秒懂算法 | 图论
图论是一个“巨大”的专题,有大量的知识点,有众多广为人知的问题,有复杂的应用场景。
图论算法常常建立在复杂的数据结构之上。本文讲解了基础的图论考点,帮助读者了解图论专题。
在对图进行操作之前需要先存储图。图的存储方法有3种:邻接矩阵、邻接表、链式前向星。邻接矩阵用空间换取时间,代码极为简单且访问效率高,但是只能用于小图。邻接表的存储效率高且代码简单,是最常见的存储方法。链式前向星是最节省空间的存储方法,不过代码稍微复杂一点。
01、邻接矩阵
直接用矩阵graphN存储边,N为节点总数,节点的编号范围是0~N-1。如果希望节点编号范围为1~N,那么定义矩阵graphN+1。若i和j是直连的邻居,用graphi表示边(i,j)的权值;若i和j不直连,不是邻居,一般把graphi赋值为无穷大(INF)。在稠密图中,大部分点之间有边,此时graph[][]大部分是权值;在稀疏图中,大部分点之间没有边,此时graph[][]大部分是INF。一般情况下,只需要存储存在的边的权值,不存在的边并不需要存储,所以邻接矩阵适合稠密图,不适合稀疏图。
邻接矩阵的存储空间大小为N2,如当N=5000时,N2=25000000。
邻接矩阵的优点很多:①简单直接,编程极简;②查找边(i,j)非常快,复杂度为O(1);③适合稠密图。邻接矩阵的缺点是:①在表示稀疏图时十分浪费空间;②边有多个权值时不能存储,即不能存储重边。
矩阵能表示有向边或无向边。若是无向图,可以定义边(i,j)的权值为graphi=graphi;若是有向图,graphi是边i->j的权值,graphi是边j->i的权值。
02、邻接表
为解决邻接矩阵浪费空间的问题,可以使用邻接表。所谓邻接表,即每个节点只存储它的直连邻居,一般用链表存储这些邻居。规模大的稀疏图一般用邻接表,因为非直连的节点不用存储,所以节省了空间,存储效率非常高,存储复杂度为O(n+m),n为节点数量,m为边数,几乎已经达到了最优的复杂度,而且能存储重边。邻接表的缺点是找一个节点的邻居时,需要逐个遍历它的邻接表,速度不如邻接矩阵快,不过邻居的数量一般不多,影响不大。
常用STL vector实现邻接表。
struct edge{ //定义边
int from, to, w; //边:起点from,终点to,权值w
edge(int a, int b,int c){from=a; to=b; w=c;} //对边赋值
};
vector<edge> e[N]; //e[i]:存第i个结点连接的所有的边
//初始化:
for(int i=1; i<=n; i++)
e[i].clear();
//存边:
e[a].push_back(edge(a,b,c)); // 把边(a,b) 存到结点a的邻接表中
//遍历结点u的所有邻居:
for(int i=0; i < e[u].size(); i++) { //结点u的邻居有e[u].size()个
//for(int v : e[u]) //上一行的简单写法。见5.6节洛谷P1352和10.6节洛谷P2607的代码
int v = e[u][i].to, w = e[u][i].w;
…
}
提示/
本文分析图算法复杂度时,用n表示点的数量,m表示边的数量。
03、链式前向星
分析邻接表的组成,存储一个结点u的邻接边,其方法的关键是:先定位第1个边,第1个边再指向第2个边,第2个边再指向第3个边......根据这个分析,可以设计一种极为紧凑、没有任何空间浪费、编码非常简单的存图方法。用图1的例子说明,图中没有标注边权。

■ 图1 有向图例子
图2是生成的存储空间。head[]是一个静态数组,u是结点编号,head[u]指向u的一个邻居的存储位置。struct edge是一个结构静态数组,edge[i].to存储邻居结点编号,edge[i].next指向下一个邻居结点的存储位置。

