【算法刷题日记之本手篇】二叉树的遍历(前中后层序)
⭐️二叉树的前中后序遍历⭐️
🔐题目详情
前序遍历
给你二叉树的根节点 root ,返回它节点值的 前序 遍历。
数据范围:二叉树的节点数量满足 1≤n≤100 ,二叉树节点的值满足1≤val≤100 ,树的各节点的值各不相同
示例 1:

示例1
输入:
{1,#,2,3}
返回值:
[1,2,3]
中序遍历
给定一个二叉树的根节点root,返回它的中序遍历结果。
数据范围:树上节点数满足0≤n≤1000,树上每个节点的值满足 −1000≤val≤1000
进阶:空间复杂度 O*(n),时间复杂度 O(n)
示例1
输入:
{1,2,#,#,3}
返回值:
[2,3,1]
说明:

示例2
输入:
{}
返回值:
[]
示例3
输入:
{1,2}
返回值:
[2,1]
说明:

示例4
输入:
{1,#,2}
返回值:
[1,2]
说明:

备注:
树中节点数目在范围 [0, 100] 内
树中的节点的值在[-100,100]以内
后序遍历
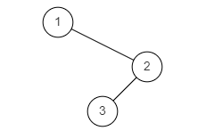
给定一个二叉树,返回他的后序遍历的序列。
后序遍历是值按照 左节点->右节点->根节点 的顺序的遍历。
数据范围:二叉树的节点数量满足1≤n≤100 ,二叉树节点的值满足1≤val≤100 ,树的各节点的值各不相同
样例图

示例1
输入:
{1,#,2,3}
返回值:
[3,2,1]
说明:
如题面图
示例2
输入:
{1}
返回值:
[1]
题目链接:二叉树的前中后序遍历
题目链接:二叉树的中序遍历
题目链接:二叉树的后序遍历
💡解题思路
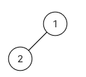
所谓前序遍历,也叫做先序遍历,是按照二叉树搜索路径先获取根结点数据,再获取左子树数据,最后获取右子树数据。
前序遍历三部曲:
- 访问根结点;
- 前序遍历左子树;
- 前序遍历右子树。
如下图这样一棵二叉树:

前序遍历的顺序是:
递归实现:
递归条件:如果结点root为空,则返回。
(1)获取并保存根结点数据。
(2)前序遍历左子树,并保存结果。
(3)前序遍历右子树,并保存结果。
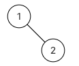
所谓中序遍历,就是按照二叉树搜索路径先获取左子树数据,再获取根结点数据,最后获取右子树数据。
中序遍历三部曲:
- 中序遍历左子树;
- 访问根结点;
- 中序遍历右子树。
如下图这样一棵二叉树:

中序遍历的顺序是:
递归实现:
递归条件:如果结点root为空,则返回。
(1)中序遍历左子树,并保存结果。
(2)获取并保存根结点数据。
(3)中序遍历右子树,并保存结果。
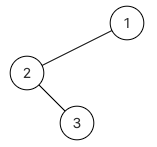
所谓后序遍历,就是按照二叉树搜索路径先获取右子树数据,再获取右子树数据,最后获取根结点数据。
后序遍历三部曲:
- 后序遍历左子树;
- 后序遍历右子树;
- 访问根结点。
如下图这样一棵二叉树:

