刷图论第五期:Kruskal 最小生成树算法
图论中知名度比较高的算法应该就是 Dijkstra 最短路径算法,环检测和拓扑排序,二分图判定算法 以及今天要讲的最小生成树(Minimum Spanning Tree)算法了。
最小生成树算法主要有 Prim 算法(普里姆算法)和 Kruskal 算法(克鲁斯卡尔算法)两种,这两种算法虽然都运用了贪心思想,但从实现上来说差异还是蛮大的,本文先来讲 Kruskal 算法,Prim 算法另起一篇文章写。
Kruskal 算法其实很容易理解和记忆,其关键是要熟悉并查集算法,如果不熟悉,建议先看下前文 Union-Find 并查集算法。
接下来,我们从最小生成树的定义说起。
什么是最小生成树
先说「树」和「图」的根本区别:树不会包含环,图可以包含环。
如果一幅图没有环,完全可以拉伸成一棵树的模样。说的专业一点,树就是「无环连通图」。
那么什么是图的「生成树」呢,其实按字面意思也好理解,就是在图中找一棵包含图中的所有节点的树。专业点说,生成树是含有图中所有顶点的「无环连通子图」。
容易想到,一幅图可以有很多不同的生成树,比如下面这幅图,红色的边就组成了两棵不同的生成树:

对于加权图,每条边都有权重,所以每棵生成树都有一个权重和。比如上图,右侧生成树的权重和显然比左侧生成树的权重和要小。
那么最小生成树很好理解了,所有可能的生成树中,权重和最小的那棵生成树就叫「最小生成树」。
PS:一般来说,我们都是在无向加权图中计算最小生成树的,所以使用最小生成树算法的现实场景中,图的边权重一般代表成本、距离这样的标量。
在讲 Kruskal 算法之前,需要回顾一下 Union-Find 并查集算法。
Union-Find 并查集算法
刚才说了,图的生成树是含有其所有顶点的「无环连通子图」,最小生成树是权重和最小的生成树。
那么说到连通性,相信老读者应该可以想到 Union-Find 并查集算法,用来高效处理图中联通分量的问题。
前文 Union-Find 并查集算法详解 详细介绍了 Union-Find 算法的实现原理,主要运用size数组和路径压缩技巧提高连通分量的判断效率。
如果不了解 Union-Find 算法的读者可以去看前文,为了节约篇幅,本文直接给出 Union-Find 算法的实现:
class UF {
// 连通分量个数
private int count;
// 存储一棵树
private int[] parent;
// 记录树的「重量」
private int[] size;
// n 为图中节点的个数
public UF(int n) {
this.count = n;
parent = new int[n];
size = new int[n];
for (int i = 0; i < n; i++) {
parent[i] = i;
size[i] = 1;
}
}
// 将节点 p 和节点 q 连通
public void union(int p, int q) {
int rootP = find(p);
int rootQ = find(q);
if (rootP == rootQ)
return;
// 小树接到大树下面,较平衡
if (size[rootP] > size[rootQ]) {
parent[rootQ] = rootP;
size[rootP] += size[rootQ];
} else {
parent[rootP] = rootQ;
size[rootQ] += size[rootP];
}
// 两个连通分量合并成一个连通分量
count--;
}
// 判断节点 p 和节点 q 是否连通
public boolean connected(int p, int q) {
int rootP = find(p);
int rootQ = find(q);
return rootP == rootQ;
}
// 返回节点 x 的连通分量根节点
private int find(int x) {
while (parent[x] != x) {
// 进行路径压缩
parent[x] = parent[parent[x]];
x = parent[x];
}
return x;
}
// 返回图中的连通分量个数
public int count() {
return count;
}
}
前文 Union-Find 并查集算法运用 介绍过 Union-Find 算法的一些算法场景,而它在 Kruskal 算法中的主要作用是保证最小生成树的合法性。
因为在构造最小生成树的过程中,你首先得保证生成的那玩意是棵树(不包含环)对吧,那么 Union-Find 算法就是帮你干这个事儿的。
怎么做到的呢?先来看看力扣第 261 题「以图判树」,我描述下题目:
给你输入编号从0到n - 1的n个结点,和一个无向边列表edges(每条边用节点二元组表示),请你判断输入的这些边组成的结构是否是一棵树。
函数签名如下:
boolean validTree(int n, int[][] edges);
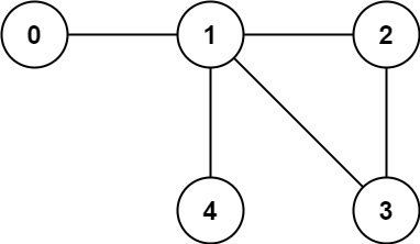
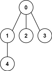
比如输入如下:
n = 5
edges = [[0,1], [0,2], [0,3], [1,4]]
这些边构成的是一棵树,算法应该返回 true:

但如果输入:
n = 5
edges = [[0,1],[1,2],[2,3],[1,3],[1,4]]
形成的就不是树结构了,因为包含环:

对于这道题,我们可以思考一下,什么情况下加入一条边会使得树变成图(出现环)?
显然,像下面这样添加边会出现环:

而这样添加边则不会出现环:

