C语言实例_双向链表增删改查
一、双向链表介绍
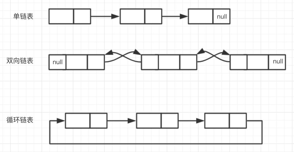
双向链表(Doubly Linked List)是一种常见的数据结构,在单链表的基础上增加了向前遍历的功能。与单向链表不同,双向链表的每个节点除了包含指向下一个节点的指针外,还包含指向前一个节点的指针。


作用和原理:
(1)插入和删除操作:由于双向链表中每个节点都有指向前一个节点的指针,所以在双向链表中进行插入或删除操作时,相对于单向链表更加高效。可以通过修改前后节点的指针来完成插入和删除,而无需遍历链表。
(2)双向遍历:双向链表支持从头部到尾部以及从尾部到头部的双向遍历。这在某些场景下非常有用,例如需要反向查找、删除最后一个节点等。
(3)增加了灵活性:由于每个节点都具有指向前一个节点和后一个节点的指针,双向链表在某些特定场景下更灵活。例如,需要在链表中间插入或删除节点,或者需要修改前一个节点的信息。
双向链表的原理很简单。每个节点由数据域和两个指针组成,其中一个指针指向前一个节点,一个指针指向后一个节点。头节点指向链表的第一个节点,尾节点指向链表的最后一个节点。通过调整节点之间的指针,可以在双向链表中执行插入、删除和遍历等操作。
使用场景:
(1)编辑器中的撤销和重做功能:双向链表可以用于实现撤销和重做功能,每次编辑操作都将其结果存储为一个节点,并使用指针链接起来。通过双向链表,可以方便地在撤销和重做之间进行切换。
(2)浏览器的导航历史:浏览器的导航历史可以使用双向链表来保存已访问的页面,每个页面作为一个节点,并使用指针链接起来,以便进行前进和后退操作。
(3)实现LRU缓存替换算法:LRU缓存中,最近最少使用的数据被淘汰,可以使用双向链表来维护缓存中的数据,最近访问的数据位于链表的头部,最久未访问的数据位于链表的尾部。
(4)实现双向队列:双向链表可以用于实现双向队列(Dequeue),支持在队列的两端进行插入和删除操作。
双向链表提供了更多的灵活性和功能,特别是当需要在双向遍历、频繁的插入和删除操作等场景下使用。在许多常见的数据结构和算法中都有广泛的应用。
二、代码实现
以下是使用C语言实现的完整双向链表代码,包含了链表的创建、增加、删除、修改、排序和插入等功能。代码中封装了一套完整的子函数,以方便使用。
#include <stdio.h>
#include <stdlib.h>
// 双向链表节点结构
typedef struct Node {
int data; // 数据域
struct Node* prev; // 指向前一个节点的指针
struct Node* next; // 指向后一个节点的指针
} Node;
// 创建新节点
Node* createNode(int data) {
Node* newNode = (Node*)malloc(sizeof(Node));
if (newNode == NULL) {
printf("Failed to allocate memory for new node\n");
return NULL;
}
newNode->data = data;
newNode->prev = NULL;
newNode->next = NULL;
return newNode;
}
// 在链表末尾添加节点
void append(Node** head, int data) {
Node* newNode = createNode(data);
if (newNode == NULL) {
return;
}
if (*head == NULL) {
*head = newNode;
} else {
Node* current = *head;
while (current->next != NULL) { // 找到链表末尾
current = current->next;
}
current->next = newNode;
newNode->prev = current;
}
}
// 在链表头部添加节点
void prepend(Node** head, int data) {
Node* newNode = createNode(data);
if (newNode == NULL) {
return;
}
if (*head == NULL) {
*head = newNode;
} else {
newNode->next = *head;
(*head)->prev = newNode;
*head = newNode;
}
}
// 在指定位置插入节点
void insert(Node** head, int data, int position) {
if (position < 0) {
printf("Invalid position\n");
return;
}
if (position == 0) {
prepend(head, data);
return;
}
Node* newNode = createNode(data);
if (newNode == NULL) {
return;
}
Node* current = *head;
int count = 0;
while (count < (position - 1) && current != NULL) { // 找到插入位置前一个节点
current = current->next;
count++;
}
if (current == NULL) {
printf("Invalid position\n");
free(newNode);
return;
}
newNode->next = current->next;
newNode->prev = current;
if (current->next != NULL) {
current->next->prev = newNode;
}
current->next = newNode;
}
// 删除指定位置的节点
void removeAt(Node** head, int position) {
if (*head == NULL) {
printf("List is empty\n");
return;
}
if (position < 0) {
printf("Invalid position\n");
return;
}
Node* current = *head;
int count = 0;
if (position == 0) {
*head = current->next;
if (*head != NULL) {
(*head)->prev = NULL;
}
free(current);
return;
}
while (count < position && current != NULL) { // 找到要删除的节点
