【机器学习】python实现ID3决策树
文章参考
- https://www.cnblogs.com/kanjian2016/p/7746005.html
- https://blog.csdn.net/asialee_bird/article/details/81118245
ID3决策树
1、测试数据集
| 天气 | 温度 | 湿度 | 风速 | 活动 |
|---|---|---|---|---|
| 晴 | 炎热 | 高 | 弱 | 取消 |
| 晴 | 炎热 | 高 | 强 | 取消 |
| 阴 | 炎热 | 高 | 弱 | 进行 |
| 雨 | 适中 | 高 | 弱 | 进行 |
| 雨 | 寒冷 | 正常 | 弱 | 进行 |
| 雨 | 寒冷 | 正常 | 强 | 取消 |
| 阴 | 寒冷 | 正常 | 强 | 进行 |
| 晴 | 适中 | 高 | 弱 | 取消 |
| 晴 | 寒冷 | 正常 | 弱 | 进行 |
| 雨 | 适中 | 正常 | 弱 | 进行 |
| 晴 | 适中 | 正常 | 强 | 进行 |
| 阴 | 适中 | 高 | 强 | 进行 |
| 阴 | 炎热 | 正常 | 弱 | 进行 |
| 雨 | 适中 | 高 | 强 | 取消 |
代码创建如下:
'''
创建测试数据集
'''
def createDataset():
dataSet = [['sunny', 'hot', 'high', 'weak', 'no'],
['sunny', 'hot', 'high', 'strong', 'no'],
['overcast', 'hot', 'high', 'weak', 'yes'],
['rain', 'mild', 'high', 'weak', 'yes'],
['rain', 'cool', 'normal', 'weak', 'yes'],
['rain', 'cool', 'normal', 'strong', 'no'],
['overcast', 'cool', 'normal', 'strong', 'yes'],
['sunny', 'mild', 'high', 'weak', 'no'],
['sunny', 'cool', 'normal', 'weak', 'yes'],
['rain', 'mild', 'normal', 'weak', 'yes'],
['sunny', 'mild', 'normal', 'strong', 'yes'],
['overcast', 'mild', 'high', 'strong', 'yes'],
['overcast', 'hot', 'normal', 'weak', 'yes'],
['rain', 'mild', 'high', 'strong', 'no']] # 数据集
labels = ['outlook', 'temperature', 'humidity', 'wind'] # 分类属性
return dataSet, labels
- 1
- 2
- 3
- 4
- 5
- 6
- 7
- 8
- 9
- 10
- 11
- 12
- 13
- 14
- 15
- 16
- 17
- 18
- 19
- 20
代码创建的表与上述表格一一对应!
2、信息熵
通常熵表示事物的混乱程度,熵越大表示混乱程度越大,越小表示混乱程度越小。
假定当前样本集合 𝐷 共包含 ℓ 类样本, 其中第 𝑘 类样本所占的比例为 𝑝𝑘 (𝑘 = 1, 2, · · · , ℓ), 则 𝐷 的信息熵定义为:

以活动是否进行为例,在活动这一栏属性中,活动的取值有两种:取消(5个)和进行(9个),则可以通过计算得到H(活动),即活动的信息熵:

代码运算如下:
'''
计算香农熵
'''
def shannonEnt(dataSet):
len_dataSet = len(dataSet) # 得到数据集的行数
labelCounts = {} # 创建一个字典,用于计算,每个属性值出现的次数
shannonEnt = 0.0 # 令香农熵初始值为0
for element in dataSet: # 对每一条数据进行逐条分析
currentLabel = element[-1] # 提取属性值信息
if currentLabel not in labelCounts.keys(): # 以属性名作为labelCounts这个字典的key
labelCounts[currentLabel] = 0 # 设定字典的初始value为0
labelCounts[currentLabel] += 1 # value值逐渐加一,达到统计标签出现次数的作用
for key in labelCounts: # 遍历字典的key
proportion = float(labelCounts[key])/len_dataSet
shannonEnt -= proportion*log(proportion, 2) # 根据公式得到香农熵
print('属性值出现的次数结果:{}'.format(labelCounts))
print('活动的信息熵为:{}'.format(shannonEnt))
return shannonEnt
- 1
- 2
- 3
- 4
- 5
- 6
- 7
- 8
- 9
- 10
- 11
- 12
- 13
- 14
- 15
- 16
- 17
- 18
- 19
- 20
- 21
- 22

