2025-06-21:连接两棵树后最大目标节点数目Ⅱ。用go语言,有两棵无向树,第一棵有 n 个节点,节点编号范围为 [0, n
2025-06-21:连接两棵树后最大目标节点数目Ⅱ。用go语言,有两棵无向树,第一棵有 n 个节点,节点编号范围为 [0, n-1],第二棵有 m 个节点,编号范围为 [0, m-1]。
输入给出两组边信息,分别是 edges1 和 edges2。edges1 长度为 n-1,每个元素 edges1[i] = [ai, bi] 表示第一棵树中 ai 和 bi 之间有一条边;edges2 长度为 m-1,edges2[i] = [ui, vi] 表示第二棵树中 ui 和 vi 之间有一条边。
定义两个节点 u 和 v 之间的路径长度为它们之间边的数量,如果这个路径长度是偶数,那么称 u 是 v 的“目标节点”。注意,一个节点本身一定是它自己的目标节点。
现在,对于第一棵树中的每个节点 i,考虑将该节点与第二棵树的某个节点连接一条边。你需要求出在添加这条边之后,第一棵树中节点 i 的目标节点数量的最大可能值。
每个计算是独立的,即每次添加的边运行完后要删除,不会影响下一次的计算。
最终返回一个长度为 n 的数组 answer,answer[i] 就是对应节点 i 在连接第二棵树的某个节点后,第一棵树中目标节点数量的最大值。
2 <= n, m <= 100000。
edges1.length == n - 1。
edges2.length == m - 1。
edges1[i].length == edges2[i].length == 2。
edges1[i] = [ai, bi]。
0 <= ai, bi < n。
edges2[i] = [ui, vi]。
0 <= ui, vi < m。
输入保证 edges1 和 edges2 都表示合法的树。
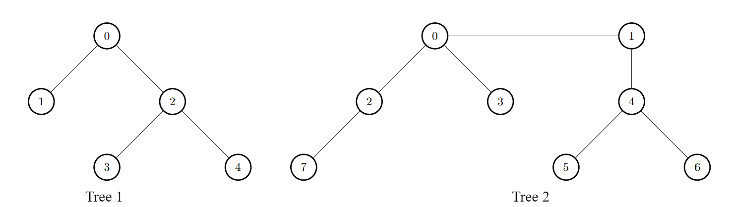
输入:edges1 = [[0,1],[0,2],[2,3],[2,4]], edges2 = [[0,1],[0,2],[0,3],[2,7],[1,4],[4,5],[4,6]]。
输出:[8,7,7,8,8]。
解释:
对于 i = 0 ,连接第一棵树中的节点 0 和第二棵树中的节点 0 。
对于 i = 1 ,连接第一棵树中的节点 1 和第二棵树中的节点 4 。
对于 i = 2 ,连接第一棵树中的节点 2 和第二棵树中的节点 7 。
对于 i = 3 ,连接第一棵树中的节点 3 和第二棵树中的节点 0 。
对于 i = 4 ,连接第一棵树中的节点 4 和第二棵树中的节点 4 。

