手撸二叉树之二叉树的最近公共祖先
【摘要】 题目给定一个二叉树, 找到该树中两个指定节点的最近公共祖先。最近公共祖先的定义为:“对于有根树 T 的两个结点 p、q,最近公共祖先表示为一个结点 x,满足 x 是 p、q 的祖先且 x 的深度尽可能大(一个节点也可以是它自己的祖先)。”例如,给定如下二叉树: root = [3,5,1,6,2,0,8,null,null,7,4]示例1:输入: root = [3,5,1,6,2,0,...
题目
给定一个二叉树, 找到该树中两个指定节点的最近公共祖先。
最近公共祖先的定义为:“对于有根树 T 的两个结点 p、q,最近公共祖先表示为一个结点 x,满足 x 是 p、q 的祖先且 x 的深度尽可能大(一个节点也可以是它自己的祖先)。”
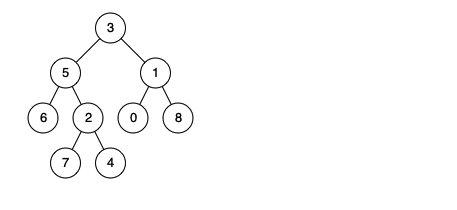
例如,给定如下二叉树: root = [3,5,1,6,2,0,8,null,null,7,4]

示例1:
输入: root = [3,5,1,6,2,0,8,null,null,7,4], p = 5, q = 1
输出: 3
解释: 节点 5 和节点 1 的最近公共祖先是节点 3。
示例2:
输入: root = [3,5,1,6,2,0,8,null,null,7,4], p = 5, q = 4
输出: 5
解释: 节点 5 和节点 4 的最近公共祖先是节点 5。因为根据定义最近公共祖先节点可以为节点本身。
解题思路
假设 root 是 p, q 的最近公共祖先,那么就可以有以下三种情况:
- p 和 q 在 root 的子树中,且分列 root 的左、右子树中;
- p = root,且 q 在 root 的左或右子树中;
- q = root,且 p 在 root 的左或右子树中;
在这里,我们使用二叉树先序遍历的方式来对此二叉树进行搜索;当遇到节点 p 或者 q 的时候返回。自底向上回溯,当节点 p, q 在节点 root 的异侧时,节点 root 即为最近公共祖先,则向上返回 root 。
递归函数解析:
- 终止条件:当遇到根节点时,则直接返回 null; 当 root 等于 p 或者 q 的时候,返回 root。
- 单层递归逻辑:开启递归左子节点,返回值记为 left; 开启递归右子节点,返回值记为 right。
- 返回值:当 left 和 right 都为 null 时,说明没有找到 p 和 q, 返回 null;当 left 和 right 都不为空时,则 p 和 q 分别位于 root 俩侧,所以 root 为最近的祖先节点,返回 root; 当 left 为空,right 不为空,说明 p,q 都不在 root 的左子树中,则直接返回 right, 反之,返回 left。
代码实现
/**
* Definition for a binary tree node.
* public class TreeNode {
* int val;
* TreeNode left;
* TreeNode right;
* TreeNode(int x) { val = x; }
* }
*/
class Solution {
public TreeNode lowestCommonAncestor(TreeNode root, TreeNode p, TreeNode q) {
if(root == null || root == p || root == q){
return root;
}
TreeNode left = lowestCommonAncestor(root.left, p, q);
TreeNode right = lowestCommonAncestor(root.right, p, q);
if(left == null && right == null) return null;
if (left == null) {
return right;
}
if (right == null) {
return left;
}
return root;
}
}
最后
复杂度分析
-
时间复杂度:O(N),其中 NN 是二叉树的节点数。二叉树的所有节点有且只会被访问一次,因此时间复杂度为 O(N)。
-
空间复杂度:O(N) ,其中 N 是二叉树的节点数。递归调用的栈深度取决于二叉树的高度,二叉树最坏情况下为一条链,此时高度为 N,因此空间复杂度为 O(N)。
【声明】本内容来自华为云开发者社区博主,不代表华为云及华为云开发者社区的观点和立场。转载时必须标注文章的来源(华为云社区)、文章链接、文章作者等基本信息,否则作者和本社区有权追究责任。如果您发现本社区中有涉嫌抄袭的内容,欢迎发送邮件进行举报,并提供相关证据,一经查实,本社区将立刻删除涉嫌侵权内容,举报邮箱:
cloudbbs@huaweicloud.com
- 点赞
- 收藏
- 关注作者
评论(0)