3、信息增益
假定离散属性 𝑎 有 𝑚 个可能的取值 {𝑎1, 𝑎2, · · · , 𝑎𝑚}, 若使用 𝑎 来对 样本集 𝐷 进行划分, 则会产生 𝑚 个分支结点, 其中第 𝑖 个分支结点包含 了 𝐷 中所有在属性 𝑎 上取值为 𝑎𝑖 的样本, 记为 𝐷𝑖. 可根据公式计算 出 𝐷𝑖 的信息熵, 再考虑到不同的分支结点所包含的样本数不同, 给分支 结点赋予权重 |𝐷𝑖|/|𝐷|, 即样本数越多的分支结点的影响越大, 于是可计算出用属性 𝑎 对样本集 𝐷 进行划分所获得的“信息增益。

其实也就是信息熵减去条件熵。
以求天气属性的信息增益为例
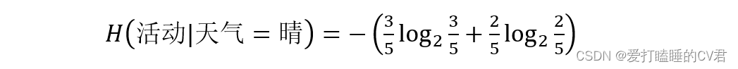
天气属性共有三种取值:晴(5个)、阴(4个)、雨(5个)
- 天气为晴时
活动的取值有两种:取消(3个)和进行(2个)
计算天气为晴时的条件熵:

- 天气为阴时
活动的取值有一种:进行(4个)
计算天气为阴时的条件熵:

- 天气为雨时
活动的取值有两种:取消(2个)和进行(3个)
计算天气为晴时的条件熵:

由此可以计算天气属性不同取值划分时的带权平均熵:

那么信息增益Gain(活动,天气)为:

同理,可以计算出Gain(活动,温度)、Gain(活动,湿度)、Gain(活动,风速),通过比较大小,得到最大信息增益,并选择最大信息增益对应的属性作为决策树的根节点。
代码计算如下:
'''
划分数据集,从而更方便地计算条件熵
dataSet:数据集
i:划分数据集的属性(如:天气)的索引(0)
value:需要返回的属性的值(如:晴天)
'''
def splitDataSet(dataSet, i, value):
splitDataSet = [] # 创建一个列表,用于存放 划分后的数据集
for example in dataSet: # 遍历给定的数据集
if example[i] == value:
splitExample = example[:i]
splitExample.extend(example[i+1:])
splitDataSet.append(splitExample) # 去掉i属性这一列,生成新的数据集,即划分的数据集
return splitDataSet # 得到划分的数据集
'''
计算信息增益,从而选取最优属性(标签)
'''
def chooseBestFeature(dataSet):
numFeature = len(dataSet[0]) - 1 # 求属性的个数
baseEntropy = shannonEnt(dataSet) # 测试数据集的香农熵,即信息熵
bestInfoGain = 0.0 # 创建初始的最大信息增益,用于得到最终的最大信息增益
bestFeature = -1 # 用于得到最大信息增益对应的属性 在数据集中的索引;其中-1,可以为任意数字(数字范围:小于0或大于等于numFeature)
for i in range(numFeature):
featList = [example[i] for example in dataSet] # 得到第i个属性,对应的全部属性值
featValue = set(featList) # 创建一个set集合(集合中的元素不可重复),更容易看出全部属性值
newEntropy = 0.0 # 创建初始条件熵,初始值为0
for value in featValue: # 对每一个属性值进行遍历
subDataSet = splitDataSet(dataSet, i, value) # 调用函数,进行数据集划分
proportion = float(len(subDataSet)/len(dataSet))
newEntropy += proportion*shannonEnt(subDataSet) # 通过公式计算条件熵
infoGain = baseEntropy - newEntropy # 通过公式计算信息增益
print('属性%s的信息增益为%.3f' % (labels[i], infoGain)) # 打印每个属性对应的信息增益
if infoGain > bestInfoGain: # 通过比较,选出最大的信息增益及其对应属性在数据集中的索引
bestInfoGain = infoGain
bestFeature = i
print('最大增益对应的属性为:%s' % labels[bestFeature])
return bestFeature
- 1
- 2
- 3
- 4
- 5
- 6
- 7
- 8
- 9
- 10
- 11
- 12
- 13
- 14
- 15
- 16
- 17
- 18
- 19
- 20
- 21
- 22
- 23
- 24
- 25
- 26
- 27
- 28
- 29
- 30
- 31
- 32
- 33
- 34
- 35
- 36
- 37
- 38
- 39
- 40
- 41
- 42
- 43
- 44
- 45
- 46
- 47

