析
时间复杂度:O(n)
- 构建邻接表:O(n),需要处理n-1条边
- DFS遍历:O(n),每个节点访问一次
- 快速幂计算:O(log n),相对于线性可忽略
- 总体以DFS为主导,故为O(n)
空间复杂度:O(n)
- 邻接表存储:O(n),存储n个节点的邻接关系
- DFS递归栈:最坏情况O(n)(当树退化为链时)
- 其他变量:O(1)
- 总体空间消耗与节点数n成正比
这个解决方案高效地结合了树遍历和组合数学,通过一次DFS确定关键路径长度,再利用数学结论直接计算结果,避免了枚举所有可能的权值分配方案。
Go完整代码如下:
package main
import (
"fmt"
)
func assignEdgeWeights(edges [][]int) int {
n := len(edges) + 1
g := make([][]int, n+1)
for _, e := range edges {
x, y := e[0], e[1]
g[x] = append(g[x], y)
g[y] = append(g[y], x)
}
var dfs func(int, int) int
dfs = func(x, fa int) (d int) {
for _, y := range g[x] {
if y != fa { // 不递归到父节点
d = max(d, dfs(y, x)+1)
}
}
return
}
k := dfs(1, 0)
return pow(2, k-1)
}
func pow(x, n int) int {
const mod = 1_000_000_007
res := 1
for ; n > 0; n /= 2 {
if n%2 > 0 {
res = res * x % mod
}
x = x * x % mod
}
return res
}
func main() {
edges := [][]int{{1, 2}, {1, 3}, {3, 4}, {3, 5}}
result := assignEdgeWeights(edges)
fmt.Println(result)
}

Python完整代码如下:
# -*-coding:utf-8-*-
from typing import List
def assignEdgeWeights(edges: List[List[int]]) -> int:
n = len(edges) + 1
g = [[] for _ in range(n + 1)]
for e in edges:
x, y = e[0], e[1]
g[x].append(y)
g[y].append(x)
def dfs(x: int, fa: int) -> int:
d = 0
for y in g[x]:
if y != fa: # 不递归到父节点
d = max(d, dfs(y, x) + 1)
return d
k = dfs(1, 0)
return pow(2, k - 1)
def main():
edges = [[1, 2], [1, 3], [3, 4], [3, 5]]
result = assignEdgeWeights(edges)
print(result)
if __name__ == "__main__":
main()

C++完整代码如下:
#include <iostream>
#include <vector>
#include <algorithm>
#include <functional>
using namespace std;
int pow_mod(int x, int n, int mod) {
long long res = 1;
long long base = x;
while (n > 0) {
if (n % 2 == 1) {
res = (res * base) % mod;
}
base = (base * base) % mod;
n /= 2;
}
return res;
}
int assignEdgeWeights(vector<vector<int>>& edges) {
int n = edges.size() + 1;
vector<vector<int>> g(n + 1);
for (auto& e : edges) {
int x = e[0], y = e[1];
g[x].push_back(y);
g[y].push_back(x);
}
function<int(int, int)> dfs = [&](int x, int fa) -> int {
int d = 0;
for (int y : g[x]) {
if (y != fa) { // 不递归到父节点
d = max(d, dfs(y, x) + 1);
}
}
return d;
};
int k = dfs(1, 0);
return pow_mod(2, k - 1, 1000000007);
}
int main() {
vector<vector<int>> edges = {{1, 2}, {1, 3}, {3, 4}, {3, 5}};
int result = assignEdgeWeights(edges);
cout << result << endl;
return 0;
}

- 点赞
- 收藏
- 关注作者
评论(0)