题目来自力扣3373。
解决步骤
-
分析目标节点的性质:
- 目标节点与路径长度的奇偶性有关。路径长度为偶数时是目标节点。
- 一个节点到自己的路径长度为 0(偶数),因此自己总是自己的目标节点。
- 在两棵树中,可以通过染色(如黑白染色)来标记节点的奇偶性。例如,根节点为黑色(深度 0),其子节点为白色(深度 1),依此类推。这样,颜色相同的节点之间的路径长度为偶数,颜色不同的节点之间的路径长度为奇数。
-
预处理第一棵树:
- 对第一棵树进行黑白染色(例如,
color1数组,0表示黑色,1表示白色)。 - 统计第一棵树中黑色和白色节点的数量(
count1[0]和count1[1])。 - 对于第一棵树的每个节点
i,其目标节点数量为:- 如果
i是黑色,则目标节点数量为count1[0](包括自己)。 - 如果
i是白色,则目标节点数量为count1[1](包括自己)。
- 如果
- 对第一棵树进行黑白染色(例如,
-
预处理第二棵树:
- 对第二棵树进行黑白染色(
color2数组)。 - 统计第二棵树中黑色和白色节点的数量(
count2[0]和count2[1])。 - 第二棵树的最大目标节点数量为
max(count2[0], count2[1])。
- 对第二棵树进行黑白染色(
-
连接两棵树后的目标节点计算:
- 当连接第一棵树的节点
i(颜色为color1[i])和第二棵树的某个节点时:- 如果连接的第二棵树节点的颜色与
color1[i]相同,则第二棵树中所有与该颜色相同的节点都会成为i的目标节点(因为路径长度为偶数)。 - 因此,第二棵树对
i的目标节点数量的贡献是max(count2[0], count2[1])。
- 如果连接的第二棵树节点的颜色与
- 因此,对于第一棵树的每个节点
i,其最大目标节点数量为:- 第一棵树中与
i同色的节点数量(count1[color1[i]])。 - 加上第二棵树中较多同色的节点数量(
max(count2[0], count2[1]))。 - 即
res[i] = count1[color1[i]] + max(count2[0], count2[1])。
- 第一棵树中与
- 当连接第一棵树的节点
-
具体步骤:
- 构建第一棵树的邻接表,进行 DFS 染色,并统计
count1。 - 构建第二棵树的邻接表,进行 DFS 染色,并统计
count2。 - 对于第一棵树的每个节点
i,计算res[i]。
- 构建第一棵树的邻接表,进行 DFS 染色,并统计
时间和空间复杂度
- 时间复杂度:
- 构建邻接表和 DFS 遍历两棵树的时间均为
O(n + m)。 - 计算
res数组的时间为O(n)。 - 总时间复杂度为
O(n + m)。
- 构建邻接表和 DFS 遍历两棵树的时间均为
- 空间复杂度:
- 存储邻接表需要
O(n + m)。 - 存储颜色数组需要
O(n + m)。 - 其他临时空间为
O(1)。 - 总空间复杂度为
O(n + m)。
- 存储邻接表需要
Go完整代码如下:
.
package main
import (
"fmt"
)
func maxTargetNodes(edges1 [][]int, edges2 [][]int) []int {
var dfs func(node, parent, depth int, children [][]int, color []int) int
dfs = func(node, parent, depth int, children [][]int, color []int) int {
res := 1 - depth%2
color[node] = depth % 2
for _, child := range children[node] {
if child == parent {
continue
}
res += dfs(child, node, depth+1, children, color)
}
return res
}
build := func(edges [][]int, color []int) []int {
n := len(edges) + 1
children := make([][]int, n)
for _, edge := range edges {
u, v := edge[0], edge[1]
children[u] = append(children[u], v)
children[v] = append(children[v], u)
}
res := dfs(0, -1, 0, children, color)
return []int{res, n - res}
}
n := len(edges1) + 1
m := len(edges2) + 1
color1 := make([]int, n)
color2 := make([]int, m)
count1 := build(edges1, color1)
count2 := build(edges2, color2)
res := make([]int, n)
for i := 0; i < n; i++ {
res[i] = count1[color1[i]] + max(count2[0], count2[1])
}
return res
}
func main() {
edges1 := [][]int{{0, 1}, {0, 2}, {2, 3}, {2, 4}}
edges2 := [][]int{{0, 1}, {0, 2}, {0, 3}, {2, 7}, {1, 4}, {4, 5}, {4, 6}}
fmt.Println(maxTargetNodes(edges1, edges2))
}

Python完整代码如下:
.
# -*-coding:utf-8-*-
from typing import List
def max_target_nodes(edges1: List[List[int]], edges2: List[List[int]]) -> List[int]:
def dfs(node: int, parent: int, depth: int, children: List[List[int]], color: List[int]) -> int:
res = 1 - depth % 2
color[node] = depth % 2
for child in children[node]:
if child == parent:
continue
res += dfs(child, node, depth + 1, children, color)
return res
def build(edges: List[List[int]], color: List[int]) -> List[int]:
n = len(edges) + 1
children = [[] for _ in range(n)]
for u, v in edges:
children[u].append(v)
children[v].append(u)
res = dfs(0, -1, 0, children, color)
return [res, n - res]
def max_val(a: int, b: int) -> int:
return a if a > b else b
n = len(edges1) + 1
m = len(edges2) + 1
color1 = [0] * n
color2 = [0] * m
count1 = build(edges1, color1)
count2 = build(edges2, color2)
res = [0] * n
for i in range(n):
res[i] = count1[color1[i]] + max_val(count2[0], count2[1])
return res
if __name__ == '__main__':
edges1 = [[0, 1], [0, 2], [2, 3], [2, 4]]
edges2 = [[0, 1], [0, 2], [0, 3], [2, 7], [1, 4], [4, 5], [4, 6]]
print(max_target_nodes(edges1, edges2))

- 点赞
- 收藏
- 关注作者
评论(0)