【002-使用线性回归完成房价预测】
【摘要】 【002-使用线性回归完成房价预测】 前言 线性回归(Linear Regression)是机器学习和统计学中最基本的回归模型之一。它简单高效,适用于连续型变量预测问题,如房价预测、销售额估计等。本文将从理论讲解开始,逐步过渡到实践,带你完成一个基于线性回归的房价预测小项目。 一、理论基础 1.线性回归的概念线性回归通过建立目标变量(因变量)和一个或多个自变量(特征变量)之间的线性关系,预...
【002-使用线性回归完成房价预测】

前言
线性回归(Linear Regression)是机器学习和统计学中最基本的回归模型之一。它简单高效,适用于连续型变量预测问题,如房价预测、销售额估计等。本文将从理论讲解开始,逐步过渡到实践,带你完成一个基于线性回归的房价预测小项目。
一、理论基础
1.线性回归的概念
线性回归通过建立目标变量(因变量)和一个或多个自变量(特征变量)之间的线性关系,预测目标值。其数学公式为:

说明:
- y:目标变量(预测值)
- x:特征变量
- β :特征x 的权重(系数)
- 𝛽0 :截距
- ϵ:误差项
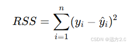
1.2 模型训练的核心
线性回归模型通过最小化残差平方和(Residual Sum of Squares, RSS)确定最佳系数:


目标是找到一组参数 𝛽,使得 RSS 最小
1.3 适用范围与局限性
- 适用范围:特征与目标之间关系较简单且呈现线性趋势。
- 局限性:对非线性关系表现欠佳,对异常值敏感,可能受到特征多重共线性的影响。
二、项目实战
1.项目概述
我们将使用一个虚拟的房价数据集,包含以下特征:
- 房屋面积(平方英尺)
- 卧室数量
- 房屋年龄 目标是根据这些特征预测房价。
2. 环境准备
代码如下(示例):
#使用Python 和相关库来实现
import numpy as np
import pandas as pd
from sklearn.model_selection import train_test_split
from sklearn.linear_model import LinearRegression
from sklearn.metrics import mean_squared_error
import matplotlib.pyplot as plt
3. 数据准备
创建一个虚拟数据集:
# 创建虚拟数据
data = {
'Area': [1200, 1500, 1800, 2500, 3000, 3500, 4000, 4500, 5000, 5500],
'Bedrooms': [2, 3, 3, 4, 4, 5, 5, 6, 6, 7],
'Age': [10, 15, 20, 5, 8, 12, 7, 3, 2, 1],
'Price': [200000, 250000, 300000, 400000, 450000, 500000, 550000, 600000, 650000, 700000]
}
df = pd.DataFrame(data)
# 查看数据
print(df.head())
4. 数据预处理
将数据分为特征(X)和目标(y),并划分为训练集和测试集:
# 特征和目标
X = df[['Area', 'Bedrooms', 'Age']]
y = df['Price']
# 数据集划分
X_train, X_test, y_train, y_test = train_test_split(X, y, test_size=0.2, random_state=42)
5. 模型训练
使用 scikit-learn 的 LinearRegression 模型进行训练:
# 创建模型
model = LinearRegression()
# 模型训练
model.fit(X_train, y_train)
# 查看训练好的参数
print("Intercept:", model.intercept_)
print("Coefficients:", model.coef_)
6. 模型评估
在测试集上进行预测并评估模型的性能:
# 模型预测
y_pred = model.predict(X_test)
# 性能评估
mse = mean_squared_error(y_test, y_pred)
print(f"Mean Squared Error: {mse:.2f}")
7. 可视化结果
# 可视化对比
plt.scatter(range(len(y_test)), y_test, color='blue', label='Actual')
plt.scatter(range(len(y_pred)), y_pred, color='red', label='Predicted')
plt.legend()
plt.xlabel('Sample Index')
plt.ylabel('Price')
plt.title('Actual vs Predicted House Prices')
plt.show()
总结
本次项目展示了如何使用线性回归模型完成房价预测。尽管线性回归简单有效,但在实际问题中,特征与目标变量可能呈现复杂的非线性关系。这时,可以考虑改用其他模型,如决策树、随机森林或深度学习。

、文章链接、文章作者等基本信息,否则作者和本社区有权追究责任。如果您发现本社区中有涉嫌抄袭的内容,欢迎发送邮件进行举报,并提供相关证据,一经查实,本社区将立刻删除涉嫌侵权内容,举报邮箱:
cloudbbs@huaweicloud.com
- 点赞
- 收藏
- 关注作者
评论(0)