函数的图解

4、决策树的构建
ID3决策树算法:
- (1) 如果 𝐷 中所有实例属于同一类 𝐶𝑘, 则 𝑇 为单结点树, 并将类 𝐶𝑘 作为该结点的类标记, 返回 𝑇 .
- (2) 如果 𝐴 = ∅, 则 𝑇 为单结点树, 并将 𝐷 中类别数目最多的类 𝐶𝑘 作为该结点的类标记, 返回 𝑇 . 否则, 利用公式计算 𝐴 中每个属性对 𝐷 的信息增益, 选择信息增益最大的属性 𝐴𝑔.
- (3) 如果 𝐴𝑔 的信息增益小于阈值 𝜀, 则 𝑇 为单结点树, 并将 𝐷 中类别数目最多的类 𝐶𝑘 作为该结点的类标记, 返回 𝑇 . 否则, 对 𝐴𝑔 的每一种可 能值 𝑎𝑖, 依 𝐴𝑔 = 𝑎𝑖 将 𝐷 分割为若干非空子集 𝐷𝑖, 将 𝐷𝑖 中类别数目最多 的类作为标记, 构建子结点, 由结点及其子树构成树 𝑇 , 返回 𝑇 .
- 对第 𝑖 个子结点, 以 𝐷𝑖 为训练集, 以 𝐴∖{𝐴𝑔} 为属性集合, 递归调 用 (1)∼(3), 得到子树 𝑇𝑖, 返回 𝑇𝑖.
'''
统计classList中出现最多的类标签
'''
def maxLabel(classList):
classCount = {}
for vote in classList: # 统计classCount中元素出现的次数
if vote not in classCount.keys():
classCount[vote] = 0
classCount += 1
# 根据字典的值降序排序,得到的结果是一个列表,列表中的元素是元组
sortedClassCount = sorted(classCount.items(), key=operator.itemgetter(1), reverse=True)
return sortedClassCount[0][0] # 返回classCount中出现次数最多的元素
'''
构建决策树
'''
def creatTree(dataSet, labels, featLabels):
classList = [example[-1] for example in dataSet] # 获取分类标签(yes或no)
if classList.count(classList[0]) == len(classList): # 如果分类标签相同,则停止划分
return classList[0]
if len(dataSet[0]) == 1: # 如果遍历完所有的属性,则返回结果中出现次数最多的分类标签
return maxLabel(classList)
bestFeature = chooseBestFeature(dataSet) # 得到最大信息增益对应的属性在数据集中的索引
bestFeatureLabel = labels[bestFeature] # 得到最大信息增益对应的属性(如:天气)
featLabels.append(bestFeatureLabel)
myTree = {bestFeatureLabel: {}} # 根据最大信息增益的标签生成树
del(labels[bestFeature]) # 删除已经使用的属性
featureList = [example[bestFeature] for example in dataSet] # 得到数据集中最优属性的属性值(如:晴天,下雨)
featureValue = set(featureList) # 创建集合,去除重复的属性值
for value in featureValue:
subLabels = labels[:] # 新的属性标签集合(与labels相比,去掉了已经使用的属性标签)
# 递归调用creatTree,从而创建决策树
myTree[bestFeatureLabel][value] = creatTree(splitDataSet(dataSet, bestFeature, value), subLabels, featLabels)
# print(featLabels)
return myTree
- 1
- 2
- 3
- 4
- 5
- 6
- 7
- 8
- 9
- 10
- 11
- 12
- 13
- 14
- 15
- 16
- 17
- 18
- 19
- 20
- 21
- 22
- 23
- 24
- 25
- 26
- 27
- 28
- 29
- 30
- 31
- 32
- 33
- 34
- 35
- 36
- 37

