NodeJS③(http模块)
什么是http模块
http 模块是 Node.js 官方提供的、用来创建 web 服务器的模块。通过 http 模块提供的 http.createServer() 方法,就能方便的把一台普通的电脑,变成一台 Web 服务器,从而对外提供 Web 资源服务。
在网络节点中,负责消费资源的电脑,叫做客户端
负责对外提供网络资源的电脑,叫做服务器
如果要希望使用 http 模块创建 Web 服务器,则需要先导入它:
const http = require('http');
- 1
http模块的作用
服务器和普通电脑的区别在于,服务器上安装了 web 服务器软件,例如:IIS、Apache 等。通过安装这些服务器软件,就能把一台普通的电脑变成一台 web 服务器。
IIS在asp.net开发中经常使用
Apache在php开发中经常使用
在 Node.js 中,我们不需要使用 IIS、Apache 等这些第三方 web 服务器软件。因为我们可以基于 Node.js 提供的http 模块,通过几行简单的代码,就能轻松的手写一个服务器软件,从而对外提供 web 服务。
服务器相关概念
IP地址
IP 地址就是互联网上每台计算机的唯一地址,因此 IP 地址具有唯一性。如果把“个人电脑”比作“一台电话”,那么“IP地址”就相当于“电话号码”,只有在知道对方 IP 地址的前提下,才能与对应的电脑之间进行数据通信。
IP 地址的格式:通常用“点分十进制”表示成(a.b.c.d)的形式,其中,a,b,c,d 都是 0~255 之间的十进制整数。例如:用点分十进表示的 IP地址(192.168.1.1)
注意:
- 互联网中每台 Web 服务器,都有自己的 IP 地址,例如:大家可以在 Windows 的终端中运行 ping www.baidu.com 命令,即可查看到百度服务器的 IP 地址。
- 在开发期间,自己的电脑既是一台服务器,也是一个客户端,为了方便测试,可以在自己的浏览器中输入 127.0.0.1 这个IP 地址,就能把自己的电脑当做一台服务器进行访问了
域名和域名服务器
尽管 IP 地址能够唯一地标记网络上的计算机,但IP地址是一长串数字,不直观,而且不便于记忆,于是人们又发明了另一套字符型的地址方案,即所谓的域名(Domain Name)地址。
IP地址和域名是一一对应的关系,这份对应关系存放在一种叫做域名服务器(DNS,Domain name server)的电脑中。使用者只需通过好记的域名访问对应的服务器即可,对应的转换工作由域名服务器实现。因此,域名服务器就是提供 IP 地址和域名之间的转换服务的服务器。
注意:
- 单纯使用 IP 地址,互联网中的电脑也能够正常工作。但是有了域名的加持,能让互联网的世界变得更加方便。
- 在开发测试期间, 127.0.0.1 对应的域名是 localhost,它们都代表我们自己的这台电脑,在使用效果上没有任何区别。
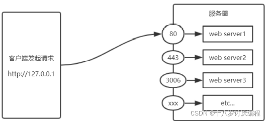
端口号
计算机中的端口号,就好像是现实生活中的门牌号一样。通过门牌号,外卖小哥可以在整栋大楼众多的房间中,准确把外卖送到你的手中。
同样的道理,在一台电脑中,可以运行成百上千个 web 服务。每个 web 服务都对应一个唯一的端口号。客户端发送过来的网络请求,通过端口号,可以被准确地交给对应的web 服务进行处理。

注意:
- 每个端口号不能同时被多个 web 服务占用。
- 在实际应用中,URL 中的 80 端口可以被省略。
80端口是为HTTP(HyperText Transport Protocol)即超文本传输协议开放的,此为上网冲浪使用次数最多的协议,主要用于WWW(World Wide Web)即万维网传输信息的协议。
创建最基本的web服务器
创建过程
创建 web 服务器的基本步骤:
- 导入 http 模块
- 创建 web 服务器实例
- 为服务器实例绑定 request 事件,监听客户端的请求
- 启动服务器
注意:你这样创建的服务器只有自己访问得到,别人是访问不到的。你可能会问既然这样有啥用。
因为在开发阶段服务器端和浏览器端都在同一个电脑上开发。http模块可以快速满足我们的开发要求。
①导入 http 模块
如果希望在自己的电脑上创建一个 web 服务器,从而对外提供 web 服务,则需要导入 http 模块:

②创建 web 服务器实例
调用 http.createServer() 方法,即可快速创建一个 web 服务器实例:

③为服务器实例绑定 request 事件
为服务器实例绑定 request 事件,即可监听客户端发送过来的网络请求:

④启动服务器
调用服务器实例的 .listen() 方法,即可启动当前的 web 服务器实例:

