08-01-旋转链表、删除链表元素、相交链表
每日三刷,剑指千题
计划简介:
- 每日三题,以中等题为主,简单题为辅进行搭配。保证质量题1道,数量题3道。
- 每日早通勤在LeetCode手机端选题,思考思路,没答案的直接看题解。
- 每日中午进行编码,时间控制在一小时之内。
- 下班前半小时进行整理总结。
说明:
- 基于以前的刷题基础,本次计划以中等题为主,大部分中等题都可以拆分为多个简单题,所以数量保证3,质量保证一道中等题即可。
- 刷题顺序按照先刷链表、二叉树、栈、堆、队列等基本数据结构,再刷递归、二分法、排序、双指针等基础算法,最后是动态规划、贪心、回溯、搜索等复杂算法。
- 刷题过程中整理相似题型,刷题模板。
- 目前进度 105/1000 。
[61]旋转链表
给你一个链表的头节点 head ,旋转链表,将链表每个节点向右移动 k 个位置。
示例 1:

输入:head = [1,2,3,4,5], k = 2
输出:[4,5,1,2,3]
- 1
- 2
解析
利用寻找链表的倒数的第K个结点时的双指针法,找到倒数第k个节点和尾节点。把尾节点指向头结点,此时链表成为一个环,再把链表从倒数第k个处断开,即是旋转后的链表。
但是,忽略了一个问题:
- 链表中节点的数目在范围
[0, 500]内 -100 <= Node.val <= 1000 <= k <= 2 * 109
即 k 是可以大于链表的长度的,那这时候就需要对 k 取模,即假如链表长度是3 ,k = 4 和 k = 1 的结果是一样的。那就先计算长度,再取模。
Code
class Solution {
public ListNode rotateRight(ListNode head, int k) {
// 特例直接返回
if (head == null) {
return head;
}
// 通过提示 先计算长度,再取模。简化 k
int size = 0;
ListNode index = head;
while (index != null) {
index = index.next;
size++;
}
k = k % size;
// 这里就是用过的双指针了
ListNode first = head;
ListNode last = head;
for (int i = 0; i < k; i++) {
last = last.next;
}
while (last.next != null) {
first = first.next;
last = last.next;
}
// 先成环
last.next = head;
// 再从 k 处断开
ListNode ans = first.next;
first.next = null;
return ans;
}
}
- 1
- 2
- 3
- 4
- 5
- 6
- 7
- 8
- 9
- 10
- 11
- 12
- 13
- 14
- 15
- 16
- 17
- 18
- 19
- 20
- 21
- 22
- 23
- 24
- 25
- 26
- 27
- 28
- 29
- 30
- 31
- 32
- 33
- 34
- 35
[剑指 Offer 18]删除链表的节点
给定单向链表的头指针和一个要删除的节点的值,定义一个函数删除该节点。
返回删除后的链表的头节点。
**注意:**此题对比原题有改动
示例 1:
输入: head = [4,5,1,9], val = 5
输出: [4,1,9]
解释: 给定你链表中值为 5 的第二个节点,那么在调用了你的函数之后,该链表应变为 4 -> 1 -> 9.
- 1
- 2
- 3
解析
这是一道简单题,思路不难,关键在于怎么把代码实现的够优雅。
正常的思路都是判断当前节点的 val 是否等于目标 val ,这样就造成一个问题,我们好需要一个指针维护前一个结点来做删除操作。
如果我们增加一个虚拟头结点,就可以判断当前结点的下一个的 val 是否等于目标 val ,省去一个指针。
code
class Solution {
public ListNode deleteNode(ListNode head, int val) {
if (head.val == val) return head.next;
ListNode dummy = new ListNode(0, head);
while (head.next != null) {
if (head.next.val == val) {
head.next = head.next.next;
break;
}
head = head.next;
}
return dummy.next;
}
}
- 1
- 2
- 3
- 4
- 5
- 6
- 7
- 8
- 9
- 10
- 11
- 12
- 13
- 14
- 15
- 16
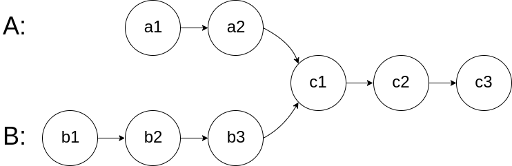
[剑指 Offer II 023]两个链表的第一个重合节点
给定两个单链表的头节点 headA 和 headB ,请找出并返回两个单链表相交的起始节点。如果两个链表没有交点,返回 null 。
图示两个链表在节点 c1 开始相交**:**
题目数据 保证 整个链式结构中不存在环。
注意,函数返回结果后,链表必须 保持其原始结构 。
解析
这个就是主站的相交链表,做过一次,还是没想起来。
思路不难,就是把两个链表都走一遍,代码实现上需要想一下。
注意,不要修改原链表。
Code
public class Solution {
public ListNode getIntersectionNode(ListNode headA, ListNode headB) {
ListNode A = headA;
ListNode B = headB;
while (A != B ) {
if (A == null) {
A = headB;
} else {
A = A.next;
}
if (B == null) {
B = headA;
} else {
B = B.next;
}
}
return A;
}
}
- 1
- 2
- 3
- 4
- 5
- 6
- 7
- 8
- 9
- 10
- 11
- 12
- 13
- 14
- 15
- 16
- 17
- 18
- 19
- 20
B = headA;
} else {
B = B.next;
}
}
return A;
}
}
- 1
- 2
- 3
- 4
- 5
- 6
- 7
- 8
- 1
- 2
- 3
文章来源: blog.csdn.net,作者:一条coding,版权归原作者所有,如需转载,请联系作者。
原文链接:blog.csdn.net/skylibiao/article/details/126584317
- 点赞
- 收藏
- 关注作者

评论(0)