数学建模学习笔记(十六)lingo求解整数规划
【摘要】
之前没用过lingo,这次遇到一个线性整数规划的问题,尝试用了lingo求解,发现上手还是很容易的。将题目和求解放置在此,以便查阅~
问题: 使用lingo求解,输入以下代码
model...
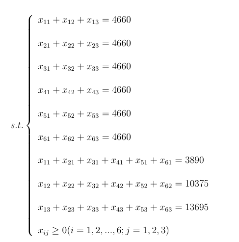
之前没用过lingo,这次遇到一个线性整数规划的问题,尝试用了lingo求解,发现上手还是很容易的。将题目和求解放置在此,以便查阅~
问题:


使用lingo求解,输入以下代码
model:
min=10*x11+10.1*x12+10.2*x13+13.3*x21+13.3*x22+13*x23+15.4*x31+15.8*x32+15.8*x33+7.2*x41+7.6*x42+7.5*x43+4.8*x51+5.3*x52+5.1*x53+4.7*x61+5.3*x62+5.1*x63;
x11+x12+x13=4660;
x21+x22+x33=4660;
x31+x32+x33=4660;
x41+x42+x43=4660;
x51+x52+x53=4660;
x61+x62+x63=4660;
x11+x21+x31+x41+x51+x61=3891;
x12+x22+x32+x42+x52+x62=10375;
x13+x23+x33+x43+x53+x63=13694;
@gin(x11);
@gin(x12);
@gin(x13);
@gin(x21);
@gin(x22);
@gin(x23);
@gin(x31);
@gin(x32);
@gin(x33);
@gin(x41);
@gin(x42);
@gin(x43);
@gin(x51);
@gin(x52);
@gin(x53);
@gin(x61);
@gin(x62);
@gin(x63);
end
- 1
- 2
- 3
- 4
- 5
- 6
- 7
- 8
- 9
- 10
- 11
- 12
- 13
- 14
- 15
- 16
- 17
- 18
- 19
- 20
- 21
- 22
- 23
- 24
- 25
- 26
- 27
- 28
- 29
- 30
其中model: end 为固有格式
@gin为整数约束
点击solve即可求解
若出现错误码11,则说明输入中有中文
若出现错误码72,则说明无解
文章来源: zstar.blog.csdn.net,作者:zstar-_,版权归原作者所有,如需转载,请联系作者。
原文链接:zstar.blog.csdn.net/article/details/113449670
【版权声明】本文为华为云社区用户转载文章,如果您发现本社区中有涉嫌抄袭的内容,欢迎发送邮件进行举报,并提供相关证据,一经查实,本社区将立刻删除涉嫌侵权内容,举报邮箱:
cloudbbs@huaweicloud.com
- 点赞
- 收藏
- 关注作者
评论(0)