算法题解—插入区间、杨辉三角、移除链表元素
【摘要】 插入区间给你一个** 无重叠的**_ ,_按照区间起始端点排序的区间列表。在列表中插入一个新的区间,你需要确保列表中的区间仍然有序且不重叠(如果有必要的话,可以合并区间)。示例 1:输入:intervals = [[1,3],[6,9]], newInterval = [2,5]输出:[[1,5],[6,9]]示例 2:输入:intervals = [[1,2],[3,5],[6,7],[...
插入区间
给你一个** 无重叠的**_ ,_按照区间起始端点排序的区间列表。
在列表中插入一个新的区间,你需要确保列表中的区间仍然有序且不重叠(如果有必要的话,可以合并区间)。
示例 1:
输入:intervals = [[1,3],[6,9]], newInterval = [2,5]
输出:[[1,5],[6,9]]
示例 2:
输入:intervals = [[1,2],[3,5],[6,7],[8,10],[12,16]], newInterval = [4,8]
输出:[[1,2],[3,10],[12,16]]
解释:这是因为新的区间 [4,8] 与 [3,5],[6,7],[8,10] 重叠。
示例 3:
输入:intervals = [], newInterval = [5,7]
输出:[[5,7]]
示例 4:
输入:intervals = [[1,5]], newInterval = [2,3]
输出:[[1,5]]
示例 5:
输入:intervals = [[1,5]], newInterval = [2,7]
输出:[[1,7]]
提示:
- 0 <= intervals.length <= 104
- intervals[i].length == 2
- 0 <= intervals[i][0] <= intervals[i][1] <= 105
- intervals 根据 intervals[i][0] 按 升序 排列
- newInterval.length == 2
- 0 <= newInterval[0] <= newInterval[1] <= 105
public class Interval {
int start;
int end;
Interval() {
start = 0;
end = 0;
}
Interval(int s, int e) {
start = s;
end = e;
}
}
class Solution {
public int[][] insert(int[][] intervals, int[] newInterval) {
int[][] newIntervals = new int[intervals.length + 1][];
System.arraycopy(intervals, 0, newIntervals, 0, intervals.length);
newIntervals[intervals.length] = newInterval;
Arrays.sort(newIntervals, (a, b) -> a[0] - b[0]);
Stack<int[]> stack = new Stack<>();
for (int[] num : newIntervals) {
if (stack.isEmpty()) {
stack.push(num);
continue;
}
int[] arr = stack.peek();
if (arr[1] >= num[0]) {
int[] combine = { arr[0], Math.max(arr[1], num[1]) };
stack.pop();
stack.push(combine);
} else {
stack.push(num);
}
}
return stack.toArray(new int[0][]);
}
}
杨辉三角
给定一个非负整数 _numRows,_生成「杨辉三角」的前 _numRows _行。
在「杨辉三角」中,每个数是它左上方和右上方的数的和。

示例 1:
输入: numRows = 5 输出: [[1],[1,1],[1,2,1],[1,3,3,1],[1,4,6,4,1]]
示例 2:
输入: numRows = 1 输出: [[1]]
提示:
- 1 <= numRows <= 30
class Solution {
public List<List<Integer>> generate(int numRows) {
List<List<Integer>> res = new ArrayList<List<Integer>>();
if (numRows == 0) {
return res;
}
for (int i = 0; i < numRows; ++i) {
List<Integer> temp = new ArrayList<Integer>();
for (int j = 0; j <= i; ++j) {
temp.add(numberget(i, j));
}
res.add(temp);
}
return res;
}
public int numberget(int i, int j) {
if (j == 0 || i == j) {
return 1;
} else {
return (numberget(i - 1, j - 1) + numberget(i - 1, j));
}
}
}
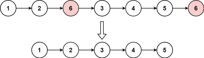
移除链表元素
给你一个链表的头节点 head 和一个整数 val ,请你删除链表中所有满足 Node.val == val 的节点,并返回 新的头节点 。
示例 1:

输入:head = [1,2,6,3,4,5,6], val = 6 输出:[1,2,3,4,5]
示例 2:
输入:head = [], val = 1 输出:[]
示例 3:
输入:head = [7,7,7,7], val = 7 输出:[]
提示:
- 列表中的节点数目在范围 [0, 104] 内
- 1 <= Node.val <= 50
- 0 <= val <= 50
public class ListNode {
int val;
ListNode next;
ListNode(int x) {
val = x;
}
}
class Solution {
public ListNode removeElements(ListNode head, int val) {
ListNode top = new ListNode(0);
top.next = head;
ListNode pre = top;
ListNode temp = head;
while (temp != null) {
if (temp.val == val)
pre.next = temp.next;
else
pre = temp;
temp = temp.next;
}
return top.next;
}
}
本文内容到此结束了,
如有收获欢迎点赞👍收藏💖关注✔️,您的鼓励是我最大的动力。
如有错误❌疑问💬欢迎各位大佬指出。
保持热爱,奔赴下一场山海。🏃🏃🏃
【声明】本内容来自华为云开发者社区博主,不代表华为云及华为云开发者社区的观点和立场。转载时必须标注文章的来源(华为云社区)、文章链接、文章作者等基本信息,否则作者和本社区有权追究责任。如果您发现本社区中有涉嫌抄袭的内容,欢迎发送邮件进行举报,并提供相关证据,一经查实,本社区将立刻删除涉嫌侵权内容,举报邮箱:
cloudbbs@huaweicloud.com
- 点赞
- 收藏
- 关注作者
评论(0)