5、使用决策树进行决策
'''
使用决策树进行分类
'''
def classify(myTree, featLabels, testData):
# global classLabel
firstStr = next(iter(myTree)) # 得到决策树根节点
# print(firstStr)
secondDict = myTree[firstStr] # 下一个字典
# print(secondDict)
featIndex = featLabels.index(firstStr) # 得到根节点属性在测试数据集中对应的索引
# print(featIndex)
for key in secondDict.keys():
if testData[featIndex] == key:
if type(secondDict[key]).__name__ == 'dict': # type().__name__的作用是,判断数据类型
classLabel = classify(secondDict[key], featLabels, testData)
else:
classLabel = secondDict[key]
return classLabel
- 1
- 2
- 3
- 4
- 5
- 6
- 7
- 8
- 9
- 10
- 11
- 12
- 13
- 14
- 15
- 16
- 17
- 18

6、决策树源码
# -*- coding: UTF-8 -*-
"""
# @Time: 2022/6/18 16:19
# @Author: 爱打瞌睡的CV君
# @CSDN: https://blog.csdn.net/qq_44921056
"""
from math import log
import operator
'''
创建测试数据集
'''
def createDataset():
dataSet = [['sunny', 'hot', 'high', 'weak', 'no'],
['sunny', 'hot', 'high', 'strong', 'no'],
['overcast', 'hot', 'high', 'weak', 'yes'],
['rain', 'mild', 'high', 'weak', 'yes'],
['rain', 'cool', 'normal', 'weak', 'yes'],
['rain', 'cool', 'normal', 'strong', 'no'],
['overcast', 'cool', 'normal', 'strong', 'yes'],
['sunny', 'mild', 'high', 'weak', 'no'],
['sunny', 'cool', 'normal', 'weak', 'yes'],
['rain', 'mild', 'normal', 'weak', 'yes'],
['sunny', 'mild', 'normal', 'strong', 'yes'],
['overcast', 'mild', 'high', 'strong', 'yes'],
['overcast', 'hot', 'normal', 'weak', 'yes'],
['rain', 'mild', 'high', 'strong', 'no']] # 数据集
labels = ['outlook', 'temperature', 'humidity', 'wind'] # 分类属性
return dataSet, labels
'''
计算香农熵
'''
def shannonEnt(dataSet):
len_dataSet = len(dataSet) # 得到数据集的行数
labelCounts = {} # 创建一个字典,用于计算,每个属性值出现的次数
shannonEnt = 0.0 # 令香农熵初始值为0
for element in dataSet: # 对每一条数据进行逐条分析
currentLabel = element[-1] # 提取属性值信息
if currentLabel not in labelCounts.keys(): # 以属性名作为labelCounts这个字典的key
labelCounts[currentLabel] = 0 # 设定字典的初始value为0
labelCounts[currentLabel] += 1 # value值逐渐加一,达到统计标签出现次数的作用
for key in labelCounts: # 遍历字典的key
proportion = float(labelCounts[key])/len_dataSet
shannonEnt -= proportion*log(proportion, 2) # 根据公式得到香农熵
# print('属性值出现的次数结果:{}'.format(labelCounts))
# print('活动的信息熵为:{}'.format(shannonEnt))
return shannonEnt
'''
划分数据集,从而更方便地计算条件熵
dataSet:数据集
i:划分数据集的属性(如:天气)的索引(0)
value:需要返回的属性的值(如:晴天)
'''
def splitDataSet(dataSet, i, value):
splitDataSet = [] # 创建一个列表,用于存放 划分后的数据集
for example in dataSet: # 遍历给定的数据集