后序遍历的顺序是:
递归实现:
递归条件:如果结点root为空,则返回。
(1)后序遍历左子树,并保存结果。
(2)后序遍历右子树,并保存结果。
(3)获取并保存根结点数据。
🔑源代码
前序遍历:
import java.util.*;
/*
* public class TreeNode {
* int val = 0;
* TreeNode left = null;
* TreeNode right = null;
* public TreeNode(int val) {
* this.val = val;
* }
* }
*/
public class Solution {
/**
* 代码中的类名、方法名、参数名已经指定,请勿修改,直接返回方法规定的值即可
*
*
* @param root TreeNode类
* @return int整型一维数组
*/
private List<Integer> list = new ArrayList<>();
public int[] preorderTraversal (TreeNode root) {
// write code here
dfs(root);
int[] ans = new int[list.size()];
int i = 0;
for (int x : list) {
ans[i++] = x;
}
return ans;
}
private void dfs(TreeNode root) {
if (root == null) return;
list.add(root.val);
dfs(root.left);
dfs(root.right);
}
}
中序遍历:
import java.util.*;
/*
* public class TreeNode {
* int val = 0;
* TreeNode left = null;
* TreeNode right = null;
* public TreeNode(int val) {
* this.val = val;
* }
* }
*/
public class Solution {
/**
* 代码中的类名、方法名、参数名已经指定,请勿修改,直接返回方法规定的值即可
*
*
* @param root TreeNode类
* @return int整型一维数组
*/
private List<Integer> list = new ArrayList<>();
public int[] inorderTraversal (TreeNode root) {
// write code here
dfs(root);
int[] ans = new int[list.size()];
int i = 0;
for (int x : list) {
ans[i++] = x;
}
return ans;
}
private void dfs(TreeNode root) {
if (root == null) return;
dfs(root.left);
list.add(root.val);
dfs(root.right);
}
}
后序遍历:
import java.util.*;
/*
* public class TreeNode {
* int val = 0;
* TreeNode left = null;
* TreeNode right = null;
* public TreeNode(int val) {
* this.val = val;
* }
* }
*/
public class Solution {
/**
* 代码中的类名、方法名、参数名已经指定,请勿修改,直接返回方法规定的值即可
*
*
* @param root TreeNode类
* @return int整型一维数组
*/
private List<Integer> list = new ArrayList<>();
public int[] postorderTraversal (TreeNode root) {
// write code here
dfs(root);
int[] ans = new int[list.size()];
int i = 0;
for (int x : list) {
ans[i++] = x;
}
return ans;
}
private void dfs(TreeNode root) {
if (root == null) return;
dfs(root.left);
dfs(root.right);
list.add(root.val);
}
}
🌱总结
⭐️层序遍历⭐️
🔐题目详情
描述
给定一个二叉树,返回该二叉树层序遍历的结果,(从左到右,一层一层地遍历)
例如:
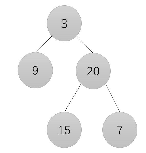
给定的二叉树是{3,9,20,#,#,15,7},

该二叉树层序遍历的结果是
[
[3],
[9,20],
[15,7]
]
提示:
0 <= 二叉树的结点数 <= 1500
示例1
输入:
{1,2}
返回值:
[[1],[2]]
示例2
输入:
{1,2,3,4,#,#,5}
返回值:
[[1],[2,3],[4,5]]
题目链接:求二叉树的层序遍历
💡解题思路
对于二叉树的层序遍历,它的实现思路与判断一棵二叉树是否是完全二叉树思路十分相似,都是使用队列来进行实现,但是入队时有一点不同,那就是如果结点为空,则不需要入队,直到最终队列和当前结点均为空时,表示遍历结束。
对于上面这道题,层序遍历还需要将每层的元素分开,单独存入List中,为了解决这个问题,可以在每次获取出队元素前,先获取队列中元素个数,这个元素个数就是当前层次的元素个数,这样就能把每层的元素都分开了。
(1)记录当前队列元素个数,即二叉树每层的元素个数。
(2)将此层二叉树的结点的左右非空孩子结点存于队列中,并将该层二叉树结点的值存于顺序表中。
(3)将非空的子结点存入队列中。
🔑源代码
import java.util.*;
/*
* public class TreeNode {
* int val = 0;
* TreeNode left = null;
* TreeNode right = null;
* }
*/
public class Solution {
/**
*
* @param root TreeNode类
* @return int整型ArrayList<ArrayList<>>
*/
public ArrayList<ArrayList<Integer>> levelOrder (TreeNode root) {
// write code here
ArrayList<ArrayList<Integer>> ans = new ArrayList<>();
Queue<TreeNode> queue = new LinkedList<>();
if (root != null) queue.offer(root);
while (!queue.isEmpty()) {
int size = queue.size();
ArrayList<Integer> list = new ArrayList<>();
while (size-- > 0) {
TreeNode cur = queue.poll();
list.add(cur.val);
if (cur.left != null) queue.offer(cur.left);
if (cur.right != null) queue.offer(cur.right);
}
ans.add(list);
}
return ans;
}
}
- 点赞
- 收藏
- 关注作者
评论(0)