整体代码实现:
// 1. 导入 http 模块
const http = require('http')
// 2. 创建 web 服务器实例
const server = http.createServer()
// 3. 为服务器实例绑定 request 事件,监听客户端的请求
server.on('request', function (req, res) {
console.log('Someone visit our web server.')
})
// 4. 启动服务器(让服务器监听8080端口)
server.listen(8080, function () {
console.log('server running at http://127.0.0.1:8080')
})
- 1
- 2
- 3
- 4
- 5
- 6
- 7
- 8
- 9
- 10
- 11
- 12
req 请求对象
只要服务器接收到了客户端的请求,就会调用通过 server.on() 为服务器绑定的 request 事件处理函数。如果想在事件处理函数中,访问与客户端相关的数据或属性,可以使用如下的方式:

req.url 是客户端请求的 URL 地址
req.method 是客户端请求的 method 类型
例如:
const http = require('http')
const server = http.createServer()
// req 是请求对象,包含了与客户端相关的数据和属性
server.on('request', (req) => {
// req.url 是客户端请求的 URL 地址
const url = req.url
// req.method 是客户端请求的 method 类型
const method = req.method
const str = `Your request url is ${url}, and request method is ${method}`
console.log(str)
})
server.listen(80, () => {
console.log('server running at http://127.0.0.1')
})
- 1
- 2
- 3
- 4
- 5
- 6
- 7
- 8
- 9
- 10
- 11
- 12
- 13
- 14
以上代码我们只是在服务器中对请求的内容进行了处理,并没有进行响应,所以客户端得不到返回的数据。
res 响应对象
在服务器的 request 事件处理函数中,如果想访问与服务器相关的数据或属性,可以使用如下的方式:

例如:
const http = require('http')
const server = http.createServer()
// req 是请求对象,包含了与客户端相关的数据和属性
server.on('request', (req, res) => {
// req.url 是客户端请求的 URL 地址
const url = req.url
// req.method 是客户端请求的 method 类型
const method = req.method
const str = `Your request url is ${url}, and request method is ${method}`
console.log(str)
// 调用 res.end() 方法,向客户端响应一些内容
res.end(str)
})
server.listen(80, () => {
console.log('server running at http://127.0.0.1')
})
- 1
- 2
- 3
- 4
- 5
- 6
- 7
- 8
- 9
- 10
- 11
- 12
- 13
- 14
- 15
- 16

解决中文乱码问题
当调用 res.end() 方法,向客户端发送中文内容的时候,会出现乱码问题,此时,需要手动设置内容的编码格式:
res.setHeader('Content-Type', 'text/html; charset=utf-8')
- 1
调用 res.setHeader() 方法,设置 Content-Type 响应头,解决中文乱码的问题
例如:
const http = require('http')
const server = http.createServer()
server.on('request', (req, res) => {
// 定义一个字符串,包含中文的内容
const str = `您请求的 URL 地址是 ${req.url},请求的 method 类型为 ${req.method}`
// 调用 res.setHeader() 方法,设置 Content-Type 响应头,解决中文乱码的问题
res.setHeader('Content-Type', 'text/html; charset=utf-8')
// res.end() 将内容响应给客户端
res.end(str)
})
server.listen(80, () => {
console.log('server running at http://127.0.0.1')
})
- 1
- 2
- 3
- 4
- 5
- 6
- 7
- 8
- 9
- 10
- 11
- 12
- 13
- 14
- 15
记住在每一次修改完服务器端的代码后,要重启服务器才能生效。
根据不同的 url 响应不同的 html 内容
方法:得到客户端的请求地址,然后进行针对性的响应。
例如:我们对一个网站的 首页 和 相关页面 进行不同的响应
实现步骤:
① 获取请求的 url 地址
② 设置默认的响应内容为 404 Not found
③ 判断用户请求的是否为 / 或 /index.html 首页
④ 判断用户请求的是否为 /about.html 关于页面
⑤ 设置 Content-Type 响应头,防止中文乱码
⑥ 使用 res.end() 把内容响应给客户端
代码实现:
const http = require('http')
const server = http.createServer()
server.on('request', (req, res) => {
// 1. 获取请求的 url 地址
const url = req.url
// 2. 设置默认的响应内容为 404 Not found
let content = '<h1>404 Not found!</h1>'
// 3. 判断用户请求的是否为 / 或 /index.html 首页
// 4. 判断用户请求的是否为 /about.html 关于页面
if (url === '/' || url === '/index.html') {
content = '<h1>首页</h1>'
} else if (url === '/about') {
content = '<h1>关于页面</h1>'
}
// 5. 设置 Content-Type 响应头,防止中文乱码
res.setHeader('Content-Type', 'text/html; charset=utf-8')
// 6. 使用 res.end() 把内容响应给客户端
res.end(content)
})
server.listen(80, () => {
console.log('server running at http://127.0.0.1')
})
- 1
- 2
- 3
- 4
- 5
- 6
- 7
- 8
- 9
- 10
- 11
- 12
- 13
- 14
- 15
- 16
- 17
- 18
- 19
- 20
- 21
- 22
- 23
- 24


文章来源: blog.csdn.net,作者:十八岁讨厌编程,版权归原作者所有,如需转载,请联系作者。
原文链接:blog.csdn.net/zyb18507175502/article/details/124272920
- 点赞
- 收藏
- 关注作者
评论(0)