if example[i] == value:
splitExample = example[:i]
splitExample.extend(example[i+1:])
splitDataSet.append(splitExample) # 去掉i属性这一列,生成新的数据集,即划分的数据集
return splitDataSet # 得到划分的数据集
'''
计算信息增益,从而选取最优属性(标签)
'''
def chooseBestFeature(dataSet):
numFeature = len(dataSet[0]) - 1 # 求属性的个数
baseEntropy = shannonEnt(dataSet) # 测试数据集的香农熵,即信息熵
bestInfoGain = 0.0 # 创建初始的最大信息增益,用于得到最终的最大信息增益
bestFeature = -1 # 用于得到最大信息增益对应的属性 在数据集中的索引;其中-1,可以为任意数字(数字范围:小于0或大于等于numFeature)
for i in range(numFeature):
featList = [example[i] for example in dataSet] # 得到第i个属性,对应的全部属性值
featValue = set(featList) # 创建一个set集合(集合中的元素不可重复),更容易看出全部属性值
newEntropy = 0.0 # 创建初始条件熵,初始值为0
for value in featValue: # 对每一个属性值进行遍历
subDataSet = splitDataSet(dataSet, i, value) # 调用函数,进行数据集划分
proportion = float(len(subDataSet)/len(dataSet))
newEntropy += proportion*shannonEnt(subDataSet) # 通过公式计算条件熵
infoGain = baseEntropy - newEntropy # 通过公式计算信息增益
# print('属性%s的信息增益为%.3f' % (labels[i], infoGain)) # 打印每个属性对应的信息增益
if infoGain > bestInfoGain: # 通过比较,选出最大的信息增益及其对应属性在数据集中的索引
bestInfoGain = infoGain
bestFeature = i
# print('最大增益对应的属性为:%s' % labels[bestFeature])
return bestFeature
'''
统计classList中出现最多的类标签
'''
def maxLabel(classList):
classCount = {}
for vote in classList: # 统计classCount中元素出现的次数
if vote not in classCount.keys():
classCount[vote] = 0
classCount += 1
# 根据字典的值降序排序,得到的结果是一个列表,列表中的元素是元组
sortedClassCount = sorted(classCount.items(), key=operator.itemgetter(1), reverse=True)
return sortedClassCount[0][0] # 返回classCount中出现次数最多的元素
'''
构建决策树
'''
def creatTree(dataSet, labels, featLabels):
classList = [example[-1] for example in dataSet] # 获取分类标签(yes或no)
if classList.count(classList[0]) == len(classList): # 如果分类标签相同,则停止划分
return classList[0]
if len(dataSet[0]) == 1: # 如果遍历完所有的属性,则返回结果中出现次数最多的分类标签
return maxLabel(classList)
bestFeature = chooseBestFeature(dataSet) # 得到最大信息增益对应的属性在数据集中的索引
bestFeatureLabel = labels[bestFeature] # 得到最大信息增益对应的属性(如:天气)
featLabels.append(bestFeatureLabel)
myTree = {bestFeatureLabel: {}} # 根据最大信息增益的标签生成树
del(labels[bestFeature]) # 删除已经使用的属性
featureList = [example[bestFeature] for example in dataSet] # 得到数据集中最优属性的属性值(如:晴天,下雨)
featureValue = set(featureList) # 创建集合,去除重复的属性值
for value in featureValue:
subLabels = labels[:] # 新的属性标签集合(与labels相比,去掉了已经使用的属性标签)
# 递归调用creatTree,从而创建决策树
myTree[bestFeatureLabel][value] = creatTree(splitDataSet(dataSet, bestFeature, value), subLabels, featLabels)
