【进阶版】机器学习之线性模型介绍及过拟合欠拟合解决方法岭回归、loss回归、elasticnet回归(05)
目录
欢迎订阅本专栏,持续更新中~
本专栏包含大量代码项目,适用于毕业设计方向选取和实现、科研项目代码指导,每一篇文章都是通过原理讲解+代码实战进行思路构建的,如果有需要这方面的指导可以私信博主,获取相关资源及指导!
本专栏前期文章介绍!
机器学习算法知识、数据预处理、特征工程、模型评估——原理+案例+代码实战
机器学习之Python开源教程——专栏介绍及理论知识概述
机器学习框架及评估指标详解
Python监督学习之分类算法的概述
数据预处理之数据清理,数据集成,数据规约,数据变化和离散化
特征工程之One-Hot编码、label-encoding、自定义编码
卡方分箱、KS分箱、最优IV分箱、树结构分箱、自定义分箱
特征选取之单变量统计、基于模型选择、迭代选择
机器学习八大经典分类万能算法——代码+案例项目开源、可直接应用于毕设+科研项目
机器学习分类算法之朴素贝叶斯
【万字详解·附代码】机器学习分类算法之K近邻(KNN)
《全网最强》详解机器学习分类算法之决策树(附可视化和代码)
机器学习分类算法之支持向量机
机器学习分类算法之Logistic 回归(逻辑回归)
机器学习分类算法之随机森林(集成学习算法)
机器学习分类算法之XGBoost(集成学习算法)
机器学习分类算法之LightGBM(梯度提升框架)
机器学习自然语言、推荐算法等领域知识——代码案例开源、可直接应用于毕设+科研项目
【原理+代码】Python实现Topsis分析法(优劣解距离法)
机器学习推荐算法之关联规则(Apriori)——支持度;置信度;提升度
机器学习推荐算法之关联规则Apriori与FP-Growth算法详解
机器学习推荐算法之协同过滤(基于用户)【案例+代码】
机器学习推荐算法之协同过滤(基于物品)【案例+代码】
预测模型构建利器——基于logistic的列线图(R语言)
基于surprise模块快速搭建旅游产品推荐系统(代码+原理)
机器学习自然语言处理之英文NLTK(代码+原理)
机器学习之自然语言处理——中文分词jieba库详解(代码+原理)
机器学习之自然语言处理——基于TfidfVectorizer和CountVectorizer及word2vec构建词向量矩阵(代码+原理)
机器学习配套资源推送
专栏配套资源推荐——部分展示(有需要可去对应文章或者评论区查看,可做毕设、科研参考资料)
自然语言处理之文本分类及文本情感分析资源大全(含代码及其数据,可用于毕设参考!)
基于Word2Vec构建多种主题分类模型(贝叶斯、KNN、随机森林、决策树、支持向量机、SGD、逻辑回归、XGBoost…)
基于Word2Vec向量化的新闻分本分类.ipynb
智能词云算法(一键化展示不同类型的词云图)运行生成HTML文件
协同过滤推荐系统资源(基于用户-物品-Surprise)等案例操作代码及讲解
Python机器学习关联规则资源(apriori算法、fpgrowth算法)原理讲解
机器学习-推荐系统(基于用户).ipynb
机器学习-推荐系统(基于物品).ipynb
旅游消费数据集——包含用户id,用户评分、产品类别、产品名称等指标,可以作为推荐系统的数据集案例
进阶版机器学习文章更新~
【进阶版】机器学习之基本术语及模评估与选择概念总结(01)
【进阶版】机器学习之模型性能度量及比较检验和偏差与方差总结(02)
【进阶版】机器学习之特征工程介绍及优化方法引入(03)
【进阶版】机器学习之特征降维、超参数调优及检验方法(04)
前期我们对机器学习的基础知识,从基础的概念到实用的代码实战演练,并且系统的了解了机器学习在分类算法上面的应用,同时也对机器学习的准备知识有了一个相当大的了解度,而且还拓展了一系列知识,如推荐算法、文本处理、图像处理。以及交叉学科的应用,那么前期你如果认真的了解了这些知识,并加以利用和实现,相信你已经对机器学习有了一个“量”的认识,接下来的,我将带你继续学习机器学习学习,并且全方位,系统性的了解和深入机器学习领域,达到一个“质”的变化。
点击下方下载高清版学习知识图册
机器学习Python算法知识点大全,包含sklearn中的机器学习模型和Python预处理的pandas和numpy知识点