current = current->next;
count++;
}
if (current == NULL) {
printf("Invalid position\n");
return;
}
current->prev->next = current->next;
if (current->next != NULL) {
current->next->prev = current->prev;
}
free(current);
}
// 修改指定位置的节点值
void modify(Node* head, int position, int data) {
Node* current = head;
int count = 0;
while (count < position && current != NULL) { // 找到要修改的节点
current = current->next;
count++;
}
if (current == NULL) {
printf("Invalid position\n");
return;
}
current->data = data;
}
// 对链表进行排序
void sort(Node** head) {
if (*head == NULL) {
printf("List is empty\n");
return;
}
Node* current = *head;
Node* temp = NULL;
int swapped;
do {
swapped = 0;
current = *head;
while (current->next != NULL) {
if (current->data > current->next->data) {
int tmp = current->data;
current->data = current->next->data;
current->next->data = tmp;
swapped = 1;
}
current = current->next;
}
temp = current;
} while (swapped);
}
// 打印链表
void printList(Node* head) {
if (head == NULL) {
printf("List is empty\n");
return;
}
Node* current = head;
while (current != NULL) {
printf("%d ", current->data);
current = current->next;
}
printf("\n");
}
// 释放链表内存
void freeList(Node** head) {
if (*head == NULL) {
return;
}
Node* current = *head;
Node* next = NULL;
while (current != NULL) {
next = current->next;
free(current);
current = next;
}
*head = NULL;
}
int main() {
Node* head = NULL;
append(&head, 5);
append(&head, 3);
prepend(&head, 9);
insert(&head, 7, 1);
removeAt(&head, 2);
modify(head, 0, 2);
sort(&head);
printList(head);
freeList(&head);
return 0;
}
代码里实现了创建双向链表、在链表末尾添加节点、在链表头部添加节点、在指定位置插入节点、删除指定位置的节点、修改指定位置的节点值、对链表进行排序、打印链表及释放链表内存等功能。
三、思路讲解
代码里定义了一个双向链表节点结构,包含数据域(data)、指向前一个节点的指针(prev)和指向后一个节点的指针(next)。
typedef struct Node {
int data;
struct Node* prev;
struct Node* next;
} Node;
(1)createNode函数用于创建新节点。分配内存以存储节点,并检查内存分配是否成功。设置节点的数据域为传入的数据,并将前一个节点和后一个节点的指针都设置为NULL。最后,返回新创建的节点的指针。
(2)append函数用于在链表末尾添加节点。首先调用createNode函数创建一个新节点。如果头节点为空,则将新节点设置为头节点。否则,遍历链表直到找到最后一个节点,将新节点连接到最后一个节点的下一个位置,并设置新节点的prev指针指向最后一个节点。
(3)prepend函数用于在链表头部添加节点。首先,调用createNode函数创建一个新节点。如果头节点为空,则将新节点设置为头节点。否则,将新节点的next指针指向当前的头节点,将当前头节点的prev指针指向新节点,然后将新节点设置为头节点。
(4)insert函数用于在指定位置插入节点。首先,检查插入位置是否合法。如果插入位置为0,则调用prepend函数在链表头部插入节点。否则,调用createNode函数创建一个新节点,然后遍历链表直到找到插入位置前一个节点,将新节点插入到这两个节点之间,即将新节点的next指针指向前一个节点的next指针所指向的节点,将新节点的prev指针指向前一个节点,然后更新新节点两侧节点的指针。
(5)removeAt函数用于删除指定位置的节点。首先,检查链表是否为空。如果链表为空,则输出相应的提示信息。如果要删除的位置为0,即删除头节点,需要特殊处理,即将头节点的下一个节点设置为新的头节点,并将新的头节点的prev指针设置为NULL。否则,遍历链表直到找到要删除的节点,将要删除节点的前一个节点的next指针指向要删除节点的下一个节点,然后更新两侧节点的指针。
(6)modify函数用于修改指定位置的节点值。首先,遍历链表直到找到要修改的节点,然后将该节点的数据域设置为传入的新数据。
(7)sort函数用于对链表进行排序。首先,检查链表是否为空。如果链表为空,则输出相应的提示信息。使用冒泡排序算法,重复遍历链表并比较相邻节点的值,如果前一个节点的值大于后一个节点的值,则交换它们的值。重复此过程,直到链表没有发生交换为止。
(8)printList函数用于打印链表中的所有节点的值。首先,检查链表是否为空。如果链表为空,则输出相应的提示信息。遍历链表的每个节点,并输出节点中存储的数据。
(9)freeList函数用于释放链表的内存。首先,检查链表是否为空。如果链表为空,则直接返回。遍历链表的每个节点,使用free函数释放节点的内存,并将节点指针设为NULL,最后将头节点指针设为NULL。
- 点赞
- 收藏
- 关注作者
评论(0)