# print(featLabels)
return myTree
'''
使用决策树进行分类
'''
def classify(myTree, featLabels, testData):
firstStr = next(iter(myTree)) # 得到决策树根节点
# print(firstStr)
secondDict = myTree[firstStr] # 下一个字典
# print(secondDict)
featIndex = featLabels.index(firstStr) # 得到根节点属性在测试数据集中对应的索引
# print(featIndex)
for key in secondDict.keys():
if testData[featIndex] == key:
if type(secondDict[key]).__name__ == 'dict': # type().__name__的作用是,判断数据类型
classLabel = classify(secondDict[key], featLabels, testData)
else:
classLabel = secondDict[key]
return classLabel
if __name__ == '__main__':
dataSet, labels = createDataset() # 创建测试数据集及其标签
featLabels = [] # 用于存放最佳属性值
myTree = creatTree(dataSet, labels, featLabels) # 生成决策树
# print('决策树为:{}'.format(myTree))
testData = ['sunny', 'hot', 'high', 'weak'] # 测试数据
result = classify(myTree, featLabels, testData) # 进行测试
print('决策结果:{}'.format(result))
- 1
- 2
- 3
- 4
- 5
- 6
- 7
- 8
- 9
- 10
- 11
- 12
- 13
- 14
- 15
- 16
- 17
- 18
- 19
- 20
- 21
- 22
- 23
- 24
- 25
- 26
- 27
- 28
- 29
- 30
- 31
- 32
- 33
- 34
- 35
- 36
- 37
- 38
- 39
- 40
- 41
- 42
- 43
- 44
- 45
- 46
- 47
- 48
- 49
- 50
- 51
- 52
- 53
- 54
- 55
- 56
- 57
- 58
- 59
- 60
- 61
- 62
- 63
- 64
- 65
- 66
- 67
- 68
- 69
- 70
- 71
- 72
- 73
- 74
- 75
- 76
- 77
- 78
- 79
- 80
- 81
- 82
- 83
- 84
- 85
- 86
- 87
- 88
- 89
- 90
- 91
- 92
- 93
- 94
- 95
- 96
- 97
- 98
- 99
- 100
- 101
- 102
- 103
- 104
- 105
- 106
- 107
- 108
- 109
- 110
- 111
- 112
- 113
- 114
- 115
- 116
- 117
- 118
- 119
- 120
- 121
- 122
- 123
- 124
- 125
- 126
- 127
- 128
- 129
- 130
- 131
- 132
- 133
- 134
- 135
- 136
- 137
- 138
- 139
- 140
- 141
- 142
- 143
- 144
- 145
- 146
- 147
- 148
- 149
- 150
- 151
- 152
- 153
- 154
- 155
- 156
- 157
- 158
- 159
- 160
- 161
- 162
- 163
- 164
- 165
7、决策树可视化
其中demo是上部分编写决策树源码的文件名
绘图所用函数可参考:https://matplotlib.org/stable/tutorials/text/annotations.html#sphx-glr-tutorials-text-annotations-py
# -*- coding: UTF-8 -*-
"""
# @Time: 2022/6/19 16:44
# @Author: 爱打瞌睡的CV君
# @CSDN: https://blog.csdn.net/qq_44921056
"""
from matplotlib.font_manager import FontProperties
import matplotlib.pyplot as plt
import demo
# 定义文本框和箭头格式
decisionNode = dict(boxstyle='round4', fc='0.8')
leafNode = dict(boxstyle='circle', fc='0.8')
arrow_args = dict(arrowstyle='<-')
# 设置中文字体
font = FontProperties(fname=r"C:\Windows\Fonts\simsun.ttc", size=14)
