深度学习:手写反向传播算法(BackPropagation)与代码实现
        【摘要】 @TOC 前置知识回顾损失函数:交叉熵优化方法:SGD与GD网络结构:多层感知机是如何运作的链式法则: 前向传播首先定义一个简单的三层全连接神经网络,其中为了方便运算,我们省略了激活函数与偏置系数b,网络结构如图所示:下面我们开始前向计算:                                                   1.在这里我们发现,其中计算的结果也就是隐藏层神经元...
    
    
    
    @TOC
前置知识回顾
损失函数:交叉熵
 优化方法:SGD与GD
 网络结构:多层感知机是如何运作的
 链式法则:
 
前向传播
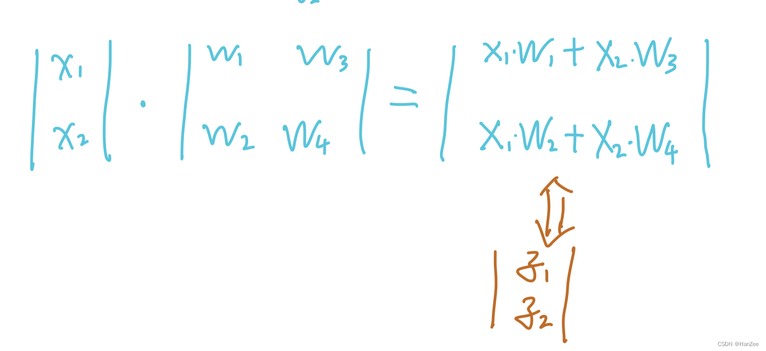
首先定义一个简单的三层全连接神经网络,其中为了方便运算,我们省略了激活函数与偏置系数b,网络结构如图所示:
 
下面我们开始前向计算: 
 
1.在这里我们发现,其中计算的结果也就是隐藏层神经元的数值z1与z2,那么不难看出,我们把这次计算的输出当作下次计算的输入,就可以计算出z3与z4,这样逐层传播,就是上述网络的前想传播过程。
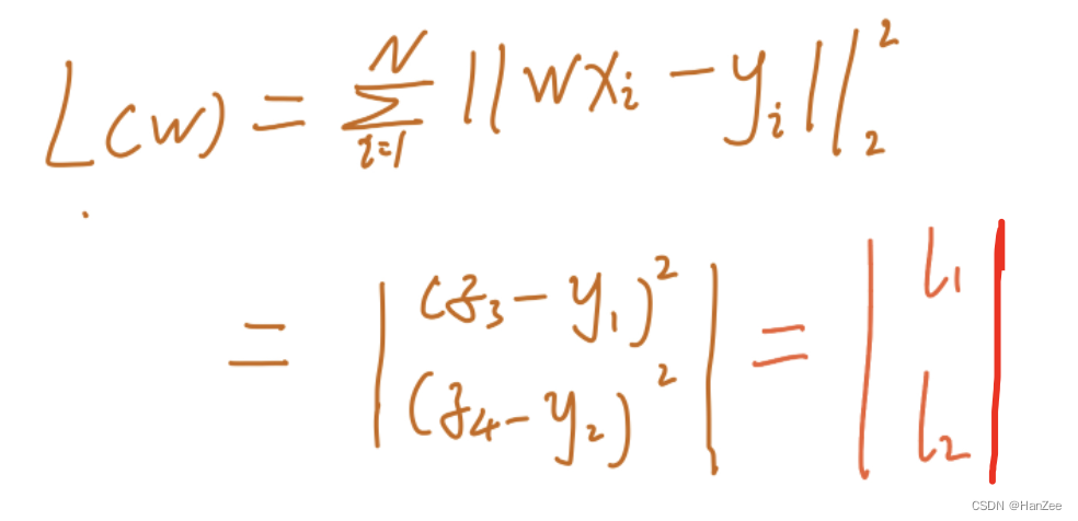
 2.当我们得到网络的结果矩阵z3与z4,下面我们要通过代价函数计算损失
 为了方便运算,我们采用均方误差(MSE)来计算损失计算过程如下:
 
其中y假设为真实值。
 上述过程就是前向计算的过程。
反向传播
计算完代价函数,我们就需要更新我们的参数,之前我们学习的梯度梯度下降法只能更新一层神经网络的参数,而在多层网络中,我们需要用到链式法则的知识来得到其他层参数的偏导数,就可以逐层更新参数。具体过程如下:
 我们从后往前更新参数:
 首先计算损失函数对第二层网络参数的偏导数
计算偏导数后,我们可以通过梯度下降法更新参数(这里假设a为学习率):
接着,我们就继续向前跟新,这里损失函数对参数的偏导数为:
有了偏导数,我们就可以重复上述操作,直至更新完所有参数。
代码实现
import torch.nn as nn
import torch.nn.functional as F
x = torch.tensor([2.0,2.0],requires_grad=True)
class model(nn.Module):
    def __init__(self,x):
        super(model, self).__init__()
        self.x = x
        self.fc1 = nn.Linear(2, 2)
        self.fc2 = nn.Linear(2, 2)
    def forward(self):
        x = self.fc1(self.x)
        x = self.fc2(x)
        return x
    
    
x = model(x).forward() 
x = x.sum().backward()
            【声明】本内容来自华为云开发者社区博主,不代表华为云及华为云开发者社区的观点和立场。转载时必须标注文章的来源(华为云社区)、文章链接、文章作者等基本信息,否则作者和本社区有权追究责任。如果您发现本社区中有涉嫌抄袭的内容,欢迎发送邮件进行举报,并提供相关证据,一经查实,本社区将立刻删除涉嫌侵权内容,举报邮箱:
                cloudbbs@huaweicloud.com
                
            
        
        
        
        
        
        
        - 点赞
- 收藏
- 关注作者
 
             
           
评论(0)