一个简单的代数问题的求解

一个代数方程求解过程
§01 代数求解
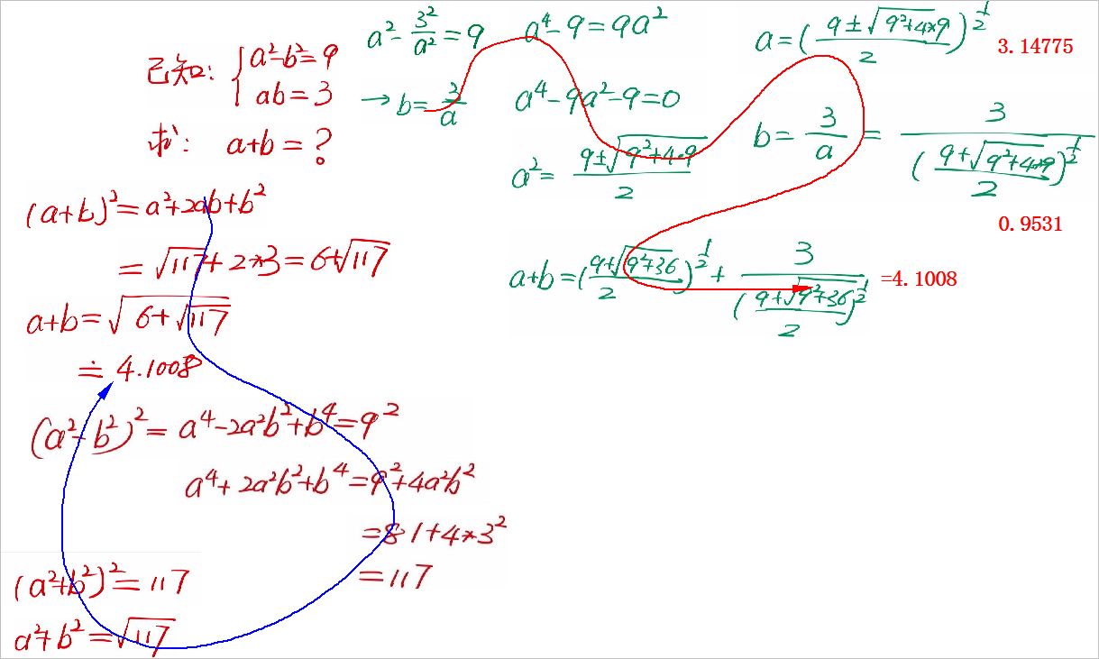
有一道有趣的题目,展示了技巧计算与数值计算之间的差异。
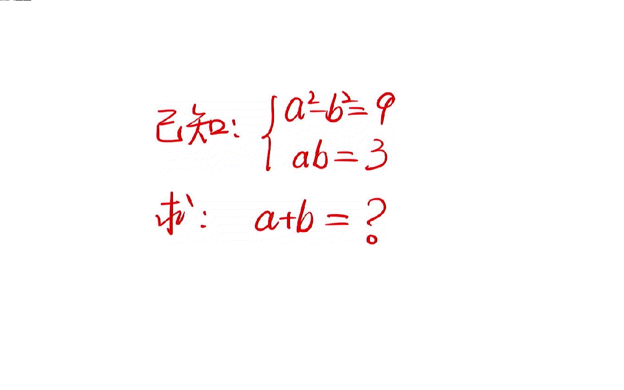
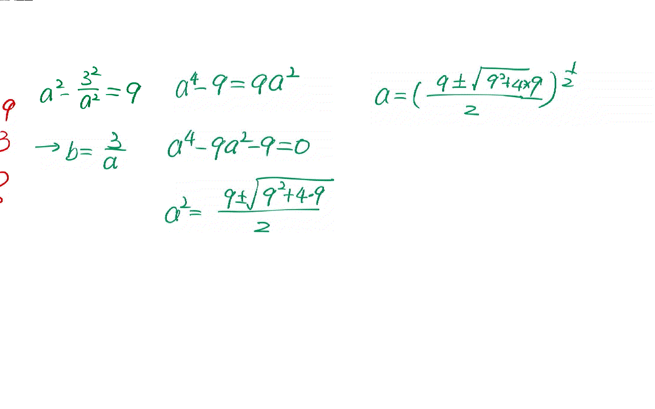
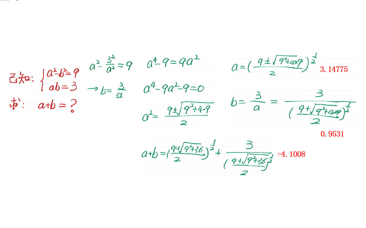
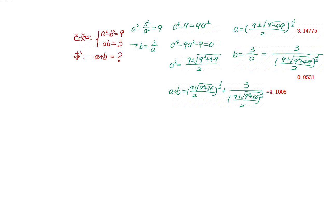
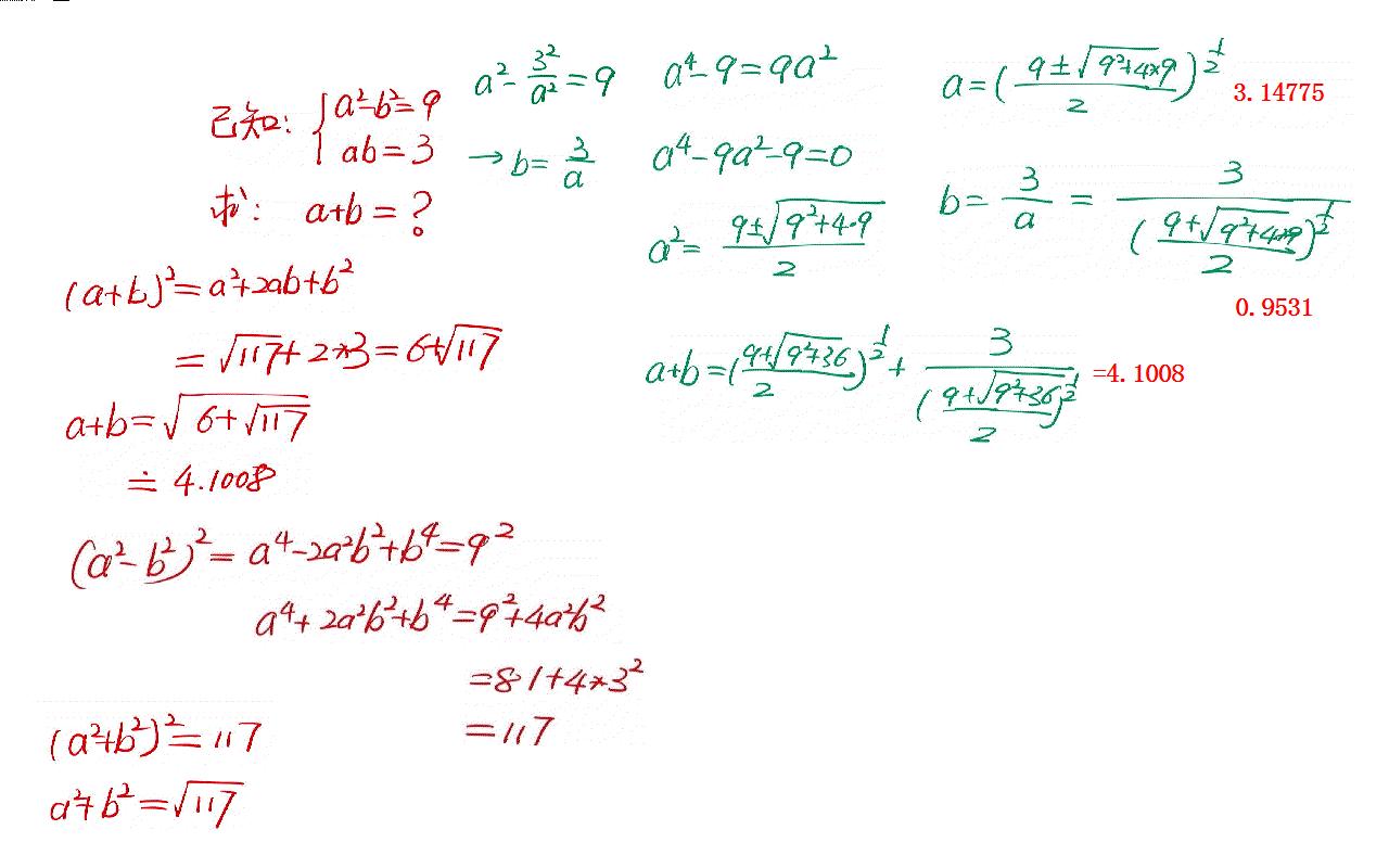
已知变量a,b平方的差与a,b的乘积, 求a+b的值。学过数学的人的直接冲动,就是根据ab=3, 得到b=3/a。带到第一个表达式 可以列出关于a的方程。 求解这个方程。 便可以得到a平方的取值 根据a平方大于0, 便可以得到a的唯一取值, 这个取值看弃疗比较复杂。 不过这是求出的a的取值。

