手撸二叉树之从根到叶的二进制数之和
【摘要】 题目给出一棵二叉树,其上每个结点的值都是 0 或 1 。每一条从根到叶的路径都代表一个从最高有效位开始的二进制数。例如,如果路径为 0 -> 1 -> 1 -> 0 -> 1,那么它表示二进制数 01101,也就是 13 。对树上的每一片叶子,我们都要找出从根到该叶子的路径所表示的数字。返回这些数字之和。题目数据保证答案是一个 32 位 整数。示例1输入:root = [1,0,1,0,1...
题目
给出一棵二叉树,其上每个结点的值都是 0 或 1 。每一条从根到叶的路径都代表一个从最高有效位开始的二进制数。例如,如果路径为 0 -> 1 -> 1 -> 0 -> 1,那么它表示二进制数 01101,也就是 13 。
对树上的每一片叶子,我们都要找出从根到该叶子的路径所表示的数字。
返回这些数字之和。题目数据保证答案是一个 32 位 整数。
示例1

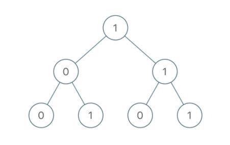
输入:root = [1,0,1,0,1,0,1]
输出:22
解释:(100) + (101) + (110) + (111) = 4 + 5 + 6 + 7 = 22
** 示例2 **
输入:root = [0]
输出:0
输入:root = [1]
输出:1
输入:root = [1,1]
输出:3
解题思路
根据题目意思,我们可以使用递归方式来解答此题。
递归三部曲:
-
递归函数的参数以及返回值:
函数的参数为传入的节点,以及一个用于记录当前路径和的值;由于要搜索整棵二叉树,所以该递归函数就不需要返回值了; -
递归函数的终止条件:如果节点为空,则返回
-
递归函数的单层逻辑:如果遇到叶子节点,就把路径和放到返回值中,否则继续深度优先搜索左右子节点;
代码实现
/**
* Definition for a binary tree node.
* public class TreeNode {
* int val;
* TreeNode left;
* TreeNode right;
* TreeNode() {}
* TreeNode(int val) { this.val = val; }
* TreeNode(int val, TreeNode left, TreeNode right) {
* this.val = val;
* this.left = left;
* this.right = right;
* }
* }
*/
class Solution {
// 用来返回的返回值
private int sum = 0;
public int sumRootToLeaf(TreeNode root) {
dfs(root, 0);
return sum;
}
private void dfs(TreeNode root, int curr) {
// 遇到空节点,什么都不做,直接返回
if (root == null) return;
// 累加当前节点的值到当前路径和中
curr = (curr << 1) + root.val;
// 如果遇到叶子节点,就把路径和放到返回值中
if (root.left == null && root.right == null) sum += curr;
// 继续深度优先搜索左右子节点
dfs(root.left, curr);
dfs(root.right, curr);
}
}
最后
复杂度分析:
- 时间复杂度:O(n)。其中 n 为树的深度。
- 空间复杂度:O(n)。递归所需的栈空间大小为 n 。
【声明】本内容来自华为云开发者社区博主,不代表华为云及华为云开发者社区的观点和立场。转载时必须标注文章的来源(华为云社区)、文章链接、文章作者等基本信息,否则作者和本社区有权追究责任。如果您发现本社区中有涉嫌抄袭的内容,欢迎发送邮件进行举报,并提供相关证据,一经查实,本社区将立刻删除涉嫌侵权内容,举报邮箱:
cloudbbs@huaweicloud.com
- 点赞
- 收藏
- 关注作者
评论(0)