线性模型
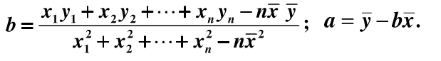
谈及线性模型,其实我们很早就已经与它打过交道,还记得“最小二乘法”吗?这就是线性模型的经典算法之一:根据给定的(x,y)点对,求出一条与这些点拟合效果最好的直线y=ax+b,之前我们利用下面的公式便可以计算出拟合直线的系数a,b,从而对于一个新的x,可以预测它所对应的y值。
前面我们提到:在机器学习的术语中,当预测值为连续值时,称为“回归问题”,离散值时为“分类问题”。

线性回归
线性回归问题就是试图学到一个线性模型尽可能准确地预测新样本的输出值,例如:通过历年的人口数据预测2017年人口数量。
在这类问题中,往往我们会先得到一系列的有标记数据,例如:2000–>13亿…2016–>15亿,这时输入的属性只有一个,即年份;也有输入多属性的情形,假设我们预测一个人的收入,这时输入的属性值就不止一个了,例如:(学历,年龄,性别,颜值,身高,体重)–>15k。
有时这些输入的属性值并不能直接被我们的学习模型所用,需要进行相应的处理,对于连续值的属性,一般都可以被学习器所用,有时会根据具体的情形作相应的预处理,例如:归一化等;对于离散值的属性,可作下面的处理:
-
若属性值之间存在“序关系”,则可以将其转化为连续值,例如:身高属性分为“高”“中等”“矮”,可转化为数值:{1, 0.5, 0}。
-
若属性值之间不存在“序关系”,则通常将其转化为向量的形式,例如:性别属性分为“男”“女”,可转化为二维向量:{(1,0),(0,1)}。
(1)当输入属性只有一个的时候,就是最简单的情形,也就是我们高中时最熟悉的“最小二乘法”(Euclidean distance),首先计算出每个样本预测值与真实值之间的误差并求和,通过最小化均方误差MSE,使用求偏导等于零的方法计算出拟合直线y=wx+b的两个参数w和b,计算过程如下图所示:

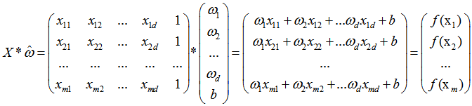
(2)当输入属性有多个的时候,例如对于一个样本有d个属性{(x1,x2…xd),y},则y=wx+b需要写成:

通常对于多元问题,常常使用矩阵的形式来表示数据。
在本问题中,将具有m个样本的数据集表示成矩阵X,将系数w与b合并成一个列向量,这样每个样本的预测值以及所有样本的均方误差最小化就可以写成下面的形式:



同样地,我们使用最小二乘法对w和b进行估计,令均方误差的求导等于0,需要注意的是,当一个矩阵的行列式不等于0时,我们才可能对其求逆,因此对于下式,我们需要考虑矩阵(X的转置*X)的行列式是否为0,若不为0,则可以求出其解,若为0,则需要使用其它的方法进行计算,书中提到了引入正则化,此处不进行深入。

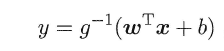
另一方面,有时像上面这种原始的线性回归可能并不能满足需求,例如:y值并不是线性变化,而是在指数尺度上变化。这时我们可以采用线性模型来逼近y的衍生物,例如lny,这时衍生的线性模型如下所示,实际上就是相当于将指数曲线投影在一条直线上,如下图所示:

更一般地,考虑所有y的衍生物的情形,就得到了“广义的线性模型”(generalized linear model),其中,g(*)称为联系函数(link function)。