下面再根据b=3/a, 可以知道b的取值, 最终获得a+b的取值。 化简这个表达式简直就是一个噩梦。 这里给出了a,b,a+b的数值求解。

这个求解过程是标准的代数求解方法, 只是最后的结果化简不是很友好。 除了直接求解还有别的好办法吗?

下面就是另外一种求解方法。 为了求a+b的值, 先看看是否可以求得(a+b)的平方取值? 展开a+b的平方,可以看到其中包含三项, 中间的ab乘积是已知的, 但a平方+b平方需要求的。

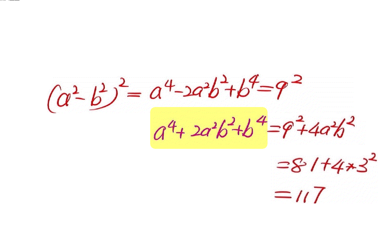
为了求 a的平方+b的平方, 将已知的 (a平方减b平方)进行平方, 可以获得a的四次方,减去2倍的a方b方,加上b的四次方。 根据已知条件,它等于9的平方。 将方程左右同时加上4bz的a方b方, 左边得到了a方加b方的平方项。 右边可以计算出等于117。

由此可以得到 a方加b方的取值, 经过两边同时开方, 便可以得到a方加b方的取值。 将求得的a方加b方代入最初表达式, 可以得到 a加b平方的取值。 两边进行开方, 便可以得到a+b的取值了。

对比前后两种方法求解, 可以看到它们结果是相同的。 第一种方法,开始简单,后面化简复杂。 第二种方法,需要用到数学小技巧, 但结果化简比较容易。 你认为内种方法更好呢?

※ 总 结 ※
本文测试了利用PAD完成代数方程求解的过程。
文章来源: zhuoqing.blog.csdn.net,作者:卓晴,版权归原作者所有,如需转载,请联系作者。
原文链接:zhuoqing.blog.csdn.net/article/details/125649952
- 点赞
- 收藏
- 关注作者
评论(0)