2025-05-06:移除可疑的方法。用go语言,你负责维护一个包含 n 个方法(编号从 0 到 n - 1)的项目。 已知方法
2025-05-06:移除可疑的方法。用go语言,你负责维护一个包含 n 个方法(编号从 0 到 n - 1)的项目。
已知方法 k 存在一个已知 bug。基于此,方法 k 以及所有被它直接或间接调用的方法都被视为有问题的方法,需要从项目中删除。
给定 n、k 和一个调用关系数组 invocations,其中每个元素 [ai, bi] 表示方法 ai 调用了方法 bi。
只有当一组待删除的方法不被其他非该组的方法调用时,才允许将这组方法全部移除。
请返回删除所有可疑方法后,项目中剩余的方法列表(顺序不限)。如果无法完成全部可疑方法的删除,则不做任何删除,返回所有原有方法。
1 <= n <= 100000。
0 <= k <= n - 1。
0 <= invocations.length <= 2 * 100000。
invocations[i] == [ai, bi]。
0 <= ai, bi <= n - 1。
ai != bi。
invocations[i] != invocations[j]。
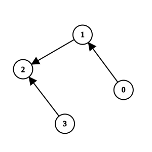
输入: n = 4, k = 1, invocations = [[1,2],[0,1],[3,2]]。
输出: [0,1,2,3]。
解释:

方法 2 和方法 1 是可疑方法,但它们分别直接被方法 3 和方法 0 调用。由于方法 3 和方法 0 不是可疑方法,我们无法移除任何方法,故返回所有方法。
题目来自leetcode3310。
分步骤描述过程:
-
构建调用图:
- 首先,根据给定的调用关系数组
invocations,构建一个有向图g,其中每个节点代表一个方法,边a -> b表示方法a调用了方法b。这里g是一个邻接表,g[x]存储所有被方法x直接调用的方法。
- 首先,根据给定的调用关系数组
-
标记可疑方法:
- 从已知的 bug 方法
k开始,进行深度优先搜索(DFS)或类似的遍历,标记所有直接或间接被k调用的方法为可疑方法。具体来说:- 初始化一个布尔数组
isSuspicious,长度为n,初始值为false。 - 从
k开始 DFS,对于当前方法x,标记isSuspicious[x] = true,然后递归遍历x调用的所有方法y。如果y未被标记为可疑,则继续 DFS。
- 初始化一个布尔数组
- 从已知的 bug 方法
-
检查是否可以移除可疑方法:
- 遍历所有调用关系
[a, b],检查是否存在以下情况:- 调用者
a不是可疑方法(isSuspicious[a] == false),但被调用的b是可疑方法(isSuspicious[b] == true)。
- 调用者
- 如果存在这样的调用关系,说明至少有一个非可疑方法调用了可疑方法,此时无法移除任何可疑方法,直接返回所有方法
[0, 1, ..., n-1]。
- 遍历所有调用关系
-
移除可疑方法:
- 如果没有发现非可疑方法调用可疑方法的情况,则可以安全移除所有可疑方法。此时,遍历
isSuspicious数组,将所有isSuspicious[i] == false的方法i加入结果列表。
- 如果没有发现非可疑方法调用可疑方法的情况,则可以安全移除所有可疑方法。此时,遍历
-
返回结果:
- 根据上述检查的结果,返回剩余的方法列表或所有方法。
示例分析:
对于输入 n = 4, k = 1, invocations = [[1,2],[0,1],[3,2]]:
- 构建调用图:
g[1] = [2](方法 1 调用方法 2)g[0] = [1](方法 0 调用方法 1)g[3] = [2](方法 3 调用方法 2)
- 标记可疑方法:
- 从
k = 1开始 DFS:- 标记
isSuspicious[1] = true,然后遍历g[1] = [2]。 - 标记
isSuspicious[2] = true,g[2]为空,结束。
- 标记
- 最终
isSuspicious = [false, true, true, false](方法 1 和方法 2 是可疑的)。
- 从
- 检查是否可以移除:
- 检查所有调用关系:
[0,1]:0不是可疑,1是可疑 → 无法移除。
- 因此直接返回
[0, 1, 2, 3]。
- 检查所有调用关系:
时间复杂度和空间复杂度:
- 时间复杂度:
- 构建调用图:遍历
invocations,时间复杂度为 O(M),其中 M 是invocations的长度。 - 标记可疑方法:DFS 或 BFS 遍历,每个节点和边最多访问一次,时间复杂度为 O(N + M)。
- 检查是否可以移除:遍历
invocations,时间复杂度为 O(M)。 - 总时间复杂度:O(N + M)。
- 构建调用图:遍历
- 空间复杂度:
- 调用图
g:存储所有边,空间复杂度为 O(N + M)。 isSuspicious数组:O(N)。- DFS 的递归栈或 BFS 的队列:最坏情况下为 O(N)。
- 总空间复杂度:O(N + M)。
- 调用图
总结:
- 时间复杂度:O(N + M)。
- 空间复杂度:O(N + M)。
Go完整代码如下:
package main
import (
"fmt"
)
func remainingMethods(n, k int, invocations [][]int) (ans []int) {
g := make([][]int, n)
for _, e := range invocations {
g[e[0]] = append(g[e[0]], e[1])
}
// 标记所有可疑方法
isSuspicious := make([]bool, n)
var dfs func(int)
dfs = func(x int) {
isSuspicious[x] = true
for _, y := range g[x] {
if !isSuspicious[y] { // 避免无限递归
dfs(y)
}
}
}
dfs(k)
// 检查是否有【非可疑方法】->【可疑方法】的边
for _, e := range invocations {
if !isSuspicious[e[0]] && isSuspicious[e[1]] {
// 无法移除可疑方法
for i := range n {
ans = append(ans, i)
}
return
}
}
// 移除所有可疑方法
for i, b := range isSuspicious {
if !b {
ans = append(ans, i)
}
}
return
}
func main() {
n := 4
k := 1
invocations := [][]int{{1, 2}, {0, 1}, {3, 2}}
result := remainingMethods(n, k, invocations)
fmt.Println(result)
}

Python完整代码如下:
# -*-coding:utf-8-*-
from typing import List
def remaining_methods(n: int, k: int, invocations: List[List[int]]) -> List[int]:
# 构建邻接表,表示调用关系
g = [[] for _ in range(n)]
for a, b in invocations:
g[a].append(b)
# 标记所有可疑方法
is_suspicious = [False] * n
def dfs(x: int):
is_suspicious[x] = True
for y in g[x]:
if not is_suspicious[y]:
dfs(y)
dfs(k)
# 检查是否有非可疑方法调用了可疑方法
for a, b in invocations:
if not is_suspicious[a] and is_suspicious[b]:
# 无法移除任何可疑方法,返回所有方法
return list(range(n))
# 移除所有可疑方法,返回剩余方法列表
return [i for i, suspicious in enumerate(is_suspicious) if not suspicious]
if __name__ == "__main__":
n = 4
k = 1
invocations = [[1, 2], [0, 1], [3, 2]]
result = remaining_methods(n, k, invocations)
print(result) # 输出结果

- 点赞
- 收藏
- 关注作者
评论(0)