线性几率回归
回归就是通过输入的属性值得到一个预测值,利用上述广义线性模型的特征,是否可以通过一个联系函数,将预测值转化为离散值从而进行分类呢?
线性几率回归正是研究这样的问题。对数几率引入了一个对数几率函数(logistic function),将预测值投影到0-1之间,从而将线性回归问题转化为二分类问题。


若将y看做样本为正例的概率,(1-y)看做样本为反例的概率,则上式实际上使用线性回归模型的预测结果器逼近真实标记的对数几率。
因此这个模型称为“对数几率回归”(logistic regression),也有一些书籍称之为“逻辑回归”。 下面使用最大似然估计的方法来计算出w和b两个参数的取值,下面只列出求解的思路,不列出具体的计算过程。


对数线性回归
有时像上面这种原始的线性回归可能并不能满足需求,例如:y值并不是线性变化,而是在指数尺度上变化。这时我们可以采用线性模型来逼近y的衍生物,例如 lny,这时衍生的线性模型如下所示,实际上就是相当于将指数曲线投影在一条直线上,如下图所示:

线性判别分析
线性判别分析(Linear Discriminant Analysis,简称LDA),其基本思想是:将训练样本投影到一条直线上,使得同类的样例尽可能近,不同类的样例尽可能远。如图所示:


想让同类样本点的投影点尽可能接近,不同类样本点投影之间尽可能远,即:让各类的协方差之和尽可能小,不用类之间中心的距离尽可能大。基于这样的考虑,LDA定义了两个散度矩阵。
- 类内散度矩阵(within-class scatter matrix)

- 类间散度矩阵(between-class scaltter matrix)

因此得到了LDA的最大化目标:“广义瑞利商”(generalized Rayleigh quotient)。

从而分类问题转化为最优化求解w的问题,当求解出w后,对新的样本进行分类时,只需将该样本点投影到这条直线上,根据与各个类别的中心值进行比较,从而判定出新样本与哪个类别距离最近。求解w的方法如下所示,使用的方法为λ乘子。

若将w看做一个投影矩阵,类似PCA的思想,则LDA可将样本投影到N-1维空间(N为类簇数),投影的过程使用了类别信息(标记信息),因此LDA也常被视为一种经典的监督降维技术。
过拟合、欠拟合如何解决
使用正则化项,也就是给loss function加上一个参数项,正则化项有L1正则化、L2正则化、ElasticNet。加入这个正则化项好处:
- 控制参数幅度,不让模型“无法无天”。
- 限制参数搜索空间
- 解决欠拟合与过拟合的问题。
L2正则化(岭回归)
和L2正则化项一样,此时我们的任务变成在L约束下求出J取最小值的解。求解 J 0 J_0 J0的过程可以画出等值线。同时L2正则化的函数L也可以在w1、w2的二维平面上画出来。如下图:

L表示为图中的黑色圆形,随着梯度下降法的不断逼近,与圆第一次产生交点,而这个交点很难出现在坐标轴上。这就说明了L2正则化不容易得到稀疏矩阵,同时为了求出损失函数的最小值,使得w1和w2无限接近于0,达到防止过拟合的问题。
什么场景下用L2正则化
只要数据线性相关,用LinearRegression拟合的不是很好,需要正则化,可以考虑使用岭回归(L2), 输入特征的维度很高,而且是稀疏线性关系的话, 岭回归就不太合适,考虑使用L1正则化(Lasso回归)。
不适合高维数据
L1正则化(Lasso回归)
什么场景下使用L1正则化
L1正则化(Lasso回归)可以使得一些特征的系数变小,甚至还使一些绝对值较小的系数直接变为0,从而增强模型的泛化能力 。
对于高的特征数据,尤其是线性关系是稀疏的,就采用L1正则化(Lasso回归),或者是要在一堆特征里面找出主要的特征,那么L1正则化(Lasso回归)更是首选了。
ElasticNet回归