总结一下规律就是:
对于添加的这条边,如果该边的两个节点本来就在同一连通分量里,那么添加这条边会产生环;反之,如果该边的两个节点不在同一连通分量里,则添加这条边不会产生环。
而判断两个节点是否连通(是否在同一个连通分量中)就是 Union-Find 算法的拿手绝活,所以这道题的解法代码如下:
// 判断输入的若干条边是否能构造出一棵树结构
boolean validTree(int n, int[][] edges) {
// 初始化 0...n-1 共 n 个节点
UF uf = new UF(n);
// 遍历所有边,将组成边的两个节点进行连接
for (int[] edge : edges) {
int u = edge[0];
int v = edge[1];
// 若两个节点已经在同一连通分量中,会产生环
if (uf.connected(u, v)) {
return false;
}
// 这条边不会产生环,可以是树的一部分
uf.union(u, v);
}
// 要保证最后只形成了一棵树,即只有一个连通分量
return uf.count() == 1;
}
class UF {
// 见上文代码实现
}
如果你能够看懂这道题的解法思路,那么掌握 Kruskal 算法就很简单了。
Kruskal 算法
所谓最小生成树,就是图中若干边的集合(我们后文称这个集合为mst,最小生成树的英文缩写),你要保证这些边:
1、包含图中的所有节点。
2、形成的结构是树结构(即不存在环)。
3、权重和最小。
有之前题目的铺垫,前两条其实可以很容易地利用 Union-Find 算法做到,关键在于第 3 点,如何保证得到的这棵生成树是权重和最小的。
这里就用到了贪心思路:
将所有边按照权重从小到大排序,从权重最小的边开始遍历,如果这条边和mst中的其它边不会形成环,则这条边是最小生成树的一部分,将它加入mst集合;否则,这条边不是最小生成树的一部分,不要把它加入mst集合。
这样,最后mst集合中的边就形成了最小生成树,下面我们看两道例题来运用一下 Kruskal 算法。
第一题是力扣第 1135 题「最低成本联通所有城市」,这是一道标准的最小生成树问题:

每座城市相当于图中的节点,连通城市的成本相当于边的权重,连通所有城市的最小成本即是最小生成树的权重之和。
int minimumCost(int n, int[][] connections) {
// 城市编号为 1...n,所以初始化大小为 n + 1
UF uf = new UF(n + 1);
// 对所有边按照权重从小到大排序
Arrays.sort(connections, (a, b) -> (a[2] - b[2]));
// 记录最小生成树的权重之和
int mst = 0;
for (int[] edge : connections) {
int u = edge[0];
int v = edge[1];
int weight = edge[2];
// 若这条边会产生环,则不能加入 mst
if (uf.connected(u, v)) {
continue;
}
// 若这条边不会产生环,则属于最小生成树
mst += weight;
uf.union(u, v);
}
// 保证所有节点都被连通
// 按理说 uf.count() == 1 说明所有节点被连通
// 但因为节点 0 没有被使用,所以 0 会额外占用一个连通分量
return uf.count() == 2 ? mst : -1;
}
class UF {
// 见上文代码实现
}
这道题就解决了,整体思路和上一道题非常类似,你可以认为树的判定算法加上按权重排序的逻辑就变成了 Kruskal 算法。
再来看看力扣第 1584 题「连接所有点的最小费用」:

比如题目给的例子:
points = [[0,0],[2,2],[3,10],[5,2],[7,0]]
算法应该返回 20,按如下方式连通各点:

很显然这也是一个标准的最小生成树问题:每个点就是无向加权图中的节点,边的权重就是曼哈顿距离,连接所有点的最小费用就是最小生成树的权重和。
所以解法思路就是先生成所有的边以及权重,然后对这些边执行 Kruskal 算法即可:
int minCostConnectPoints(int[][] points) {
int n = points.length;
// 生成所有边及权重
List<int[]> edges = new ArrayList<>();
for (int i = 0; i < n; i++) {
for (int j = i + 1; j < n; j++) {
int xi = points[i][0], yi = points[i][1];
int xj = points[j][0], yj = points[j][1];
// 用坐标点在 points 中的索引表示坐标点
edges.add(new int[] {
i, j, Math.abs(xi - xj) + Math.abs(yi - yj)
});
}
}
// 将边按照权重从小到大排序
Collections.sort(edges, (a, b) -> {
return a[2] - b[2];
});
// 执行 Kruskal 算法
int mst = 0;
UF uf = new UF(n);
for (int[] edge : edges) {
int u = edge[0];
int v = edge[1];
int weight = edge[2];
// 若这条边会产生环,则不能加入 mst
if (uf.connected(u, v)) {
continue;
}
// 若这条边不会产生环,则属于最小生成树
mst += weight;
uf.union(u, v);
}
return mst;
}
这道题做了一个小的变通:每个坐标点是一个二元组,那么按理说应该用五元组表示一条带权重的边,但这样的话不便执行 Union-Find 算法;所以我们用 points 数组中的索引代表每个坐标点,这样就可以直接复用之前的 Kruskal 算法逻辑了。
通过以上三道算法题,相信你已经掌握了 Kruskal 算法,主要的难点是利用 Union-Find 并查集算法向最小生成树中添加边,配合排序的贪心思路,从而得到一棵权重之和最小的生成树。
最后说下 Kruskal 算法的复杂度分析:
假设一幅图的节点个数为V,边的条数为E,首先需要O(E)的空间装所有边,而且 Union-Find 算法也需要O(V)的空间,所以 Kruskal 算法总的空间复杂度就是O(V + E)。
时间复杂度主要耗费在排序,需要O(ElogE)的时间,Union-Find 算法所有操作的复杂度都是O(1),套一个 for 循环也不过是O(E),所以总的时间复杂度为O(ElogE)。
本文就到这里,关于这种贪心思路的简单证明以及 Prim 最小生成树算法,我们留到后续的文章再聊。
- 点赞
- 收藏
- 关注作者
评论(0)