"""
函数说明:获取决策树叶子结点的数目
Parameters:
myTree - 决策树
Returns:
numLeafs - 决策树的叶子结点的数目
"""
def getNumLeafs(myTree):
numLeafs = 0 # 初始化叶子
# python3中myTree.keys()返回的是dict_keys,不在是list,所以不能使用myTree.keys()[0]的方法获取结点属性,
# 可以使用list(myTree.keys())[0]
firstStr = next(iter(myTree))
secondDict = myTree[firstStr] # 获取下一组字典
for key in secondDict.keys():
if type(secondDict[key]).__name__ == 'dict': # 测试该结点是否为字典,如果不是字典,代表此结点为叶子结点
numLeafs += getNumLeafs(secondDict[key])
else:
numLeafs += 1
return numLeafs
"""
函数说明:获取决策树的层数
Parameters:
myTree - 决策树
Returns:
maxDepth - 决策树的层数
"""
def getTreeDepth(myTree):
maxDepth = 0 # 初始化决策树深度
# python3中myTree.keys()返回的是dict_keys,不在是list,所以不能使用myTree.keys()[0]的方法获取结点属性,
# 可以使用list(myTree.keys())[0]
firstStr = next(iter(myTree))
secondDict = myTree[firstStr] # 获取下一个字典
for key in secondDict.keys():
if type(secondDict[key]).__name__ == 'dict': # 测试该结点是否为字典,如果不是字典,代表此结点为叶子结点
thisDepth = 1 + getTreeDepth(secondDict[key])
else:
thisDepth = 1
if thisDepth > maxDepth:
maxDepth = thisDepth # 更新层数
# print(maxDepth)
return maxDepth
"""
函数说明:绘制结点
Parameters:
nodeTxt - 结点名
centerPt - 文本位置
parentPt - 标注的箭头位置
nodeType - 结点格式
"""
def plotNode(nodeTxt, centerPt, parentPt, nodeType):
arrow_args = dict(arrowstyle="<-") # 定义箭头格式
font = FontProperties(fname=r"C:\Windows\Fonts\simsun.ttc", size=14) # 设置中文字体
createPlot.ax1.annotate(nodeTxt, xy=parentPt, xycoords='axes fraction', # 绘制结点
xytext=centerPt, textcoords='axes fraction',
va="center", ha="center", bbox=nodeType, arrowprops=arrow_args, fontproperties=font)
"""
函数说明:标注有向边属性值
Parameters:
cntrPt、parentPt - 用于计算标注位置
txtString - 标注的内容
"""
def plotMidText(cntrPt, parentPt, txtString):
xMid = (parentPt[0] - cntrPt[0]) / 2.0 + cntrPt[0] # 计算标注位置
yMid = (parentPt[1] - cntrPt[1]) / 2.0 + cntrPt[1]
createPlot.ax1.text(xMid, yMid, txtString, va="center", ha="center", rotation=30)
"""
函数说明:绘制决策树
Parameters:
myTree - 决策树(字典)
parentPt - 标注的内容
nodeTxt - 结点名
"""
def plotTree(myTree, parentPt, nodeTxt):
decisionNode = dict(boxstyle="round4", fc="0.8") # 设置结点格式
leafNode = dict(boxstyle="circle", fc="0.8") # 设置叶结点格式
numLeafs = getNumLeafs(myTree) # 获取决策树叶结点数目,决定了树的宽度
depth = getTreeDepth(myTree) # 获取决策树层数
firstStr = next(iter(myTree)) # 下个字典
cntrPt = (plotTree.xOff + (1.0 + float(numLeafs)) / 2.0 / plotTree.totalW, plotTree.yOff) # 中心位置
plotMidText(cntrPt, parentPt, nodeTxt) # 标注有向边属性值