ElasticNet回归的使用场景
ElasticNet在我们发现用Lasso回归太过(太多特征被稀疏为0),而岭回归也正则化的不够(回归系数衰减太慢)的时候,可以考虑使用ElasticNet回归来综合,得到比较好的结果。
在用线性回归模型拟合数据之前,首先要求数据应符合或近似符合正态分布,否则得到的拟合函数不正确。
多分类学习
现实中我们经常遇到不只两个类别的分类问题,即多分类问题,在这种情形下,我们常常运用“拆分”的策略,通过多个二分类学习器来解决多分类问题,即将多分类问题拆解为多个二分类问题,训练出多个二分类学习器,最后将多个分类结果进行集成得出结论。
最为经典的拆分策略有三种:“一对一”(OvO)、“一对其余”(OvR)和“多对多”(MvM),核心思想与示意图如下所示。
-
OvO:给定数据集D,假定其中有N个真实类别,将这N个类别进行两两配对(一个正类/一个反类),从而产生N(N-1)/2个二分类学习器,在测试阶段,将新样本放入所有的二分类学习器中测试,得出N(N-1)个结果,最终通过投票产生最终的分类结果。
-
OvM:给定数据集D,假定其中有N个真实类别,每次取出一个类作为正类,剩余的所有类别作为一个新的反类,从而产生N个二分类学习器,在测试阶段,得出N个结果,若仅有一个学习器预测为正类,则对应的类标作为最终分类结果。
-
MvM:给定数据集D,假定其中有N个真实类别,每次取若干个类作为正类,若干个类作为反类(通过ECOC码给出,编码),若进行了M次划分,则生成了M个二分类学习器,在测试阶段(解码),得出M个结果组成一个新的码,最终通过计算海明/欧式距离选择距离最小的类别作为最终分类结果。


类别不平衡问题
类别不平衡(class-imbanlance)就是指分类问题中不同类别的训练样本相差悬殊的情况,例如正例有900个,而反例只有100个,这个时候我们就需要进行相应的处理来平衡这个问题。常见的做法有三种:
- 在训练样本较多的类别中进行“欠采样”(undersampling),比如从正例中采出100个,常见的算法有:EasyEnsemble。
- 在训练样本较少的类别中进行“过采样”(oversampling),例如通过对反例中的数据进行插值,来产生额外的反例,常见的算法有SMOTE。
- 直接基于原数据集进行学习,对预测值进行“再缩放”处理。其中再缩放也是代价敏感学习的基础。


逻辑回归需要对特征进行离散化
-
非线性!逻辑回归属于广义线性模型,表达能力受限;当变量离散化为N个后,每个变量有单独的权重,相当于为模型引入了非线性,能够提升模型表达能力,加大拟合; 离散特征的增加和减少都很容易,易于模型的快速迭代;
-
速度快!稀疏向量内积乘法运算速度快,计算结果方便存储,容易扩展;
-
鲁棒性!离散化后的特征对异常数据有很强的鲁棒性:比如一个特征是年龄>30是1,否则0。如果特征没有离散化,一个异常数据“年龄300岁”会给模型造成很大的干扰;
-
方便交叉与特征组合:离散化后可以进行特征交叉,由M+N个变量变为M*N个变量,进一步引入非线性,提升表达能力;
-
稳定性:特征离散化后,模型会更稳定,比如如果对用户年龄离散化,20-30作为一个区间,不会因为一个用户年龄长了一岁就变成一个完全不同的人。当然处于区间相邻处的样本会刚好相反,所以怎么划分区间是门学问;
-
简化模型:特征离散化以后,起到了简化了逻辑回归模型的作用,降低了模型过拟合的风险。
逻辑回归的目标函数中增大L1正则化会导致所有的w参数都会变成0。
每文一语
人与人的交往多半肤浅,或只有在较为肤浅的层面上,交往才是容易的,一旦走进深处,人与人就是相互的迷宫。
文章来源: wxw-123.blog.csdn.net,作者:王小王-123,版权归原作者所有,如需转载,请联系作者。
原文链接:wxw-123.blog.csdn.net/article/details/126455564
- 点赞
- 收藏
- 关注作者

评论(0)