■ 图2 链式前向星存图
以结点2为例,从点2出发的边有4条(2-1)、(2-3)、(2-4)、(2-5),邻居是1、3、4、5。
(1)定位第1个边。用head[]数组实现,head[2]指向结点2的第1个边,head[2] = 8,它存储在edge[8]这个位置。
(2)定位其他边。用struct edge的next参数,指向下一个边。edge[8].next= 6,指向下一个边在edge[6]这个位置;然后edge[6].next = 4;edge[4].next =1;最后edge[1].next = -1,-1表示结束。
struct edge的to参数记录这个边的邻居结点。例如edge[8].to = 5,第一个邻居是点5;然后继续通过to找其他邻居,edge[6].to = 4,edge[4].to = 3,edge[1].to = 1,得到邻居1、3、4、5。
上述存储方法被称为“链式前向星”,是空间效率最高的存储方法,因为它用静态数组模拟邻接表,没有任何浪费。
下面的代码用函数addedge()存一条新的边。按以下顺序存储图中所有的边:(1-2)、(2-1)、(5-2)、(6-3)、(2-3)、(1-4)、(2-4)、(4-1)、(2-5)、(4-5)、(5-6),得到图10.2。输入的顺序会影响存储的位置。从执行过程可知,每加入一个新的边,都是根据递增的cnt直接存在edge[]的末尾空位置。代码中的from表示边(u, v)的起点u,一般情况下可以省去,因为head[u]的u就是起点,查u的邻居时,u本身是已知的。
#include<bits/stdc++.h>
using namespace std;
const int N = 1e6+5, M = 2e6+5; //1百万个点,2百万条边
int head[N],cnt; //cnt记录当前存储位置
struct {
int from, to, next; //from=边的起点u;to=边的终点v;next = u的下一个邻居
int w; //边权,根据题目设定有int,double等类型
}edge[M]; //存边
void init(){ //链式前向星初始化
for(int i=0; i<N; ++i) head[i] = -1; //点初始化
for(int i=0; i<M; ++i) edge[i].next = -1; //边初始化
cnt = 0;
}
void addedge(int u, int v, int w){ //前向星存边(u,v),边的权值为w
edge[cnt].from = u; //一般情况下,这一句是多余的。
edge[cnt].to = v;
edge[cnt].w = w;
edge[cnt].next = head[u];
head[u] = cnt++;
}
int main(){
init(); //前向星初始化
int n, m; cin>>n>>m; // 输入n个点,m条边
for(int i=0;i<m;i++){int u,v,w; cin>>u>>v>>w; addedge(u,v,w);} //存m条有向边
for(int i=0;i<=n;i++) printf("h[%d]=%d,",i,head[i]); printf("\n"); //打印head[]
for(int i=0;i<m;i++) printf("e[%d].to=%d,",i,edge[i].to); printf("\n"); //打印edge[].to
for(int i=0;i<m;i++) printf("e[%d].nex=%d,",i,edge[i].next); printf("\n"); //打印edge[].next
for(int i=head[2]; ~i; i=edge[i].next) //遍历结点2的所有邻居。~i可写为i!=-1
printf("%d ",edge[i].to); //printf("%d-%d ",edge[i].from,edge[i].to);
return 0;
}
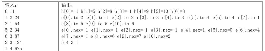
下面是输入和输出的例子:

代码中的cnt指示当前存储位置。一般来说cnt的初值没有关系,不过,在“10.10.3 Dinic算法”中用链式前向星来存储“奇偶边”,cnt的初值需要定义为奇数。
示/
上面代码默认结点编号范围是1 ~ n,但有的题目是0 ~ n-1,请根据情况灵活处理。
上面的链式前向星代码可以简化,在以下代码中,用0而不是-1表示空,这样做能省去init()函数。本书部分图论例题采用了这个写法。
#include<bits/stdc++.h>
using namespace std;
const int N = 1e6+5, M = 2e6+5; //1百万个点,2百万个边
int cnt=0,head[N]; //cnt等于其他值也行,根据题目要求赋值
struct {int to, next, w;} edge[M];
void addedge(int u,int v,int w) {
cnt++;
edge[cnt].to = v;
edge[cnt].w = w;
edge[cnt].next = head[u];
head[u] = cnt;
}
int main() {
int n, m; cin>>n>>m;
for(int i=0;i<m;i++){int u,v,w; cin>>u>>v>>w; addedge(u,v,w);}
for(int i=head[2]; i>0; i=edge[i].next) //遍历结点2的所有邻居
printf("%d ",edge[i].to); //输出:5 4 3 1
return 0;
}
提示/
除了这三种存图方法,其实还有别的方法。例如一种极为简单的存图方法:直接用一个结构体数组存所有的边。这个方法的优点是省空间,缺点是无法快速查某个边。它也有自己的应用场景,见“10.8.4 Bellman-ford”、“10.9.1 Kruskal算法”,在这两个算法中不需要查特定的边。
华为开发者空间发布
让每位开发者拥有一台云主机
- 点赞
- 收藏
- 关注作者
评论(0)