plotNode(firstStr, cntrPt, parentPt, decisionNode) # 绘制结点
secondDict = myTree[firstStr] # 下一个字典,也就是继续绘制子结点
plotTree.yOff = plotTree.yOff - 1.0 / plotTree.totalD # y偏移
for key in secondDict.keys():
if type(secondDict[key]).__name__ == 'dict': # 测试该结点是否为字典,如果不是字典,代表此结点为叶子结点
plotTree(secondDict[key], cntrPt, str(key)) # 不是叶结点,递归调用继续绘制
else: # 如果是叶结点,绘制叶结点,并标注有向边属性值
plotTree.xOff = plotTree.xOff + 1.0 / plotTree.totalW
plotNode(secondDict[key], (plotTree.xOff, plotTree.yOff), cntrPt, leafNode)
plotMidText((plotTree.xOff, plotTree.yOff), cntrPt, str(key))
plotTree.yOff = plotTree.yOff + 1.0 / plotTree.totalD
"""
函数说明:创建绘制面板
Parameters:
inTree - 决策树(字典)
"""
def createPlot(inTree):
fig = plt.figure(1, facecolor='white') # 创建fig
fig.clf() # 清空fig
axprops = dict(xticks=[], yticks=[])
createPlot.ax1 = plt.subplot(111, frameon=False, **axprops) # 去掉x、y轴
plotTree.totalW = float(getNumLeafs(inTree)) # 获取决策树叶结点数目
plotTree.totalD = float(getTreeDepth(inTree)) # 获取决策树层数
plotTree.xOff = -0.5 / plotTree.totalW
plotTree.yOff = 1.0 # x偏移
plotTree(inTree, (0.5, 1.0), '') # 绘制决策树
plt.show()
if __name__ == '__main__':
dataSet, labels = demo.createDataset()
featLabels = []
myTree = demo.creatTree(dataSet, labels, featLabels)
createPlot(myTree)
- 1
- 2
- 3
- 4
- 5
- 6
- 7
- 8
- 9
- 10
- 11
- 12
- 13
- 14
- 15
- 16
- 17
- 18
- 19
- 20
- 21
- 22
- 23
- 24
- 25
- 26
- 27
- 28
- 29
- 30
- 31
- 32
- 33
- 34
- 35
- 36
- 37
- 38
- 39
- 40
- 41
- 42
- 43
- 44
- 45
- 46
- 47
- 48
- 49
- 50
- 51
- 52
- 53
- 54
- 55
- 56
- 57
- 58
- 59
- 60
- 61
- 62
- 63
- 64
- 65
- 66
- 67
- 68
- 69
- 70
- 71
- 72
- 73
- 74
- 75
- 76
- 77
- 78
- 79
- 80
- 81
- 82
- 83
- 84
- 85
- 86
- 87
- 88
- 89
- 90
- 91
- 92
- 93
- 94
- 95
- 96
- 97
- 98
- 99
- 100
- 101
- 102
- 103
- 104
- 105
- 106
- 107
- 108
- 109
- 110
- 111
- 112
- 113
- 114
- 115
- 116
- 117
- 118
- 119
- 120
- 121
- 122
- 123
- 124
- 125
- 126
- 127
- 128
- 129
- 130
- 131
- 132
- 133
- 134
- 135
- 136
- 137
- 138
- 139
- 140
- 141
- 142
- 143
- 144
- 145
- 146
- 147
- 148
- 149
- 150
- 151
- 152
- 153
- 154

未来可期
文章到这里就要结束了,但故事还没有结局
如果本文对你有帮助,记得点个赞👍哟,也是对作者最大的鼓励🙇♂️。
如有不足之处可以在评论区👇多多指正,我会在看到的第一时间进行修正
作者:爱打瞌睡的CV君
CSDN:https://blog.csdn.net/qq_44921056
本文仅用于交流学习,未经作者允许,禁止转载,更勿做其他用途,违者必究。
文章来源: luckystar.blog.csdn.net,作者:爱打瞌睡的CV君,版权归原作者所有,如需转载,请联系作者。
原文链接:luckystar.blog.csdn.net/article/details/125369248
- 点赞
- 收藏
- 关注作者




评论(0)